Книга Теория ограничений Голдратта. Системный подход к непрерывному совершенствованию, страница 68 – Уильям Детмер

Авторы: А Б В Г Д Е Ж З И Й К Л М Н О П Р С Т У Ф Х Ч Ш Ы Э Ю Я
Книги: А Б В Г Д Е Ж З И Й К Л М Н О П Р С Т У Ф Х Ц Ч Ш Щ Ы Э Ю Я
Бесплатная онлайн библиотека LoveRead.in

Онлайн книга «Теория ограничений Голдратта. Системный подход к непрерывному совершенствованию»

📃 Cтраница 68

Результативность действия, т. е. способность обеспечить желаемый результат в будущем, логически можно проверить только по критерию наличия причинно-следственных связей между событиями.

«Кислород»

В главе 2 мы обсуждали понятие «кислород» применительно к логическим построениям ТОС – это некие устоявшиеся убеждения о событиях окружающего мира, не зафиксированные в диаграммах.

Каждая стрелка-связь подразумевает некий «кислород» – условие, которое имеет место, но не отображается на схеме. Но то, что можно подразумевать, описывая текущую реальность, вряд ли стоит оставлять скрытым, говоря о будущем. Поэтому в ППР лучше отображать все скрытые предположения и условия в качестве описаний существующей реальности, которые создают среду для планируемых событий и действий. Выявляя скрытую информацию, мы снижаем вероятность упущений, оставляя невысказанными лишь действительно очевидные вещи. В плане преобразований практически не должно быть одиночных стрелок, не подкрепленных дополнительной информацией.

Применение плана преобразований

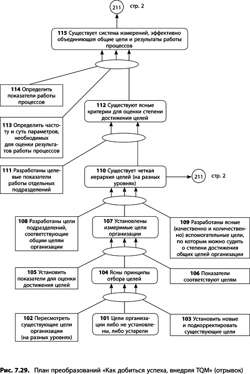
Каждое действие в диаграмме (прямоугольники) – это очередной шаг на пути к достижению главной цели. Можно выписать их все отдельно и составить при желании самостоятельную инструкцию, проверочный список либо просто план последовательных действий (рис. 7.28).

Иллюстрация к книге — Теория ограничений Голдратта. Системный подход к непрерывному совершенствованию [_373.jpg]

Читатели, знакомые с методами управления проектами, наверняка заметили, что план преобразований похож на PERT-диаграмму (Program Evaluation and Review Technique) – сетевой график планирования работ. Только сетевой график обязательно включает в себя цифровые показатели (оптимистические, пессимистические и ожидаемые прогнозы длительности каждого этапа проекта, а также времени простоя на отдельных отрезках пути). А в остальном структуры ППР и PERT-диаграмм очень похожи, ППР можно даже использовать для первоначальных набросков плана проектных работ, которые затем дополняются численными показателями. В результате вы получаете классический сетевой график (см. рис. 7.33).

Подведение итогов

Итак, мы завершили изучение пятого инструмента в рамках метода рассуждений Голдратта. Начав с дерева текущей реальности, мы нашли ограничение и решили, что именно необходимо менять. Затем, пользуясь диаграммой разрешения конфликтов, мы начали разработку картины новой – желаемой реальности с поиска ответа на вопрос «Что делать с ограничением?». При помощи дерева будущей реальности была составлена «лабораторная модель будущего» и протестирована оригинальная идея-прорыв. Мы изучили возможность снять главное ограничение системы, не вызвав негативных последствий. Затем, построив дерево перехода, мы выявили основные преграды на пути преобразований и нашли пути их преодоления. В итоге был создан пошаговый план преобразования системы.

Повторимся вновь: в зависимости от ситуации логические инструменты ТОС можно использовать как в совокупности, так и по отдельности. Не все проблемы настолько запутанны, чтобы нельзя было обойтись без дерева текущей реальности, диаграммы разрешения конфликтов и дерева будущей реальности в их логической последовательности. Иногда можно сразу же браться за построение дерева перехода или даже итогового плана преобразований. Логические инструменты ТОС в плане применения ничем не отличаются от строительных инструментов. Топором, например, можно и дров наколоть, и гвоздь забить, и целый дом построить.

И еще один важный момент. До сих пор мы говорили о логических инструментах как об индивидуальных средствах планирования, командная работа подробно не рассматривалась, что было вызвано исключительно интересами процесса обучения. Так проще разобраться в правилах построения и работы самих диаграмм. Но на самом деле мы живем и функционируем в социуме, и успех применения ТОС во многом зависит от окружения. В главе 8 мы обсудим, как вести групповой процесс логического построения и анализа по ТОС, как вовлечь окружающих в преобразование системы.

Иллюстрация к книге — Теория ограничений Голдратта. Системный подход к непрерывному совершенствованию [_375.jpg]
Иллюстрация к книге — Теория ограничений Голдратта. Системный подход к непрерывному совершенствованию [_376.jpg]
Иллюстрация к книге — Теория ограничений Голдратта. Системный подход к непрерывному совершенствованию [_377.jpg]
Иллюстрация к книге — Теория ограничений Голдратта. Системный подход к непрерывному совершенствованию [_378.jpg]
Иллюстрация к книге — Теория ограничений Голдратта. Системный подход к непрерывному совершенствованию [_379.jpg]
Иллюстрация к книге — Теория ограничений Голдратта. Системный подход к непрерывному совершенствованию [_380.jpg]
Иллюстрация к книге — Теория ограничений Голдратта. Системный подход к непрерывному совершенствованию [_381.jpg]
Иллюстрация к книге — Теория ограничений Голдратта. Системный подход к непрерывному совершенствованию [_382.jpg]
Иллюстрация к книге — Теория ограничений Голдратта. Системный подход к непрерывному совершенствованию [_383.jpg]
Иллюстрация к книге — Теория ограничений Голдратта. Системный подход к непрерывному совершенствованию [_384.jpg]
Иллюстрация к книге — Теория ограничений Голдратта. Системный подход к непрерывному совершенствованию [_385.jpg]
Иллюстрация к книге — Теория ограничений Голдратта. Системный подход к непрерывному совершенствованию [_386.jpg]
Вход
Поиск по сайту
Ищем:
Календарь