Книга Формула призвания. Семь правил выбора вуза, страница 9 – Нелли Литвак

Авторы: А Б В Г Д Е Ж З И Й К Л М Н О П Р С Т У Ф Х Ч Ш Ы Э Ю Я
Книги: А Б В Г Д Е Ж З И Й К Л М Н О П Р С Т У Ф Х Ц Ч Ш Щ Ы Э Ю Я
Бесплатная онлайн библиотека LoveRead.in

Онлайн книга «Формула призвания. Семь правил выбора вуза»

📃 Cтраница 9

С бизнес-идеями — то же самое. Никто не будет с вами даже разговаривать, пока ваша идея не начнет приносить реальные деньги. Значит, надо открывать собственную фирму, все делать самому и с нуля. А продать идею можно только тогда, когда она превратится в реальную успешную компанию с быстро растущими доходами.

Можно вспомнить случаи, когда молодые люди разбогатели, сделав веб-сайт и потом продав его большой компании. Один из примеров — YouTube, есть и многие другие. Только никто не купит у вас веб-сайт просто потому, что он прикольный и красивый (а красивый и прикольный еще надо сделать!). Купят тот веб-сайт, на который заходит много посетителей. Значит, их надо привлечь, опять же, сделать идею реальностью!

Нельзя прославиться, намурлыкав себе под нос новый хит, — нужно хотя бы написать ноты для певицы и ансамбля. Нельзя разбогатеть, придумав сюжет бестселлера, — его надо написать и всучить издателям. Нельзя придумать легкий способ заработать деньги и продать эту идею кому-то — нужно эти деньги заработать. Нельзя просто придумать новую телепрограмму или сериал — необходимо, чтобы их показали по телевизору.

Сама по себе идея ничего не стоит. Ее автор никогда не сможет на равных разделить успех с теми, кто воплотил его замысел в жизнь.

Сочетание учебы и работы

Не секрет, что многие студенты работают. Причины для этого самые разные. Кто-то по-настоящему нуждается в деньгах, должен обеспечивать себя и помогать семье. Кто-то пытается набраться опыта, который так ценят работодатели. А кто-то искренне считает, что работа и есть самое главное, в то время как учеба нужна только для того, чтобы получить диплом.

Сочетать учебу и работу можно и часто даже нужно и полезно. Но я могу совершенно четко сказать, к чему стремиться точно не надо, — к быстрому карьерному успеху и немедленным высоким доходам. Тем более за счет будущего успеха и будущих доходов.

Моя знакомая рассказывала мне про своего однокурсника (назовем его Димой), который уже на втором курсе получил отличную работу. Конечно, учился он кое-как, зато у него было много денег, хорошие одежки, машина, солидная должность. Все восхищались его работой и его успехами и даже завидовали. Но вот прошло пять-шесть лет после университета, и что же? Все нашли работу, у всех стали расти должности и зарплаты, а у Димы — все то же самое. И вдруг оказалось, что Димин успех вовсе не такой блестящий, как казалось когда-то.

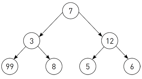
В математике есть такое понятие — «жадный алгоритм». Он выбирает самое выгодное решение на каждом шаге. Но в результате общий выигрыш далеко не всегда получается максимальным. Чтобы было понятно, привожу картинку из Википедии.

Иллюстрация к книге — Формула призвания. Семь правил выбора вуза [i_003.jpg]

Допустим, нам нужно сделать три шага, сверху вниз, по стрелочкам. В кружочках написано, какой выигрыш мы получаем на каждом шаге, и наша задача — получить максимальный общий выигрыш. На первом шаге мы в любом случае получаем 7. На втором шаге жадный алгоритм из 3 и 12 выберет 12, и тогда на третьем шаге выбор будет между 5 и 6. В результате общий выигрыш 7+12+6=25, хотя, выбрав на втором шаге 3, можно было выиграть 7+3+99=109. Я абсолютно убеждена, что в ранней молодости, когда вся жизнь впереди, нельзя позволять себе жить по жадному алгоритму. Если беззаботная молодость и должна о чем-то заботиться — так это о собственном будущем! Поэтому нельзя пускать на самотек учебу ради дела, которое удовлетворяет всего лишь вашим сегодняшним нуждам.

Я очень уважаю работающих студентов, но не за их должности и зарплаты. Я считаю, что работа во время учебы имеет другие цели. Абсолютно нормально поставить перед собой задачу немного подработать, это вполне сочетается с учебой. И действительно, очень важно и полезно набраться опыта, научиться чему-то ценному. Это «ценное» может быть самым разным — от профессиональных навыков до элементарного общения с сотрудниками разных возрастов, имеющими собственные взгляды на вещи.

Есть такое понятие — кривая обучения. Она поднимается вверх со скоростью, с которой вы усваиваете новые знания и навыки. Когда вы учитесь в университете, то эта кривая стабильно поднимается вверх. А вот с работой все не так просто. Когда вы начинаете новое дело, то кривая взмывает, и любая учеба начинает казаться просто детским лепетом по сравнению с новым опытом. Но вас нанимают на работу, чтобы работать, а не чтобы учиться. Через какое-то время вы научаетесь более-менее всему, и остается просто за деньги делать свое дело. Во взрослой жизни вас это может вполне устраивать. На свете много абсолютно некарьерных людей, которые, кстати, часто бывают настоящими профессионалами и ценными работниками. Но пока вы молоды, пока вы учитесь, вы не должны позволять кривой застревать на месте. Поэтому работу, где вы уже всему научились, хорошо бы сменить и уйти — пусть даже на меньшие деньги — в поисках новых ценных знаний и навыков. И ни в коем случае нельзя забрасывать учебу. В общей сложности ни на какой работе вы не получите столько новых знаний, сколько даст вам университет. Кривая обучения — это ваше будущее, ваша главная забота.

Не стремитесь к ранней карьере. Вряд ли эта должность и эта зарплата устроят вас через 20 лет. Не соблазняйтесь на быстрые деньги. Студенты во всем мире — народ бедный, и это не случайно. Потому что в студенческие годы деньги — не главное. Деньги придут потом, если сейчас вложить силы и время в собственный рост.

Non scholae, sed vitae discimus

«Мы учимся не для школы, а для жизни». Это выражение по-латыни (перефразированный Сенека) выбрали своим девизом многие школы и университеты, в том числе российские вузы: Национальный исследовательский университет «Высшая школа экономики» и Московская юридическая академия. Эта фраза означает, что цель вашей учебы вовсе не в том, чтобы удовлетворить требованиям вуза и получить диплом, а в том, чтобы приобрести профессиональные знания и навыки на всю оставшуюся жизнь.

Не удивляйтесь, если университетские профессора гораздо меньше беспокоятся о вашей успеваемости, чем школьные учителя. Вы обязаны окончить школу, и учителя разделяют с вами эту ответственность. Университет вы оканчивать не обязаны. Профессора предоставляют студентам возможность получить знания. Но только от вас зависит, воспользуетесь ли вы этой уникальной возможностью научиться чему-то интересному и сложному, что не умеют другие.

Недавно, читая лекцию, я не уложилась в отведенное на нее время. Я произнесла «А теперь.» — и пока переводила дыхание, студент-первокурсник на первой парте громко сказал: «А теперь — перемена!» Я очень хорошо отношусь к студентам, и, честно, очень люблю читать лекции. Но как бы я это ни любила, я все время, каждую минуту понимаю, что нужны эти лекции не мне, а аудитории! Я повернулась к молодому человеку и сказала: «Ваше основное право — это не право на перемену, а право на лекцию». Лекция — не спектакль одного актера и не наказание, которое нужно отбыть. Студенты учатся не для преподавателей, а для себя и только для себя, для своего собственного развития, для своего собственного будущего.

Вход
Поиск по сайту
Ищем:
Календарь