Книга Кто сказал, что слоны не могут танцевать? Жесткие реформы для выживания компании, страница 80 – Луис Герстнер

Авторы: А Б В Г Д Е Ж З И Й К Л М Н О П Р С Т У Ф Х Ч Ш Ы Э Ю Я
Книги: А Б В Г Д Е Ж З И Й К Л М Н О П Р С Т У Ф Х Ц Ч Ш Щ Ы Э Ю Я
Бесплатная онлайн библиотека LoveRead.in

Онлайн книга «Кто сказал, что слоны не могут танцевать? Жесткие реформы для выживания компании»

📃 Cтраница 80

Удастся ли правительствам договориться о приемлемых политических рамках для этого глобального, политически и культурно связанного мира? Политика Европейского союза в отношении неприкосновенности личности отличается от политики США и совершенно не совпадает с подходом Китая.

Теперь давайте перейдем от этого уровня глобального управления к вопросу о том, как человек сможет выражать в этом мире свои политические пристрастия. Не так давно мысль о том, чтобы купить книгу, не выходя из своего дома или офиса, считалась революционной. Так что же произойдет, если настанет день, когда мы сможем голосовать, сидя в своей уютной комнате или удобном кабинете? Оставим в стороне то, как это может повлиять на рост участия граждан в государственном управлении. Почему бы не представить себе глобальные референдумы, на которых население земного шара голосует так, как находит нужным, невзирая на существование политических объединений и государственных альянсов? Что для отдельного правительства будет означать выражение мировой общественностью своего мнения по таким вопросам, как глобальное потепление или выработка соглашения, вроде Генерального соглашения по тарифам и торговле?

Думаю, что очень скоро возникнут (если уже не возникли) серьезные противоречия между тем, что мы называем государственными и глобальными интересами. Таким образом, мы окажемся в ситуации, когда для достижения согласия потребуется международная кооперация и глобальная государственная политика нового уровня. Но как это сделать?

Скажу еще раз, что наши организации отстают от технологического прогресса. Некоторые университеты уже включили е-бизнес в число предметов, изучаемых на курсах бизнес-менеджмента. А как насчет школ политических наук, этики или юриспруденции? Конгресс США является одной из самых влиятельных законодательных организаций на планете. К его чести, в нем существует несколько комитетов и рабочих групп, занимающихся исследованием таких вопросов, как кибербезопасность, контроль за экспортом и право на интеллектуальную собственность. Но в основном ощущается недостаток понимания того, что необходимо для разработки действенной политики в такой области, как налоговый режим для е-коммерции.

Во второй половине XX века государства мира создали международные многопрофильные организации, призванные ускорять экономический рост, повышать уровень жизни и предотвращать вооруженные конфликты. Примерами тому являются Организация Объединенных Наций, Организация экономического сотрудничества и развития, Международный валютный фонд и Всемирный банк. В 1998 г. я выступал в Организации экономического сотрудничества и развития. В основном я сосредоточился на следующих вопросах: что могут сделать эти организации для решения проблем, возникающих в век информации? Какие глобальные организации будут играть роль стабилизатора в XXI веке?

Я прихожу к мысли о том, что эти требования необходимо учитывать при определении качеств, которыми должны обладать новые лидеры. В физическом мире никогда не исчезнет потребность в успешных лидерах. Сеть изменит многое, но не все. Страсть, уверенность и ум будут важны всегда. И, как я уже говорил при обсуждении текущего кризиса, как никогда будет важна честность в бизнесе.

Тем не менее я считаю, что те, кому не приходится иметь дело с технологиями, редко пытаются понять их возможности или недостатки. В атомный век это, возможно, было нормально. Но в эпоху повсеместного проникновения в жизнь технологий, с которыми мы столкнулись сегодня, нам нужны такие лидеры в правительствах, компаниях и законодательных органах, которые готовы всю жизнь учиться, чтобы достичь гармонии науки и общества.

Следующее поколение лидеров – в государственном и частном секторе – должно будет лучше разбираться в экономических, политических и социальных вопросах. Эти лидеры будут:

• гораздо лучше справляться с непрерывными изменениями, возникающими под действием технологий;

• более широко смотреть на вещи и соответственно вести дела;

• гораздо эффективнее добиваться баланса между стремлением сохранить национальную культуру и возможностями глобального сотрудничества;

• гораздо лучше понимать тот факт, что мир движется к модели, при которой условием существования каждого предприятия «по умолчанию» будет открытость и интеграция, а не изолированность.


Как человек, десять лет посвятивший индустрии высоких технологий, я могу с уверенностью сказать, что эти технологии превосходны. Но никогда не думайте, что технологии дадут вам ответы на все вопросы. Это не волшебное решение сложных и важных проблем, во все времена встававших перед человечеством, таких как предрассудки, бедность, нетерпимость и страх. Такие проблемы могут решить только те, кто обладает доброй волей и самостоятельностью, кто способен выбирать и принимать решения, думать и находить объяснение, кто в состоянии использовать имеющиеся инструменты для извлечения максимальной пользы для максимального числа людей.

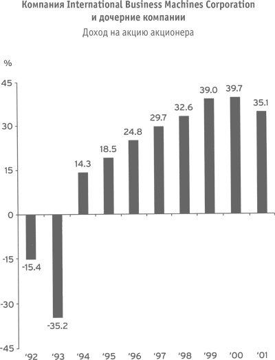
Приложение С
Финансовые результаты преобразования IBM

Графики, приведенные в этом приложении, демонстрируют финансовые результаты компании IBM за 1992–2001 гг.

Иллюстрация к книге — Кто сказал, что слоны не могут танцевать? Жесткие реформы для выживания компании [i_007.jpg]
Иллюстрация к книге — Кто сказал, что слоны не могут танцевать? Жесткие реформы для выживания компании [i_008.jpg]
Иллюстрация к книге — Кто сказал, что слоны не могут танцевать? Жесткие реформы для выживания компании [i_009.jpg]
Иллюстрация к книге — Кто сказал, что слоны не могут танцевать? Жесткие реформы для выживания компании [i_010.jpg]
Иллюстрация к книге — Кто сказал, что слоны не могут танцевать? Жесткие реформы для выживания компании [i_011.jpg]
Иллюстрация к книге — Кто сказал, что слоны не могут танцевать? Жесткие реформы для выживания компании [i_012.jpg]
Иллюстрация к книге — Кто сказал, что слоны не могут танцевать? Жесткие реформы для выживания компании [i_013.jpg]
Иллюстрация к книге — Кто сказал, что слоны не могут танцевать? Жесткие реформы для выживания компании [i_014.jpg]
Вход
Поиск по сайту
Ищем:
Календарь