Книга Универсум. Общая теория управления, страница 10 – Владислав Масликов

Авторы: А Б В Г Д Е Ж З И Й К Л М Н О П Р С Т У Ф Х Ч Ш Ы Э Ю Я
Книги: А Б В Г Д Е Ж З И Й К Л М Н О П Р С Т У Ф Х Ц Ч Ш Щ Ы Э Ю Я
Бесплатная онлайн библиотека LoveRead.in

Онлайн книга «Универсум. Общая теория управления»

📃 Cтраница 10

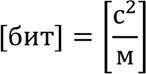
Из обратного соотношения размерностей категории «Ускорение» и «Информация» размерность современной информационной единицы в системе СИ МКС составляет

Иллюстрация к книге — Универсум. Общая теория управления [_18.jpg]

(1.10)


Из этого далее следует, что при обратном пересчёте размерностей информационная единица «поток» (строка 6) соответствует известному понятию «битрейт» – скорости прохождения информации (количеству информации, передаваемому за единицу времени, измеряемому в бит/с).

Таким образом, понятие «скорость» материальной точки является обратным информационному понятию «поток», в более привычном наименовании звучащем как «битрейт». Аналогия очевидна.

Возникает вопрос: подтверждается ли адекватность обратной записи информационных формул для других известных физических понятий, включающих универсумную пару «материя – поле» и/или «материя (масса) – информация»?

Действительно, пока мы вполне обходились только двумя пространственно-временными категориями – «Длиной» и «Периодом» классической части описания системы МКС. Включив в следующую группу парных физических понятий «массу» и обратное ему понятие «поле», получим также вполне корректные и неожиданно интересные аналогии.

Материальное понятие «Импульс» соответствует информационному понятию «Пакет» (строка 8). Здесь информационный поток – набор битов приходится на определённый, ограниченный временной период.

Материальное понятие «Сила» соответствует информационному понятию «Файл» (строка 9). Здесь нет прямой привязки ко времени и скорости информационного потока, а определен просто целостный, связанный между собой набор битов.

Материальное понятие «Работа» соответствует информационному понятию «Трафик» (строка 10). Он может быть выражен как произведение «битрейта» на «пакеты», так и в более привычной битовой или аналогичной, например, «обратной Джоулю» размерности.

Следующее материальное понятие «Мощность» соответствует информационному понятию «Пропускная способность» (строка 11). Здесь необходимо учитывается временной фактор как произведение трафика на время его работы.

Можно утверждать, что все другие, не рассматриваемые здесь формулы физики, также имеют своих «информационных двойников». то есть, появляется надёжный «мостик» между адекватными реальности физическими формулами системы MEST и представлением любого универсума в виде соотношения «Материя (как распознавание человеком движения обладающей массой материальной точки») – Информация» (распознавание движения информационного потока).

Признание взаимодополнительности этих категорий позволяет получить определённую логическую последовательность иерархически расположенных, вытекающих друг из друга предельных философских категорий, описывающих Мироздание в виде дополняющих друг друга объединённых пар (рис. 1.4).

Континуум «Материя-Поле» представляет собой единство всего множества АС как категории «Движение»: от почти неподвижных тяжёлых, инерционных субстанций до максимально лёгких, динамичных элементов Мироздания.

Подавляющую часть этих субстанций человек, ограниченный узкими частотными диапазонами рецепции, видеть и ощущать не в состоянии, но его рецепторы, начиная с определённого порога чувствительности, в состоянии различать дифференциальные величины. Эти изменения, движения окружающего мира воспринимаются человеком как информация.

Здесь можно упомянуть связанную традиционной философией некорректность известной постановки задачи о создании некой «Единой теории поля». Такая постановка ничуть не хуже и не лучше идеи разработки «Единой теории материи» и говорит только о том, что следует разрабатывать не частные «единые» теории поля или материи, а одну, логически обоснованную (1.4) «Единую теорию Материи-Поля».

Континуум «Масса («Материя») – Информация» объединен понятием «Мера», определяющим внутреннее соотношение этих базовых понятий для любой наблюдаемой человеком субстанции окружающего мира. Мера не может быть ничем иным, как соотношением между двумя базовыми категориями философской системы, матрицей возможных форм взаимодействия материи и информации.

Иллюстрация к книге — Универсум. Общая теория управления [_19.jpg]

Рис. 1.4. Иерархия обобщённых философских категорий Мироздания


Дифференциальное восприятие мира, характерное для рецепторов живых существ, выливается у человека в мысленные представления о твёрдой «Материи» и существовании неких более «тонкоматериальных» (но материальных!) субстанций. В различных философских учениях эти субстанции именуются по разному, но с физической точки зрения они просто представляют экзотические вариации понятия «Информация».

Континуум «Качество-Количество» является субъективным представлением человека о комплексе материально-информационных характеристик (степенях фиксации) любых различаемых человеком ОЯП, причём качество делает акцент на определение различных соотношений их внутренних связей, а количество более учитывает внешние связи, составляющие рассматриваемый Универсум. Проще говоря, один универсум схож и/или отличается от другого своим внутренним содержанием.

Континуум «Пространство-Время» является субъективным представлением человека о комплексе материально-информационных характеристик (степенях свободы) различаемых человеком ОЯП, причём время делает акцент на определение различных соотношений их внутренних связей, а пространство более учитывает внешние связи, составляющие рассматриваемый Универсум. Этот континуум позволяет различать одну субстанцию от другой по разнице наблюдений в координатах субъективного пространства и времени. Этот континуум является основой для построения человеком причинно-следственных связей (ПСС), выражаемых в таких областях научного знания как астрономия, геометрия и др.

Физика объединяет все вышерассмотренные категории и в совокупности с другими областями знаний позволяет воспринимать и различать все видимые ОЯП Мироздания. Сравнение и последующая идентификация человеком наблюдаемых им субстанций производится именно на основании различного наполнения всего комплекса категорий «Качество», «Количество», «Пространство» и «Время», что позволяет ему сформировать ряд отличающихся друг от друга характеристиками образных и словесных понятий, которые отражают ощущаемую им совокупностью ОЯП окружающего мира.

Следует обратить внимание и на то, что философская система MEST признаёт существование в мире двух типов описаний ОЯП – аналогового и дискретного и принципиально противопоставляет эти описания друг другу. Согласно же современным научным воззрениям, материя дискретна, а аналоговые процессы описывают большие совокупности дискретных ОЯП. Существует математически обоснованная точка зрения, утверждающая, что весь окружающий мир можно представить как сложение различных форм синусоидальных сигналов. Отсюда закономерен вопрос о том, существует ли какая-либо связь между аналоговым (синусоидальным) и цифровым (импульсным) сигналом?

Вход
Поиск по сайту
Ищем:
Календарь