Книга Рабочая книга супервайзера, страница 26 – Николай Дорощук

Авторы: А Б В Г Д Е Ж З И Й К Л М Н О П Р С Т У Ф Х Ч Ш Ы Э Ю Я
Книги: А Б В Г Д Е Ж З И Й К Л М Н О П Р С Т У Ф Х Ц Ч Ш Щ Ы Э Ю Я
Бесплатная онлайн библиотека LoveRead.in

Онлайн книга «Рабочая книга супервайзера»

📃 Cтраница 26

Многие становятся супервайзерами автоматически после успешного опыта работы рядовым сотрудником. Но, к сожалению, не все добиваются успеха на этой должности. Так почему одни добиваются успеха, а другие бегают из одной организацию в другую в поисках лучших условий и в конце концов становятся невостребованными на рынке труда?

Как добиться успеха на должности супервайзера?

Прежде чем избрать профессию, вам необходимо понять, кем вы хотите стать и в какой области добиться успеха.

ПРОЧТИТЕ ЭТО ВНИМАТЕЛЬНО!

Всем кандидатам на должность супервайзера я задаю вопрос: «Ваша мечта или цель в жизни?» Многих этот вопрос ставит в тупик, и после некоторого размышления они отвечают: «Улучшить материальное положение, добиться карьерного роста».

Главный принцип достижения успеха состоит в том, чтобы превратить свои желания в четкое видение результатов, которых вы хотите добиться. Это и называется постановкой цели.

Что такое цель?

Оксфордский словарь английского языка определяет слово «цель» как «объект личных устремлений и усилий, предназначение, назначенный пункт». У каждого человека есть некие намеченные пункты, предназначение, которое он пытается реализовать. Человек, который никуда не идет, никуда не придет.

ПРОЧТИТЕ ЭТО ВНИМАТЕЛЬНО!

Один из кандидатов на должность супервайзера на вопрос: «Ваша мечта или цель в жизни?» ответил, что у каждого человека есть две мечты — американская и японская. Американская мечта — построить карьеру и стать высокооплачиваемым менеджером, который будет востребован в любой компании. Японская — построить свой собственный бизнес и стать успешным предпринимателем.

Прежде чем избратьпрофессию, определите, кем вы хотите быть — успешным собственником или успешным менеджером.

У каждого из нас есть цель. Конечно, бывают и исключения. Некоторые люди не думают ни о чем, кроме сегодняшнего дня. Для кого-то целью является алкоголь, для других цель — прожить этот день. Все это можно назвать целями выживания.

На другом полюсе находятся величайшие человеческие достижения: создание компании с многомиллионным оборотом, преодоление мирового рекорда.

Между этими двумя крайностями пребывает большинство из нас, тех, кто, к сожалению, плохо различает цели выживания и цели достижений. Смысл, назначение нашей жизни не в том, чтобы внешние обстоятельства тянули нас в разные стороны. Именно вы должны решать, какой вы хотите видеть свою жизнь. Мы часто думаем: «Если бы я только мог это» или «Если бы я только имел это». Но задайте себе вопрос: «Я действительно хочу именно этого?»

КАК РАБОТАЕТ НАШЕ МЫШЛЕНИЕ?

Пример из личной жизни. Однажды мы с женой пошли на день рождения к нашей знакомой. После двухчасового застолья гости вышли покурить на балкон, а я остался дома и стал свидетелем разговора трёх мужчин, которые разговаривали об автомобилях. (Для справки: ни у кого из них не было автомобиля.)

Первый мужчина: «Да, хорошо иметь автомобиль, с ним можно быстро и комфортно решать все свои вопросы. Я хотел бы иметь автомобиль».

Второй мужчина: «Да, автомобиль — это хорошо. Кстати, подержанный автомобиль можно купить за 1000 у. е.».

Третий мужчина: «Я тоже хочу автомобиль и могу собрать деньги на подержанную машину, но надо ли это делать?»

Двое мужчин удивились, а третий продолжал: «Я слышал недавно песню, где есть такие слова: «я не имею машину, машина имеет меня». Это значит, что на день рождения я покупаю машине новые колеса, на Новый год — новые тормозные колодки. Так кто кого имеет: я машину или машина меня?» Мужчины согласились с ним, что машина им не нужна, и присоединились к гостям за столом, где уже был и совсем другие разговоры.

Задайте себе вопрос, действительно ли вы хотите быть руководителем? Действительно ли вы готовы взять ответственность за результат и деятельность своих подчиненных?

Иллюстрация к книге — Рабочая книга супервайзера [i_014.jpg]

ПРОЧТИТЕ ЭТО ВНИМАТЕЛЬНО!

«Желания, а не способности являются залогом успеха. Вы можете получить что угодно, вы можете сделать что угодно, если вы действительно хотите этого, и единственным ограничением является то, которое вы сами себе поставите» (Питер Риггз).

Если вы хотите построить свой бизнес или стать ведущим менеджером, то работа супервайзером — это первая ступень в вашей карьере или первый шаг в построении собственного бизнеса, поскольку вы начинаете развивать мышление более высокого уровня.

Как развивается сознание руководителя?

Те руководители, которые «выросли» из рядовых работников, могут вспомнить, как развивалось их сознание.

1-й уровень — «служащий». Мышление «служащего» направлено на удовлетворение своих потребностей — как заработать деньги для решения своих бытовых проблем. Свое окружение он рассматривает в качестве предметов своих потребностей. Нормы, которые получает «служащий», он стремится изменить под свое собственное удобство, даже в ущерб решению задач предприятия. При возникновении затруднений «служащий» теряет значимость выполнения нереализуемой, по его мнению, задачи и ищет новую работу, где он сможет удовлетворить свои потребности. На этом уровне мышления находятся грузчики, водители, секретари, торговые представители и многие другие. «Служащие» трансформируют поставленные им задачи в конкретные действия.

2-й уровень — «исполнитель». Мышление «исполнителя» направлено на оценку своих действий и всего окружения с точки зрения функциональных требований (должностной инструкции). Основной акцент его деятельности — исполнительство. В случае возникновения трудностей «исполнитель» корректирует свою деятельность или ставит об этом в известность свое руководство и ждет дальнейших инструкций. «Исполнители» строго следуют нормам предприятия и стремятся к профессиональному росту. Это уровень мышления линейных руководителей (супервайзеров), которые «выросли» из «служащего». «Исполнитель» трансформирует поставленную ему общую задачу в подзадачи для «служащих».

3-й уровень мышления — «руководитель». Мышление «руководителя» направлено на развитие деятельности фирмы. Это уровень мышления созидателя. «Руководитель» предвидит проблемы, а при их возникновении анализирует причины и ищет оптимальные пути выхода. Мышление «руководителя» сосредоточено на непрерывном совершенствовании деятельности предприятия. Он трансформирует миссию организации в стратегические направления деятельности предприятия. «Руководитель» ставит задачи исполнителям.

Если вы решили стать успешным руководителем, то в этой книге вы найдете ответы на ряд вопросов, с которыми сталкиваются руководители различных уровней. Особенно она будет полезна руководителям, занимающимся продажами.

Глава 26: Как стать профессиональным супервайзером?

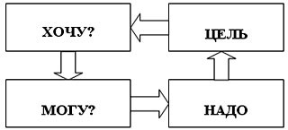
Работа профессионального менеджера складывается из четырех составляющих. Каждого менеджера по мышлению и поведению можно отнести к одному-двум из четырех квадратов.

Вход
Поиск по сайту
Ищем:
Календарь