Онлайн книга «Успешный менеджер. Кейс-стади по принятию решений. Учебно-методическое пособие»
|
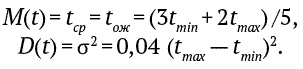
Дерево представляет собой связный граф без циклов, имеющий исходную вершину (корень) и крайние вершины; пути от исходной вершины к крайним вершинам называются ветвями. Сеть – это ориентированный конечный связный граф, имеющий начальную вершину (источник) и конечную вершину (сток). Таким образом, сетевая модель представляет собой граф вида «сеть». ![]() Рис. 2. Сетевая модель, состоящая из 11 событий и 16 работ, продолжительность выполнения которых указана над работами [27]. Объектом управления в системах сетевого планирования и управления являются коллективы исполнителей, располагающих определенными ресурсами и выполняющих определенный комплекс операций, который призван обеспечить достижение намеченной цели – реализации иерархического решения (целевой программы). Сетевая модель включает сетевой график и характеристики. Сетевой график – это частный случай ориентированного графа. Если вершинами графа являются события, а связи между ними (ребра графа) – работы, то это американская схема представления сетевого графика. Если наоборот, то это французская схема. Ниже будет рассматриваться первая схема (см. рис. 2). При графическом представлении работа изображается стрелкой, которая соединяет два события. Она обозначается парой заключенных в скобки чисел (i, j), где i – номер события, из которого работа выходит, а j – номер события, в которое она входит. Работа не может начаться раньше, чем свершится событие, из которого она выходит. Каждая работа имеет определенную продолжительность t (i, j). К работам относятся также такие процессы, которые не требуют ни ресурсов, ни времени выполнения. Они заключаются в установлении логической взаимосвязи работ и показывают, что одна из них непосредственно зависит от другой; такие работы называются фиктивными и на графике изображаются пунктирными стрелками. Событиями называются результаты выполнения одной или нескольких работ. Они не имеют протяженности во времени. Событие свершается в тот момент, когда оканчивается последняя из работ, входящая в него. К работам сетевого графика относятся: ● трудовые процессы, требующие затрат времени и ресурсов; ● ожидание, не требующее ресурсов; ● логические связи, не требующие ни затрат времени, ни ресурсов. Построение сетевого графика требует детализации мероприятий на работы и упорядочения работ во времени и между собой. Для этого вводится отношение предшествования на парах работ и строится матрица смежности (матрица парных сравнения всех работ между собой). По этой матрице компьютер, используя соответствующий софт, выдает структуру сетевого графика. ИНТЕРЕСНО На предприятии ОПК, где культура сетевого планирования и управления очень высока, сетевой график включает примерно 60 тыс. работ Входными данными сетевой модели являются: взаимосвязь работ (структура сети); временные оценки работ; ресурсные оценки работ. Время выполнения работ определяется по нормативам, статистическим данным или экспертно. В общем случае время выполнения каждой работы рассматривается как случайная величина. Экспериментальными и теоретическими исследованиями показано, что случайное время выполнения работ хорошо апроксимируется законом распределения вероятностей типа β-распределения. Его плотность является непрерывной унимодальной функцией с формой графика (рис. 3), задаваемого двумя параметрами: α и β. ![]() Рис. 3. График плотности бета-распределения при α = 5 и β = 2 Математическое ожидание (среднее) времени выполнения работ и дисперсия вычисляются при β-распределении по формулам: ![]() Для проведения расчетов исходной информацией являются оценки tmax и tmin, определяемые по статистическим данным или экспертным путем. Если имеется нормативное время выполнения работы tN, то tN = tmin = tmax = tож = tср; D = 0. Ресурсы на выполнение работ определяются либо по нормативам, либо экспертно. Нужно иметь зависимость tср = tож = φ(R), где R – ресурс. Эти графики нужны в целях корректировки сетевой модели для выполнения программы в директивный срок с заданной вероятностью. Введение вероятностной модели (учет рисков) повышает точность оценок. 3.2.2.2. Расчет вероятности выполнения программы в директивный срок
Задано директивное время выполнения целевой программы Тд. Нужно подсчитать вероятность того, что Ткр как случайная величина будет меньше Тд, т. е. Р(Ткр≤Тд), где Ткр≤Тд – случайное событие. Критическое время выполнения программы: ![]() где ti – время выполнения работы, лежащей на критическом пути (). Время выполнения i-й работы ti – случайная величина, распределенная по β-закону и характеризуемая M(t) и D(t). Следовательно, Тк как сумма случайных величин тоже является случайной величиной. КЛЮЧЕВОЙ МОМЕНТ Известно, что сумма большого числа (уже больше 10–15) примерно одинаковых по значению случайных величин, каждая из которых имеет распределение вероятностей, подчинена нормальному закону. Это следует из центральной предельной теоремы – одного из фундаментальных результатов теории вероятностей Поэтому закон распределения вероятностей случайной величины Ткр – нормальный и визуально представляется, например, так (см. рис. 4): |
![Иллюстрация к книге — Успешный менеджер. Кейс-стади по принятию решений. Учебно-методическое пособие [_100.jpg] Иллюстрация к книге — Успешный менеджер. Кейс-стади по принятию решений. Учебно-методическое пособие [_100.jpg]](img/book_covers/066/66942/_100.jpg)
![Иллюстрация к книге — Успешный менеджер. Кейс-стади по принятию решений. Учебно-методическое пособие [_102.jpg] Иллюстрация к книге — Успешный менеджер. Кейс-стади по принятию решений. Учебно-методическое пособие [_102.jpg]](img/book_covers/066/66942/_102.jpg)
![Иллюстрация к книге — Успешный менеджер. Кейс-стади по принятию решений. Учебно-методическое пособие [_102_2.jpg] Иллюстрация к книге — Успешный менеджер. Кейс-стади по принятию решений. Учебно-методическое пособие [_102_2.jpg]](img/book_covers/066/66942/_102_2.jpg)
![Иллюстрация к книге — Успешный менеджер. Кейс-стади по принятию решений. Учебно-методическое пособие [_103_2.jpg] Иллюстрация к книге — Успешный менеджер. Кейс-стади по принятию решений. Учебно-методическое пособие [_103_2.jpg]](img/book_covers/066/66942/_103_2.jpg)