Онлайн книга «Управление персоналом»
|
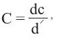
• необходимостью возмещения выбывших работников. Рассмотрим расчет общей численности персонала. Планирование потребности в персонале по производительности труда можно определить следующим образом: ![]() где С – численность работников; Nпр – объем производства (услуг, путевок и т. п.) в год, шт.; Ппр.тр – производительность труда одного работника в год. Планирование потребности в персонале по прибыли до уплаты налогов производится по следующей формуле: ![]() где П – общая сумма прибыли до уплаты налогов; П' – прибыль, приходящаяся на одного работника. Планирование потребности в персонале по добавленной стоимости ![]() где dc – размер добавленной стоимости; d' – удельный показатель добавленной стоимости на одного работника. Расчет персонала по категориям производится при планировании потребности по нормативам времени выполнения работ по формуле ![]() где Сij – численность i-й категории работников, выполняющих j-й вид работы; Tij – суммарная трудоемкость j-й работы i-й квалификации, чел.·ч; Fдij – действительный фонд рабочего времени одного работника (по балансу рабочего времени на предприятии) i-й квалификации для j-го вида работы, ч; Kвн – коэффициент выполнения норм. Расчет персонала при планировании потребности по нормам обслуживания осуществляется по формуле ![]() где Cобсл – численность обслуживающего персонала; n – число установок; Сn – число рабочих, обслуживающих одну установку в течение смены; d – количество смен в сутки; Тд – количество суток работы установки в плановом периоде; Tпол – полезный фонд времени работы одного работника, ч. Планирование потребности в персонале по трудоемкости процесса производится по формуле ![]() где Тн – время выполнения производственной программы (трудоемкость), ч; qя – коэффициент пересчета явочной численности в списочную. Для определения Tпол необходимо составить баланс рабочего времени одного работника. Рассмотрим порядок определения полезного фонда времени одного работника (табл. 6). Таблица 6 Порядок определения полезного фонда времени одного работника (пример) ![]() Коэффициент пересчета явочной численности в списочную определяется по формуле ![]() где Ря – явочное число рабочих; Рсп – списочное число рабочих. Обычно он определяется по отдельным подразделениям цеха или предприятия. Существует два подхода к определению списочного числа рабочих (исходя из различных вариантов оценки). Списочное число рабочих определяется с учетом степени использования фонда рабочего времени и явочной численности работников: Рсп = РяKсс, где Kсс – коэффициент списочного состава, определяемый по формуле ![]() где Фн – номинальный фонд рабочего времени в данном периоде (в днях); Ффакт – фактическое число рабочих дней (по планируемому балансу рабочего дня). В данном случае Ря – явочное число рабочих в сутки в планируемом периоде, определяется исходя из Ря в смену и количества смен в сутки, Ря в смену – минимальное количество рабочих, необходимое для выполнения планируемого задания по производству продукции за смену. Определяется по участкам, цехам, операциям производственного процесса. При определении Ря используются два основных подхода: а) через норму времени: ![]() б) через штучную норму выработки: ![]() где Nсм – производственное задание в смену (количество штук); Nвыр.см – норма выработки одного рабочего за смену; Kвп.пл – коэффициент выполнения норм (плановый); tшт – штучная норма выработки (минут на штуку, часов на штуку); Тсм – продолжительность смены одного работника, ч. Списочное число рабочих определяется с учетом невыходов по уважительным причинам: ![]() ΣY – общий расчетный процент планируемых невыходов на работу. Время выполнения производственной программы производится по формуле ![]() где n – количество номенклатурных позиций изделий в производственной программе; Ni – количество изделий i-й номенклатурной позиции; Тi – время выполнения процесса по изготовлению i-й номенклатурной позиции (трудоемкость); Тн. прн – время, необходимое для изменения величины незавершенного производства в соответствии с производственным циклом изделий i-й номенклатурной позиции: |
![Иллюстрация к книге — Управление персоналом [b00002822.jpg] Иллюстрация к книге — Управление персоналом [b00002822.jpg]](img/book_covers/065/65973/b00002822.jpg)
![Иллюстрация к книге — Управление персоналом [b00002826.jpg] Иллюстрация к книге — Управление персоналом [b00002826.jpg]](img/book_covers/065/65973/b00002826.jpg)
![Иллюстрация к книге — Управление персоналом [b00002830.jpg] Иллюстрация к книге — Управление персоналом [b00002830.jpg]](img/book_covers/065/65973/b00002830.jpg)
![Иллюстрация к книге — Управление персоналом [b00002834.jpg] Иллюстрация к книге — Управление персоналом [b00002834.jpg]](img/book_covers/065/65973/b00002834.jpg)
![Иллюстрация к книге — Управление персоналом [b00002840.jpg] Иллюстрация к книге — Управление персоналом [b00002840.jpg]](img/book_covers/065/65973/b00002840.jpg)
![Иллюстрация к книге — Управление персоналом [b00002845.jpg] Иллюстрация к книге — Управление персоналом [b00002845.jpg]](img/book_covers/065/65973/b00002845.jpg)
![Иллюстрация к книге — Управление персоналом [b00002852.jpg] Иллюстрация к книге — Управление персоналом [b00002852.jpg]](img/book_covers/065/65973/b00002852.jpg)
![Иллюстрация к книге — Управление персоналом [b00002854.jpg] Иллюстрация к книге — Управление персоналом [b00002854.jpg]](img/book_covers/065/65973/b00002854.jpg)
![Иллюстрация к книге — Управление персоналом [b00002862.jpg] Иллюстрация к книге — Управление персоналом [b00002862.jpg]](img/book_covers/065/65973/b00002862.jpg)
![Иллюстрация к книге — Управление персоналом [b00002867.jpg] Иллюстрация к книге — Управление персоналом [b00002867.jpg]](img/book_covers/065/65973/b00002867.jpg)
![Иллюстрация к книге — Управление персоналом [b00002869.jpg] Иллюстрация к книге — Управление персоналом [b00002869.jpg]](img/book_covers/065/65973/b00002869.jpg)
![Иллюстрация к книге — Управление персоналом [b00002876.jpg] Иллюстрация к книге — Управление персоналом [b00002876.jpg]](img/book_covers/065/65973/b00002876.jpg)
![Иллюстрация к книге — Управление персоналом [b00002881.jpg] Иллюстрация к книге — Управление персоналом [b00002881.jpg]](img/book_covers/065/65973/b00002881.jpg)