Книга Управление персоналом: учебное пособие, страница 86 – Владимир Спивак

Авторы: А Б В Г Д Е Ж З И Й К Л М Н О П Р С Т У Ф Х Ч Ш Ы Э Ю Я
Книги: А Б В Г Д Е Ж З И Й К Л М Н О П Р С Т У Ф Х Ц Ч Ш Щ Ы Э Ю Я
Бесплатная онлайн библиотека LoveRead.in

Онлайн книга «Управление персоналом: учебное пособие»

📃 Cтраница 86

4. Коэффициент необходимого оборота, равный отношению числа уволенных по неизбежным и независящим от предприятия причинам к среднесписочной численности работников.

Иллюстрация к книге — Управление персоналом: учебное пособие [i_094.jpg]

5. Коэффициент текучести персонала – отношение числа уволенных работников предприятия, выбывших за данный период по причинам текучести (по собственному желанию, за прогулы, за нарушение техники безопасности, самовольный уход и аналогичным причинам, не вызванным производственной или общегосударственной потребностью) к среднесписочной численности за тот же период.

Текучесть персонала – движение рабочей силы, обусловленное неудовлетворенностью работника рабочим местом или неудовлетворенностью организации конкретным работником.

Текучесть может быть:

1. Внутриорганизационная – связанная с трудовыми перемещениями внутри организации.

2. Внешняя – между организациями, отраслями и сферами экономики.

Различают естественную и излишнюю текучесть кадров.

Смена кадров происходит практически в любой фирме. Это нормальное явление для каждого живого коллектива, так как отсутствие движения – признак застоя. Поэтому приток новых людей и изменение кадровой структуры служит фактором естественного развития. Сложности возникают, когда текучесть кадров принимает значительные масштабы, становится неуправляемой, нарушает нормальный ритм работы и вдобавок вредит репутации руководителя и компании в деловом окружении.

Естественная текучесть (3–5 % в год) способствует своевременному обновлению коллектива и не требует особых мер со стороны руководства и кадровой службы.

Излишняя текучесть вызывает значительные экономические потери, а также создает организационные, кадровые, технологические, психологические трудности.

Излишняя текучесть персонала, по данным западных психологических исследований, отрицательно сказывается на моральном состоянии оставшихся работников, на их трудовой мотивации и преданности организации. С уходом сотрудников разваливаются годами наработанные связи в трудовом коллективе, и текучесть может приобрести лавинообразный характер. В последние годы на российских предприятиях часто наблюдаются случаи «ухода отделами», когда сложившиеся рабочие коллективы, в силу одинаковой мотивации и налаженных контактов, предпочитают переходить в другую организацию целиком.

Сам по себе показатель текучести в разных фирмах оценивают неодинаково: где-то считают поводом для беспокойства текучесть ниже 10 %, а где-то – выше 3 %. Точка зрения на этот показатель зависит от того, как руководство фирмы представляет разумное соотношение между стабильностью коллектива и уровнем его консерватизма, застоя.

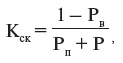
6. Коэффициент стабильности кадров определяется в соответствии со следующей формулой [141]:

Иллюстрация к книге — Управление персоналом: учебное пособие [i_095.jpg]

где Рв – количество уволившихся по собственному желанию и из-за нарушения трудовой дисциплины;

Рп – численность вновь принятых работников;

P – среднесписочная численность работников в предшествующий период.


С уменьшением числа выбывших и принятых на работу работников значение данного коэффициента приближается к единице, что соответствует стабилизации кадрового состава предприятия.

14.3. Оценка работы служащих по управлению персоналом

Для оценки работы служащих по управлению персоналом можно использовать методику контрольного перечня [142]. Перечень содержит вопросы, на которые можно ответить либо «да», либо «нет». Методика определяет, были ли оценены важные виды деятельности, и если да, то были ли они выполнены.

Типичные вопросы контрольного перечня для оценки работы службы по управлению персоналом:

1. Были ли все обязательные виды отчетности представлены в запрашивающие их органы вовремя?

2. Были ли разработаны формализованные процедуры и методы для проведения анализа производственных операций?

3. Делаются ли прогнозы потребности в человеческих ресурсах по меньшей мере ежегодно?

4. Эффективно ли интегрирован процесс найма в процесс планирования человеческих ресурсов?

5. Соответствует ли форма заявления о приеме на работу применяемым стандартам правовых и позитивных действий?

6. Проходят ли все работники аттестацию хотя бы раз в год?

7. Обновляются ли должностные инструкции для всех работников?

8. Всем ли работникам четко разъяснены их карьерные возможности?

По существу, контрольный перечень представляет собой оценку того, что следует сделать, и до какой степени это уже сделано. Чем больше в нем положительных ответов, тем лучше результаты оценки; отрицательные ответы указывают на сферы или виды деятельности, где требуется последующая или дополнительная работа для увеличения эффективности управления персоналом. Организации, решившие использовать эту методику, несомненно, включат в нее еще много вопросов. Метод контрольного перечня является исключительно средством внутренней оценки и может рассматриваться в качестве первого шага при проведении аудита.

Еще один способ оценки результатов деятельности службы по управлению персоналом – количественный метод. Он основывается на сборе различных видов цифровых данных и вычислении на их основе определенных соотношений. Цифровые данные полезны, прежде всего, как показатели уровней и тенденций деятельности. Соотношения показывают результаты, которые важны сами по себе, но также выявляют (если наблюдения ведутся в течение некоторого времени) тенденции, что может быть еще более важным. Возможные сферы кадровой политики, которые требуется отследить, – это наем, текучесть кадров, отсутствие на рабочем месте, уровень заработной платы в фирме вообще и рабочих в частности, временная помощь, сверхурочные, безработица, страхование. К примеру, во что обойдется приобретение того или иного навыка? Является ли один метод найма лучше, чем другой? Широко используется практика обращения в бюро по трудоустройству, но это дорого; так, возможно, другие методы более эффективны с точки зрения затрат?

Примеры количественных критериев, используемых в сфере управления персоналом США:

• коэффициент отбора женщин и представителей меньшинств;

• коэффициент продвижения по службе женщин и представителей меньшинств;

Вход
Поиск по сайту
Ищем:
Календарь