Книга Универсум. Общая теория управления, страница 91 – Владислав Масликов

Авторы: А Б В Г Д Е Ж З И Й К Л М Н О П Р С Т У Ф Х Ч Ш Ы Э Ю Я
Книги: А Б В Г Д Е Ж З И Й К Л М Н О П Р С Т У Ф Х Ц Ч Ш Щ Ы Э Ю Я
Бесплатная онлайн библиотека LoveRead.in

Онлайн книга «Универсум. Общая теория управления»

📃 Cтраница 91

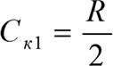
Общая алгоритмика получения значений линейных стратификационных коэффициентов (рис. 6.22) для универсума класса N включает:

1) определение весовой разницы между элементами R

Иллюстрация к книге — Универсум. Общая теория управления [_201.jpg]

(6.10)


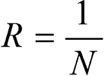
2) Определение стратификационного коэффициента первой страты

Иллюстрация к книге — Универсум. Общая теория управления [_202.jpg]

(6.11)


3) Определение числовых значений всех остальных коэффициентов, с учётом весовой разницы между ними:

Иллюстрация к книге — Универсум. Общая теория управления [_203.jpg]

(6.12)


4) Определение коэффициента нормировки КНОРМ полученных значений СКi

Иллюстрация к книге — Универсум. Общая теория управления [_204.jpg]

(6.13)


Нормированные коэффициенты качества являются просто переводом аналоговой линейной универсумной диагонали Меры в дискретное представление размерностью N. Рис. 204

Иллюстрация к книге — Универсум. Общая теория управления [_205.jpg]

(6.14)


Сумма коэффициентов качества СК должна удовлетворять условию:

Иллюстрация к книге — Универсум. Общая теория управления [_206.jpg]

(6.15)


После проведения нормировки формула (6.9) может быть представлена в сокращенном, более оптимальном виде:

Иллюстрация к книге — Универсум. Общая теория управления [_207.jpg]

(6.16)


Предельную математическую погрешность показателя качества для любого универсума можно рассчитать по формуле

Иллюстрация к книге — Универсум. Общая теория управления [_208.jpg]

(6.17)


Она составит 6,25 % для универсума класса 4U; 3,125 % для 8U; 1,5625 % для 16U и т. д.

На основании приведённого алгоритма коэффициентирования для любого универсума могут быть получены стандартные значения стратификационных коэффициентов соответствующей степени точности.

В принципе, следует говорить о двух взаимосвязанных характеристиках – абсолютном качестве универсума как такового, и об относительном показателе качества. Абсолютное качество должно учитывать распределение расчётных элементов универсума по стратам (именно о нём здесь и далее и идёт речь), а относительное качество – это степень соответствия универсума конкретным условиям внешней среды. Чем более точно в требованиях к качеству учтены условия эксплуатации во внешнем мире, тем более высоким будет относительное качество системы[180].

Иллюстрация к книге — Универсум. Общая теория управления [_209.jpg]

Рис. 6.22. Коэффициентирование качества универсума класса 4U

а) качественное распределение страт универсума;

б) универсумные фреймы и межэлементные связи;

в) весовые значения коэффициентов качества


Разберём алгоритмику и порядок полного цикла расчёта качественных характеристик различных объектов из областей прикладного характера: технической, армейской и фирменно-корпоративной сфер жизнедеятельности социальных систем.

6.5.3. Расчёт качества объектов

Уровень качества любых технических объектов определяется наглядно следующей стратификацией класса 4U (рис. 6.23):

1) Материалы. Конструкционные материалы, определяющие элементы объекта (технической системы, универсума), входящие в материальную страту, являющуюся базовой основой объекта;

Иллюстрация к книге — Универсум. Общая теория управления [_210.jpg]

Рис. 6.23. Стратификация качественных характеристик объектов


2) Функционал. Функциональную конструкцию объекта, предназначенную для выполнения тех действий, на которые рассчитан объект;

3) Технологии. Расчётные узлы и системы, которые определяют повышенные требования к качественным характеристикам процесса функционирования объекта – его надёжности, износостойкости, эффективности и другим;

4) Интеллект. Глубина продумывания различных взаимоотношений между разнокачественными элементами объекта (узлами системы), учёт соответствия выполняемых функций условиям внешней среды, уровень использования инновационных технологии и современных научных достижении определяют состав элементов этой страты.

Пусть при создании какого-нибудь технического объекта (опытного образца) 100 % времени, затраченного на его конструирование в КБ «НК» распределилось так:

1) Материалы – 35 %;

2) Функционал – 50 %;

3) Технологии – 8 %;

4) Интеллект – 7 %.

При разработке и изготовлении опытного образца изделия в КБ «НК» использовались только традиционные материалы, основное внимание уделялось функциональному предназначению изделия, новые технологии почти не использовались. Изделие получилось материалоёмким, выполнено функционально сложно. Пример подобной разработки – механический станок.

Иллюстрация к книге — Универсум. Общая теория управления [_211.jpg]

Рис. 6.24. Расчёт качества опытного образца изделия в КБ «НК» и «ВК»


В конкурирующем КБ «ВК» то же время на создание такого же по функциональному назначению объекта распределялось по-другому:

1) Материалы – 10 %;

2) Функционал – 20 %;

3) Технологии – 50 %;

4) Интеллект – 20 %.

При разработке и изготовлении изделия в КБ «ВК» использовались новые материалы, функциональное предназначение изделия рассчитывалось преимущественно по новым технологиям. Изделие не материалоёмко, выполнено функционально просто, что резко повышает его конкурентоспособность. Пример сравнения с конкурирующей разработкой – станок с ЧПУ.

Расчёт качественных характеристик для обоих случаев даст вполне определённые численные характеристики уровня качества (рис. 6.24):

Вход
Поиск по сайту
Ищем:
Календарь