Книга Бережливый офис. Устранение потерь времени и денег, страница 35 – Дон Теппинг, Энн Данн

Авторы: А Б В Г Д Е Ж З И Й К Л М Н О П Р С Т У Ф Х Ч Ш Ы Э Ю Я
Книги: А Б В Г Д Е Ж З И Й К Л М Н О П Р С Т У Ф Х Ц Ч Ш Щ Ы Э Ю Я
Бесплатная онлайн библиотека LoveRead.in

Онлайн книга «Бережливый офис. Устранение потерь времени и денег»

📃 Cтраница 35
Иллюстрация к книге — Бережливый офис. Устранение потерь времени и денег [i_128.jpg]
3. Установите минимальное и максимальное количество принадлежностей каждого вида

Задача команды по созданию бережливого офиса – изучить потребности в канцелярских принадлежностях, оценить количество канцтоваров, которое требуется на определенный период, и определить стандартное количество принадлежностей каждого вида, которое должно быть в наличии. Эти цифры и будут минимальным и максимальным количеством канцтоваров.

Команда должна договориться о:

• типе канцелярских принадлежностей каждого вида (существуют десятки типов шариковых ручек, карандашей и т. д.; договоритесь об определенном количестве принадлежностей каждого типа);

• недельном или месячном запасе принадлежностей каждого вида;

• минимальном количестве принадлежностей;

• максимальном количестве.

Минимального количества канцелярских принадлежностей должно хватать на то время, пока пополняется запас.

При определении максимального/минимального количества канцтоваров учитывайте следующие моменты:

• Убедитесь, что предусмотрен способ заказа особых видов канцтоваров, которые не входят в стандартный список.

• Через несколько недель следует еще раз оценить требуемое минимальное/максимальное количество канцелярских товаров на случай, если в силу обстоятельств его необходимо скорректировать.

• Многие поставщики канцтоваров доставляют заказы ежедневно без взимания дополнительной платы, но при этом устанавливают минимальную сумму заказа.

4. Разработайте форму для заказа канцелярских принадлежностей

Составив стандартный список канцтоваров и определив их минимальное/максимальное количество, создайте форму для их заказа. Число принадлежностей каждого вида, которое требуется заказать, определяется как разница между их минимальным и максимальным количеством. Форма для заказа заполняется на основе карточек канбан, которые будут созданы на следующем (пятом) этапе. Ниже приводится пример такой формы:

Иллюстрация к книге — Бережливый офис. Устранение потерь времени и денег [i_129.jpg]

Форма для заказа канцелярских принадлежностей должна содержать следующую информацию:

• код товара;

• ссылку на страницу каталога или веб-адрес;

• стоимость заказа;

• номер счета;

• любую другую информацию, необходимую для заказа.

Заказ можно отправлять офис-менеджеру в виде электронного письма или напрямую оформлять заказ в интернет-магазине поставщика.

5. Создайте карточки канбан

Одна карточка канбан предназначена для повторного заказа канцелярских принадлежностей определенного вида. Каждую карточку следует заламинировать и присвоить ей цветовой код. Кроме того, карточки должны различаться по цвету в зависимости от места, где будут заказываться канцелярские принадлежности (возможно, потребуется разграничить внутренних и внешних поставщиков: Staples, Office Depot, корпоративный склад и т. д.).

Карточка должна быть такого размера, чтобы на ней помещалась вся необходимая информация, а именно:

• наименование канцелярских принадлежностей;

• минимальное количество;

• максимальное количество;

• заказываемое количество (максимальное количество минус минимальное количество);

• имя поставщика;

• код товара;

• номер страницы каталога;

• инструкции по использованию карточки канбан.

Ниже приводится пример карточки канбан для канцелярских принадлежностей:

Иллюстрация к книге — Бережливый офис. Устранение потерь времени и денег [i_130.jpg]

Все карточки канбан следует помещать в специальный контейнер, расположенный рядом со шкафчиком для принадлежностей. Не забудьте его как-нибудь пометить.

Иллюстрация к книге — Бережливый офис. Устранение потерь времени и денег [i_131.jpg]

Карточку канбан следует прикрепить таким образом, чтобы при уменьшении запасов определенного вида до минимального уровня ее сразу же становилось видно. Это будет сигналом к обновлению запасов до максимального необходимого уровня.

Создайте специальную карточку канбан для заказа канцелярских принадлежностей, не вошедших в стандартный список.

Иллюстрация к книге — Бережливый офис. Устранение потерь времени и денег [i_132.jpg]
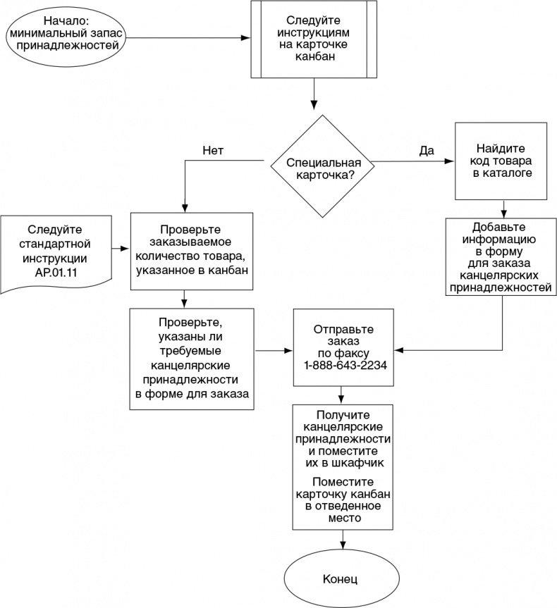
6. Разработайте схему процесса

После того как команда завершит первые пять этапов, процесс необходимо документировать, стандартизировать и поместить его схему в отдельную папку (см. главу 8 «Создание системы документооборота»). Назначьте одного человека ответственным за всю систему обеспечения канцелярскими принадлежностями.

Существует множество способов документировать процесс. В большинстве случаев достаточно создать простую блок-схему. Также можно использовать карту стандартизированной работы (см. главу 8 «Создание системы документооборота»).

Иллюстрация к книге — Бережливый офис. Устранение потерь времени и денег [i_133.jpg]
7. Проведите тренинг

Перед тем как внедрить созданную на первых шести этапах систему заказа канцелярских принадлежностей, проведите тренинг для сотрудников офиса.

На тренинге обязательно сделайте следующее:

• кратко объясните цель канбан (зачем нужны карточки, каковы их особенности, как их можно использовать для заказа канцелярских принадлежностей и т. д.);

• объясните, как вы определили минимальное и максимальное количество канцелярских принадлежностей, и поблагодарите всех за участие в исследовании потребностей офиса в канцтоварах;

• объясните, как будет работать новая система заказа канцелярских принадлежностей (раздайте схемы процесса или карты стандартизированной работы);

• расскажите о двух типах карточек канбан – стандартной и специальной;

• подойдя к шкафчику с канцелярскими принадлежностями, покажите, как будет работать новая система;

Вход
Поиск по сайту
Ищем:
Календарь