Онлайн книга «Купить ресторан. Продать ресторан. От создания к продаже»
|
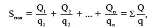
8. Вход в предприятие должен обеспечивать одновременное движение двух встречных потоков потребителей на вход и на выход. В предприятиях с количеством мест в залах более 50 должны быть предусмотрены отдельные входы и лестницы для потребителей и персонала. 9. Предприятие должно иметь вывеску с указанием его типа, класса, форм организации его деятельности, фирменного названия, юридического лица, информацию о режиме работы, об оказываемых услугах. 10. Размещение производственных помещений и оборудования в них должно обеспечивать последовательность проведения технологического процесса производства и реализации продукции, а также соблюдение технологических, санитарных норм и правил. Состав помещений предприятий общественного питания. Помещения предприятий общественного питания в зависимости от их функционального назначения разделяют на следующие группы: • помещения для потребителей – вестибюль (включая гардероб, умывальные и туалетные комнаты), залы с раздаточными (в ресторанах и др. предприятиях, где предусмотрено обслуживание официантами, – без раздаточных), буфет, магазин кулинарии, помещение для официантов; • производственные помещения – горячий и холодный цехи, заготовочные цехи (мясной, рыбный, овощной), доготовочный цех (доготовки полуфабрикатов), кабинет заведующего производством, кондитерский цех, цех мучных изделий, моечные столовой и кухонной посуды, моечная и кладовая тары полуфабрикатов, сервизная, а также буфет и раздаточная в предприятиях с обслуживанием официантами; • помещения для приема и хранения продуктов – охлаждаемые камеры для хранения мяса, рыбы, молочных продуктов, жиров и гастрономии, напитков, полуфабрикатов, а также пищевых отходов, неохлаждаемые кладовые для хранения сухих продуктов, кладовая и моечная тары, помещение кладовщика, кладовая инвентаря, приемочная продуктов; • служебные и бытовые помещения – кабинет директора, контора, главная касса, комната персонала, помещения общественных организаций, комната заведующего хозяйством, гардероб для персонала и официантов, душевые, уборные и бельевая; • технические помещения – электрощитовая, вентиляционная камера, тепловой узел или котельная, бойлерная, помещение для установки холодильных машин и кондиционеров. Состав помещений и их площадь зависят главным образом от типа и вместимости предприятия, а также характера производства (на сырье или полуфабрикатах работает предприятие). Для предприятий, работающих на сырье, за счет увеличения площади охлаждаемых камер, наличия заготовочных цехов, кладовой овощей увеличивается площадь производственных помещений и помещений для приема и хранения продуктов. Определение площади помещений. Площадь предприятий общественного питания в зависимости от характера производственных помещений определяют: • по нагрузке на 1 кв. м грузовой площади (кладовые для хранения сырья и полуфабрикатов); • по установленному в данном помещении оборудованию (производственные цехи кладовые); • по нормативам площади в зависимости от количества мест в зале (помещения для потребителей). Во всех случаях расчетная общая площадь корректируется и уточняется методом компоновки. При этом отклонение компоновочной площади от расчетной не должно превышать 5 %. При определении площади помещений по нагрузкам или установленному оборудованию вначале рассчитывают полезную площадь. В первом случае полезная площадь: ![]() где Q – количество продуктов определенного вида, подлежащее хранению в кладовой, кг; q – нагрузка данного продукта на 1 кв. м грузовой площади, кг. Во втором случае полезную площадь рассчитывают как сумму площадей, занимаемых установленным в данном помещении оборудованием: ![]() где р – количество единиц оборудования одного вида (типа); S – площадь, занимаемая единицей оборудования этого вида, кв. м. На основании полезной площади определяют ориентировочную общую площадь: ![]() где ? – коэффициент использования площади помещения. Значения ? принимаются следующие. Складские помещения: Охлаждаемая камера хранения продуктов: молочно-жировых – 0,5 гастрономических – 0,5 фруктов, зелени и напитков – 0,4 полуфабрикатов – 0,4 Кладовая: сухих продуктов – 0,4 Производственные цехи: Холодной доготовки п/ф – 0,4 Кондитерский – 0,28 – 0,3 Кулинарный – 0,28 – 0,3 Горячий – 0,3 – 0,35 Холодный – 0,35 – 04 Моечные Столовой посуды – 0,35 – 0,4 Кухонной посуды – 0,4 Общую площадь зала рассчитывают на основании норм площади на место: S o = pW, где р – количество мест в зале; W – норма площади на место, кв. м. Для предприятий, работающих с самообслуживанием, в норму площади зала включена площадь, отводимая на раздаточную (при обслуживании официантами для раздаточных выделяют от дельное помещение). Схема расположения помещений кафе представлена на рис. 1. Рис. 1. Расположение помещений в кафе ![]() Глава 5
ВЫБОР КОНЦЕПЦИИ РЕСТОРАНА И ЕГО НАЗВАНИЯ По сравнению с другими видами услуг ресторанный бизнес действительно дает возможность создания некоего театра, единственного в своем роде места действия. Такая уникальность не предполагается ни в ритейле, ни в индустрии красоты, ни в другом бизнесе, основанном на сервисе, – стандарты ведут к определенному однообразию. Олег Бардеев, известный московский ресторатор, управляющий партнер сети ресторанов «Старлайт Дайнер», так описывает уникальность этой сферы: «За свою коммерческую практику я занимался и торговлей, и производством. Ресторанный бизнес объединяет в себе и производство, и торговлю, и сервисные услуги. И, как говорят мои американские партнеры, “если ты проработал лет пять в ресторанном бизнесе, ты можешь начинать развивать любое из этих направлений”» [5]. |
![Иллюстрация к книге — Купить ресторан. Продать ресторан. От создания к продаже [i_002.jpg] Иллюстрация к книге — Купить ресторан. Продать ресторан. От создания к продаже [i_002.jpg]](img/book_covers/065/65961/i_002.jpg)
![Иллюстрация к книге — Купить ресторан. Продать ресторан. От создания к продаже [i_003.jpg] Иллюстрация к книге — Купить ресторан. Продать ресторан. От создания к продаже [i_003.jpg]](img/book_covers/065/65961/i_003.jpg)
![Иллюстрация к книге — Купить ресторан. Продать ресторан. От создания к продаже [i_004.jpg] Иллюстрация к книге — Купить ресторан. Продать ресторан. От создания к продаже [i_004.jpg]](img/book_covers/065/65961/i_004.jpg)
![Иллюстрация к книге — Купить ресторан. Продать ресторан. От создания к продаже [i_005.jpg] Иллюстрация к книге — Купить ресторан. Продать ресторан. От создания к продаже [i_005.jpg]](img/book_covers/065/65961/i_005.jpg)