Книга Настольная книга по внутреннему аудиту. Риски и бизнес-процессы, страница 75 – Олег Крышкин

Авторы: А Б В Г Д Е Ж З И Й К Л М Н О П Р С Т У Ф Х Ч Ш Ы Э Ю Я
Книги: А Б В Г Д Е Ж З И Й К Л М Н О П Р С Т У Ф Х Ц Ч Ш Щ Ы Э Ю Я
Бесплатная онлайн библиотека LoveRead.in

Онлайн книга «Настольная книга по внутреннему аудиту. Риски и бизнес-процессы»

📃 Cтраница 75

Механизированный способ. Во многих ситуациях, когда доставка ТМЦ происходит транспортом, процесс заявок отсутствует. Это связано с тем, что чаще всего механизированный способ используется для доставки добываемого сырья. Контроль лимитов при использовании данного способа отсутствует.

Подпроцесс «Перемещение между складами (или между цехами)»

В целом особенности данного подпроцесса освещены в разделе по процессу «Управление активами».

Аудитор должен понимать, что при перемещении ТМЦ (в отличие от ОС) имеет смысл ожидать определенную их утрату. По-хорошему любое предприятие должно разработать нормативы потерь ТМЦ при внутренних перемещениях. Особенно это актуально для ТМЦ с высокой ликвидностью, т. е. таких, которые можно легко продать на сторону.

Подпроцесс «Общий анализ запасов»

Данный подпроцесс включает в себя три основных этапа:

• определение неснижаемых остатков ТМЦ;

• определение EOQ (Economic Order Quantity);

• определение оптимального объема запасов.


Определение неснижаемых остатков ТМЦ. Можно выделить основные два вида неснижаемых остатков:

• фиксированный неснижаемый остаток;

• динамичный неснижаемый остаток.


Фиксированный неснижаемый остаток. Основная цель создания такого резерва ТМЦ – это обеспечение непрерывности деятельности с технологической точки зрения. Например, некоторые компоненты производственного оборудования могут иметь длительные сроки поставки или не подлежать ремонту вообще либо без использования специальных приспособлений, которых у предприятия нет. В такой ситуации предприятию имеет смысл иметь данные компоненты в запасе, чтобы минимизировать риск простоя.

При определении фиксированных неснижаемых остатков предприятие должно исходить из соотношения стоимости создания и хранения таких остатков и величины риска последствий их отсутствия. Такие расчеты могут представлять собой серьезное аналитическое упражнение.

Динамичный неснижаемый остаток. Основная цель такого резерва ТМЦ – это обеспечение непрерывности деятельности с производственной точки зрения. Одним из простых способов определения величины остатка является расчет объема и номенклатуры основных ТМЦ, потребляемых в процессе производства в среднем за период максимально вероятной продолжительности задержки поставки этих ТМЦ. Волатильность данному остатку придает динамика производства. Поэтому в зависимости от объемов и номенклатуры производимой продукции должны меняться величины и номенклатура неснижаемых остатков ТМЦ. Это предполагает определенную периодичность пересчета остатков, а также определение перечня ситуаций, когда пересчет инициируется (помимо установленной периодичности). Например, предприятие установило, что пересчет динамичных неснижаемых остатков осуществляется раз в полгода. Однако, если в течение шести месяцев после последнего пересчета происходит определенное событие (например, установка нового оборудования), неснижаемые остатки также пересчитываются.

В процессе расчета неснижаемых остатков необходимо соблюсти компромисс между интересами производства и желаемыми ликвидностью активов и финансовыми результатами деятельности предприятия. Правильный производственник стремится подстраховаться по максимуму. Правильный финансист стремится максимизировать оборотный капитал. По своей сути эти интересы противоположны, т. к. при прочих равных максимизация неснижаемых остатков минимизирует оборотный капитал и наоборот. Аудитор должен уметь оценить правильность и оптимальность выбранного предприятием соотношения.


Определение EOQ (оптимального уровня закупки ТМЦ). В своей практике я не встречал российских предприятий, которые использовали бы данный инструмент оптимизации процесса управления запасами. Однако я знаю, что они есть.

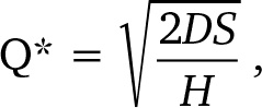
При расчете EOQ получается такая величина разовой закупки ТМЦ, при которой ее стоимость и расходы на хранение минимальны. Базовая формула расчета EOQ выглядит следующим образом:

Иллюстрация к книге — Настольная книга по внутреннему аудиту. Риски и бизнес-процессы [i_091.jpg]

где Q* – оптимальная величина разовой закупки; D – годовая потребность в ТМЦ; S – затраты на размещение и выполнение разового заказа как процедуры (т. е. затраты сверх стоимости самой ТМЦ); H – величина затрат на хранение одной единицы ТМЦ. Применение такого расчета на практике, как это часто бывает, имеет ограничения и допущения. Допущений всего пять:

• затраты на размещение и выполнение заказа имеют фиксированный размер;

• спрос имеет постоянную величину;

• время на выполнение заказа фиксировано;

• цена закупки постоянна (например, не применяются какие-либо скидки);

• заказ доставляется целиком за один раз.


Основное ограничение собственно и заключается в допущениях. Однако использование категорий данного расчета при принятии решений по процессу «Управление запасами» уже само по себе способно принести пользу, т. к. заставляет задуматься о ключевых параметрах процесса.


Определение оптимального объема запасов. В данном случае речь идет о так называемой модели ньюсвендора (Newsvendor model). Расчеты в рамках модели позволяют определить оптимальный объем запасов (величина q). Базовая формула расчета q выглядит следующим образом:

Иллюстрация к книге — Настольная книга по внутреннему аудиту. Риски и бизнес-процессы [i_092.jpg]

где q – оптимальная величина запасов; p – цена продажи единицы ТМЦ; с – стоимость закупки единицы ТМЦ; F –1 – функция спроса или Dmax + (Dmax – Dmin) (где D – это величина спроса в единицах). Данная модель имеет одно существенное допущение – предполагается, что варианты величины спроса имеют нормальное распределение с точки зрения статистики. Вышеуказанный вариант модели ньюсвендора является наиболее простым и применим к деятельности только торговых предприятий. Однако существуют более сложные варианты, которые можно применить к деятельности производственных предприятий.

Помимо описанных методов анализа аспектов процесса «Управление запасами» существуют и другие, например модель динамичного размера лота (dynamic lot size model), определение момента размещения заказа (reorder point). Описание этих методов выходит за рамки данной книги. Однако хотелось бы, чтобы специалисты по профилю и аудиторы помнили, что помимо широко используемой в российской практике интуиции существуют разные варианты оптимизации процедур процесса «Управление запасами». И самое главное, чтобы стремились применять их на практике.

Подпроцесс «Работа с неликвидами»

Данный подпроцесс включает в себя два основных этапа:

Вход
Поиск по сайту
Ищем:
Календарь