Онлайн книга «Большая книга директора магазина 2.0. Новые технологии»
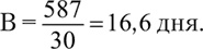
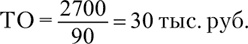
![]() Время обращения товарных запасов в днях: ![]() Скорость обращения (в разах): ![]() Динамика показателей оборачиваемости измеряется абсолютными и относительными величинами Абсолютное их изменение определяют сравнением фактической оборачиваемости отчетного периода с оборачиваемостью прошедшего периода. Относительное изменение оборачиваемости анализируется с помощью различных индексов: • индекса среднего времени обращения товарных запасов, который отражает, насколько изменилась оборачиваемость по сравнению с прошлым периодом. Он равен отношению времени обращения товарных запасов отчетного периода к прошедшему; • индекса структурных сдвигов, отражающего изменение оборачиваемости по магазину в целом в зависимости от изменений долей групп с разной оборачиваемостью; • индекса обращения постоянного состава, который отражает, насколько изменилась оборачиваемость в целом по магазину при изменении оборачиваемости некоторых групп. Анализ динамики показателей оборачиваемости необходим для повышения эффективности управления закупками. Часто время обращения и скорость обращения товара называют коэффициентами оборачиваемости. Рекомендуемых значений этих коэффициентов не существует. Закономерность одна: чем выше коэффициент – тем меньше времени товары находятся на складе, тем быстрее они превращаются в деньги. В одном из сетевых супермаркетов норма оборачиваемости по непродовольственной группе делится на основе АВС-анализа: для товаров группы А – 10 дней, для товаров группы В – 20 дней, для товаров группы С – 30. В этой розничной сети закладывают в показатель товарного запаса месячную оборачиваемость, а товарный остаток по магазину складывается из нормы оборачиваемости плюс страховой запас. Розничные компании используют понятие «норма оборачиваемости» и сами устанавливают для себя такие нормативы для анализа эффективности закупок и управления ассортиментом в целом. Норма оборачиваемости – это количество дней или оборотов, за которое, по мнению руководства розничной компании, должен быть реализован запас товара, чтобы торговлю можно было считать успешной. Чарльз Боденстаб [20], владелец логистической компании, известный консультант, автор и разработчик программного обеспечения для управления логистикой, проанализировал данные по большому количеству компаний и результаты эмпирического исследования обобщил в следующей формуле: Ожидаемое количество оборотов = 12 / (f (OF + 0,2 × L)) Здесь: • OF – средняя частота заказа в месяцах (т. е. временной интервал между размещением заказов поставщику); • L – средний период доставки в месяцах (т. е. время между размещением заказа и получением товара); • f – коэффициент, который обобщает действие прочих факторов, влияющих на теоретическое количество оборотов. К этим факторам относятся: • ширина ассортимента в хранении, т. е. необходимость хранения медленно оборачивающихся запасов в маркетинговых целях; • большие, чем требуются, покупки в целях получения скидок за объем; • требования минимальной партии закупки от поставщика; • ненадежность поставщика; • факторы политики экономичного размера заказа; • затоваривание в целях промоушн; • использование поставки в две стадии. Проведение инвентаризации
Инвентаризация является необходимой периодической процедурой контроля товарных запасов для любого магазина. Инвентаризация позволяет определить реальное количество товара в магазине и сравнить его с данными товарного учета. Такое сравнение необходимо, так как в магазине неизбежно возникают расхождения Расхождения возможны по нескольким причинам: • воровство покупателей; • административные ошибки (пересортица и пр); • естественные причины (для продуктов питания – усушка, утруска); • воровство персонала. В большинстве магазинов определен лимит списания недостач товара на административные ошибки и/или естественные причины Превышение данного лимита согласно договору материальной ответственности компенсирует персонал магазина В зависимости от принятых в компании внутренних правил, компенсация может быть либо полной, либо частичной. По нашим данным, средним показателем недостач в рознице является 2 % от выручки за период Конечно, эта цифра ни в коем случае не является нормативом или целью. Просто это наиболее часто встречающийся показатель. Показатель в 1 % или 0,5 % – большая редкость Скорее всего, в таком магазине отсутствует воровство покупателей и персонала, а недостачи вызваны исключительно мелкими ошибками, которые свойственны всем Если этот показатель превысил в вашем магазине 4–5 %, к этому, как показывает практика, скорее всего, причастен персонал (если только нет серьезных огрехов в противокражной системе). Как известно, воровать выгодно, даже если сотрудник участвует в полной компенсации недостач. Время проведения инвентаризации. Инвентаризацию лучше всего проводить в нерабочее время (утром или ночью). Это позволяет без сбоев и без экономического вреда для торгового процесса провести необходимую проверку. Утренняя инвентаризация должна быть закончена до открытия магазина. В некоторых случаях – если магазин имеет большой ассортимент товаров (как правило, это супермаркеты или гипермаркеты) или работает круглосуточно – возникает необходимость проведения инвентаризации в рабочее время, так как невозможно провести инвентаризацию всего ассортимента в ночное время и закрыть магазин для этих целей. Ассортимент для проверки. Необходимо выбрать ассортимент, который будет проверен в ходе инвентаризации. Проводить инвентаризацию по всему ассортименту или по его части определяется количеством наименований товара, площадью магазина, количеством персонала, участвующего в инвентаризации, и степенью автоматизации данного процесса: • маленький или средний магазин – весь ассортимент (полная инвентаризация); |
![Иллюстрация к книге — Большая книга директора магазина 2.0. Новые технологии [i_108.jpg] Иллюстрация к книге — Большая книга директора магазина 2.0. Новые технологии [i_108.jpg]](img/book_covers/066/66547/i_108.jpg)
![Иллюстрация к книге — Большая книга директора магазина 2.0. Новые технологии [i_109.jpg] Иллюстрация к книге — Большая книга директора магазина 2.0. Новые технологии [i_109.jpg]](img/book_covers/066/66547/i_109.jpg)
![Иллюстрация к книге — Большая книга директора магазина 2.0. Новые технологии [i_110.jpg] Иллюстрация к книге — Большая книга директора магазина 2.0. Новые технологии [i_110.jpg]](img/book_covers/066/66547/i_110.jpg)