Книга Теория ограничений Голдратта. Системный подход к непрерывному совершенствованию, страница 11 – Уильям Детмер

Авторы: А Б В Г Д Е Ж З И Й К Л М Н О П Р С Т У Ф Х Ч Ш Ы Э Ю Я
Книги: А Б В Г Д Е Ж З И Й К Л М Н О П Р С Т У Ф Х Ц Ч Ш Щ Ы Э Ю Я
Бесплатная онлайн библиотека LoveRead.in

Онлайн книга «Теория ограничений Голдратта. Системный подход к непрерывному совершенствованию»

📃 Cтраница 11
Дерево Текущей Реальности

Дерево текущей реальности (ДТР) – это инструмент для анализа проблем (рис. 1.12). С его помощью можно изучить причинно-следственные связи, определяющие текущую ситуацию.

Иллюстрация к книге — Теория ограничений Голдратта. Системный подход к непрерывному совершенствованию [_053.jpg]

ДТР начинается с имеющихся нежелательных явлений в системе и помогает добраться до ряда истинных причин или же до одной ключевой проблемы, вызвавшей все нежелательные явления, с которыми мы столкнулись. Ключевая проблема обычно и является тем ограничением, которое мы стараемся найти, используя тактику пяти направляющих шагов. ДТР подсказывает нам, что именно реорганизовать, – выявляет наименьшее, простейшее изменение в системе, которое даст наибольший положительный эффект. В главе 3 детально описывается ДТР, а также приводятся подробные инструкции и примеры его создания.

Диаграмма разрешения конфликтов «Грозовая туча»

Голдратт разработал диаграмму разрешения конфликтов (ДРК) (названную им «Грозовая туча») для снятия скрытых конфликтов, которые обычно лежат в основе давних «хронических» проблем (см. рис. 1.13). ДРК основывается на утверждении, что большинство настоящих проблем вызваны неким противостоянием или конфликтом, который мешает решить проблему обычным путем; в противном случае она была бы давно уже решена. ДРК может также служить «креативным двигателем», позволяющим нам генерировать новые идеи, способные обеспечить «прорыв» в решении старых наболевших вопросов.

Иллюстрация к книге — Теория ограничений Голдратта. Системный подход к непрерывному совершенствованию [_054.jpg]
Дерево Будущей Реальности

Дерево будущей реальности (ДБР) служит двум задачам (рис. 1.14): во-первых, оно позволяет удостовериться, что действие, которое мы собираемся предпринять, действительно приведет к желаемым результатам, а во-вторых, эта диаграмма дает возможность определить, какие негативные последствия может вызвать задуманное нами действие. Эти два момента очень важны и полезны: мы можем логически «протестировать» эффективность предполагаемых действий, до того как потратить на них время, силы или ресурсы. Таким образом удастся избежать ухудшения ситуации. Подтверждая эффективность новой конфигурации нашей системы, этот инструмент отвечает на вопрос «на что менять?». Диаграмма ДБР может также быть неоценимым инструментом стратегического планирования. В главе 5 дается подробное описание дерева будущей реальности, приводятся примеры и подробные инструкции по его созданию.

Иллюстрация к книге — Теория ограничений Голдратта. Системный подход к непрерывному совершенствованию [_055.jpg]
Дерево Перехода

Когда решение о направлении действий принято, дерево перехода (ДП) помогает реализовать это решение (рис. 1.15). В нем определяется, что может препятствовать нашим действиям и как лучше преодолеть эти преграды. Оно также позволяет установить последовательность действий, необходимых для достижения цели. Эта диаграмма наполовину отвечает на вопрос «как осуществить перемены?». В главе 6 дается подробное описание дерева перехода, приводятся примеры и подробные инструкции по его созданию.

Иллюстрация к книге — Теория ограничений Голдратта. Системный подход к непрерывному совершенствованию [_056.jpg]
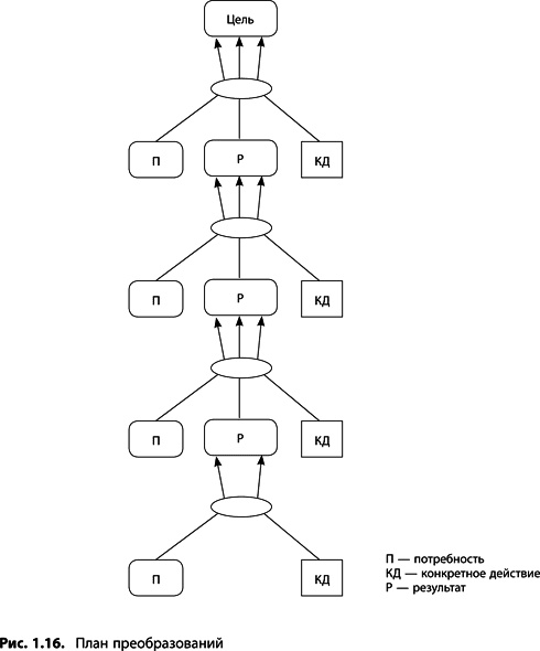
План преобразований

Последний из пяти логических инструментов – план преобразований (рис. 1.16). Эта диаграмма дает детальные пошаговые инструкции по внедрению решений и логические обоснования каждого шага. По сути, это подробная дорожная карта достижения нашей цели, дополняющая ответ на вопрос «как осуществить перемены?». В главе 7 дается подробное описание плана преобразований (ППР), приводятся примеры и подробные инструкции по его созданию.

Иллюстрация к книге — Теория ограничений Голдратта. Системный подход к непрерывному совершенствованию [_057.jpg]
Критерии проверки логических построений

Критерии проверки логических построений (КПЛП) – это «логическая связка», объединяющая все перечисленные диаграммы. По сути, это 8 логических правил, или проверочных пунктов, которые управляют созданием и изучением логических построений. Чтобы считаться логически обоснованной, диаграмма должна пройти проверку по следующим пунктам:

● ясность;

● наличие утверждения;

● наличие причинно-следственных отношений;

● достаточность приведенной причины;

● проверка наличия альтернативной причины;

● отсутствие подмены причины следствием;

● поиск проверочного следствия;

● отсутствие тавтологии.


КПЛП применяются при создании диаграмм, чтобы удостовериться – наши исходные предпосылки логичны. Мы пользуемся КПЛП для целостного восприятия выстроенной логики. С помощью КПЛП можно также проанализировать логические деревья. И, что самое важное, КПЛП помогают высказать оппонентам конструктивную критику и избежать при этом конфликтов, т. е. прийти к взаимопониманию. Глава 2 детально описывает КПЛП, содержит примеры применения и инструкции по изучению диаграмм в процессе построения и анализа. В главе 8 «Групповая динамика и метод рассуждений Голдратта» даются рекомендации по использованию КПЛП в рабочих группах для анализа логических деревьев.

Логические инструменты как единый «мыслительный процесс»

Пять логических инструментов Голдратта можно задействовать как в отдельности, так и совокупно, как строго организованный процесс логического мышления. Как вы помните, ранее мы говорили о ТОС как о методологии ведения преобразований. Ответы на три базовых управленческих вопроса о переменах, которые должен найти менеджер (что изменять, на что изменять и как осуществить перемены), могут быть получены при использовании пяти логических инструментов как единого целого. На рис. 1.17 показана взаимосвязь этих инструментов и управленческих вопросов об изменениях.

Иллюстрация к книге — Теория ограничений Голдратта. Системный подход к непрерывному совершенствованию [_058.jpg]
Вход
Поиск по сайту
Ищем:
Календарь