Книга Морской нефтебизнес. Пособие для будущего топ-менеджера, страница 21 – Валерий Самойлов

Авторы: А Б В Г Д Е Ж З И Й К Л М Н О П Р С Т У Ф Х Ч Ш Ы Э Ю Я
Книги: А Б В Г Д Е Ж З И Й К Л М Н О П Р С Т У Ф Х Ц Ч Ш Щ Ы Э Ю Я
Бесплатная онлайн библиотека LoveRead.in

Онлайн книга «Морской нефтебизнес. Пособие для будущего топ-менеджера»

📃 Cтраница 21

● Модель двигателя : EQ6BTA5.9

● Объем и мощность двигателя: (мл/ kВт) : 5880/132

● Общий вес: (кг): 14120

● Максимальная скорость: (км/ч) : 90

● Габаритные размеры: (Д×Ш×В)(мм) : 7900×2490×3098

● Расстояние между осями колесных пар (мм): 4500


Характеристики насоса:

● Модель насоса : ZJ-300

● Внутренний диаметр гильз: (мм): φ90, φ100, φ115

● Давление гидросистемы: (MPa) : 30 (при φ90)


Противовыбросовое оборудование

Кольцевой превентор

Назначение и сфера применения

1) Управление превентором – дистанционное гидравлическое.

2) Обычно используется вместе с плашечным превентором FZ35-70.

3) При наличии бурового инструмента, насосных штанг или обсадных труб можно герметизировать кольцевое пространство по различному размеру.

4) При отсутствии колонны труб можно полностью герметизировать устье скважины.

5) При возникновении выброса во время бурения или освоения скважины можно блокировать кольцевое пространство.


Технические параметры кольцевого превентора

Иллюстрация к книге — Морской нефтебизнес. Пособие для будущего топ-менеджера [_053.jpg]

Плашечный превентор

Назначение и сфера применения

1) В зависимости от потребности, условий эксплуатации плашечные превенторы могут быть одинарными или сдвоенными. Управление превенторами производится как вручную так и гидравлическим способом.

2) При наличии бурового инструмента (или других труб) в скважине обеспечивает уплотнение кольцевого пространства и возможность расхаживания в пределах между замковыми или муфтовыми соединениями. Плашечный превентор типа FZ35 – 70 укомплектован плашками, способными герметизировать буровой инструмент ( или обсадную трубу)следующих диаметров (мм): 60,3; 73,03; 88,9; 114,3; 127,0; 139,7; 190,5; 244,5.

3) При отсутствии бурового инструмента можно полностью герметизировать устье скважины.

4) В состоянии герметизации возможно проведение таких операций, как замещение бурового раствора, глушение скважины и т. д.


Технические характеристики плашечного превентора:

Иллюстрация к книге — Морской нефтебизнес. Пособие для будущего топ-менеджера [_054.jpg]

Плашечно-шиберный превентор, механический с гидравлическим управлением (сдвоенный)

Иллюстрация к книге — Морской нефтебизнес. Пособие для будущего топ-менеджера [_055.jpg]

Плашечно-шиберный превентор, механический с ручным управлением (одинарный)

Иллюстрация к книге — Морской нефтебизнес. Пособие для будущего топ-менеджера [_055_2.jpg]

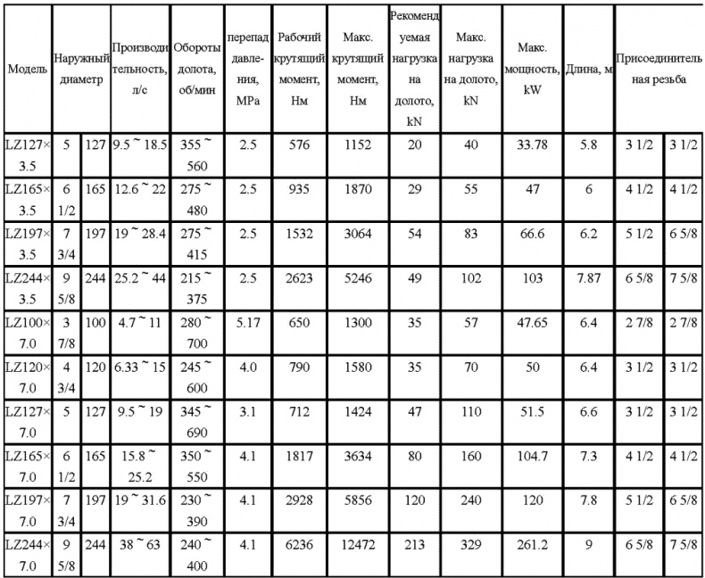
Винтовой забойный двигатель

Технические параметры винтового забойного двигателя (многозаходный)

Иллюстрация к книге — Морской нефтебизнес. Пособие для будущего топ-менеджера [_056.jpg]
Иллюстрация к книге — Морской нефтебизнес. Пособие для будущего топ-менеджера [_057.jpg]

Технические параметры винтового забойного двигателя (однозаходный)

Иллюстрация к книге — Морской нефтебизнес. Пособие для будущего топ-менеджера [_058.jpg]

Технические параметры винтового забойного двигателя (воздушный мотор или пеномотор)

Иллюстрация к книге — Морской нефтебизнес. Пособие для будущего топ-менеджера [_059.jpg]
Приложение № 2

ТЕХНИКО-ЭКОНОМИЧЕСКОЕ ОБОСНОВАНИЕ ПОКУПКИ БАЗЫ ГАРЮЧЕ-СМАЗОЧНЫХ МАТЕРИАЛОВ (бу) НА ГРАНИЦЕ С ПОЛЬШЕЙ И ЕЁ МОДЕРНИЗАЦИИ

Исходные данные: Стоимость объекта 7 260 000 долларов или 6 000 000 евро. База ГСМ и земельный участок 16,32 га находятся в собственности и располагаются рядом (900 метров) с Калининградским заливом на границе с Польшей (7,2 км до границы). Имеется свой жд путь, примыкающий к евроколее. Эту базу ГСМ можно рассматривать как нефтетерминал, увеличение объемов перевалки которого и в дальнейшем строительство портовых сооружений (два варианта: рейдовый причал в море для танкеров 120000 тонн или стационарный причал в заливе на 20000 – 50000 тонн) будут рассматриваться как модернизация или реконструкция действующего объекта. Часть нефти или нефтепродуктов можно продавать жд эшелонами в Европу, формируя их на базе ГСМ. Здесь же можно разместить блендерную установку для производства международной морской мазутной группы IFO 30-380 на базе отечественного мазута М-100 и смешения его с СМТ (судовым маловязким топливом) и начать бункеровку судов заходящих в Калининградскую область, построив первую причальную линию. В отличие от жд направления Калининград – Балтийск (Янтарный), здесь нет жесткой конкуренции по железнодорожным перевозкам.

Стоимость модернизации «Базы ГСМ» составит (включая покупку самой Базы):

– увеличение резервуарного парка с 11680 тн до 150000 тонн единовременного хранения – 15000000 дол.

– модернизация жд эстакады слива нефти – 3000000 дол.

– модернизация насосных установок – 5000000 дол.

– строительство подводного продуктопровода и рейдового причала в море (или стендерных причалов в заливе) – 20000000 дол.

– блендерная установка – 300000 дол.

– непредвиденные расходы (включая железнодорожные) – 1000000 дол.

– проект модернизации – 3000000 дол.

– покупка Базы ГСМ – 7260000 дол.

Итого расходов – 54560000 дол.

Окупаемость:

– годовой оборот 5 млн. тонн

– стоимость 1 тонныперевалки – 8 дол.тн

– валовая прибыль за год – 40 млн. дол.

– затраты по перевалке – 40%

Вход
Поиск по сайту
Ищем:
Календарь