Онлайн книга «Судьба педераста или непридуманные истории из жизни…»
|
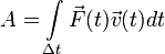
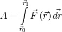
На большом листе ватмана чертится «шахматка», куда и вписывается карандашом расписание занятий. Так везде, но у военных было правило: не использовать карандаши и не согласовывать с профессорско-преподавательским составом часы занятий. На службу все должны были приходить ежедневно, в одно и тоже время, … Армия! Николай Михайлович с трепетом наблюдал за художествами майора Трещёткина, который аккуратно вписывал должности, звания, фамилии, преподавателей и после заполнения очередной клеточки шел на перекур. За один рабочий день удавалось заполнить 40-45 клеточек. И если бы не другие важные задания от начальства, то всё расписание можно было бы готовить за две-три недели. Однако то и дело звонил телефон, постоянно кто-то приходил и что-то спрашивал, чего-то хотел… Одним словом, не давали работать. Николай Михайлович, когда стал самостоятельно заниматься расписанием, усовершенствовал практически все стадии процесса. Во-первых, он не курил. Во-вторых, к нему мало заходили, т. к. ни на один вопрос он не мог ответить, а если что-то и говорил, то понять его мог далеко не каждый. – Коля, здорово! Всё рисуешь? – с лучезарной улыбкой поинтересовался темноволосый, маленького роста крепышок-боровичок майор Сёмин. – Чего? – удивился Лобов, продолжая заполнение клеточек в расписании. – Слушай, братишка, посмотри, пожалуйста, сколько пар у меня будет в следующем месяце? – миролюбиво спросил Сёмин у Лобова, корпевшего над расписанием. – Подожди. Я, это самое, значит, пока занят. Видишь, вот… – А ты что, ещё не сделал расписание? – Да нет, я расписание-то сделал, но, это самое, значит, это, понимаешь, не всё так просто?! – Николай оторвал взгляд от клеточки, над которой он трудился последние 20 минут, посмотрел на Сёмина, и, многозначительно подняв правую бровь, слегка кивнул. – А что здесь сложного? – недоумевал майор. – А вот ты сам, значит, возьми и подумай! – Лобов продолжал писать. – Слушай, если ты занят, то дай я сам посмотрю, а то у нас на факультете ещё не висит, – и Сёмин попытался подойти к расписанию, но Лобов преградил ему путь левой рукой. – Ты что? – с раздражением быстро выпалил Лобов. – А что? – недоумевал майор, – я только посмотрю! – Я сказал нет!? Значит, это самое, значит, нет! – Пидарас вонючий! – прошипел Сёмин и пулей вылетел из кабинета, хлопнув дверью с такой силой, что окна чуть не вылетели. Николай нисколько не смутился, т. к. Сёмин был не первый! Оказывается, все, кто называл или думал о Лобове так плохо, волей неволей становились его врагами. А друзей-то по-прежнему как не было, так и не было… А тем временем за окном проходили занятия на плацу. Принципиальной разницы между обычной войсковой частью и училищем нет, не было и в ближайшее время вряд ли будет. Военные везде военные. Задания для бойцов, а курсанты – те же бойцы, только с перспективой стать кадровыми военными, всегда конкретны и просты, без какой бы то ни было инициативы и многовариантности. Инициатива в армии всегда наказуема. Основной девиз – мне не нужна твоя работа, главное – чтобы ты измучался. Свободного времени у солдата или курсанта должно быть ровно столько, чтобы на мыслительные процессы его не оставалось. Сомневаюсь, что при рытье траншеи или при чистке картошки в наряде солдат думал о музыке, поэзии или просто вспоминал классиков литературы. – Взвод! Стой, раз, два. И все мигом остановились, замерли. – Взвод, нале-во! – громко и четко выкрикивал команды молодой старший лейтенант, который ещё совсем недавно также как и его подопечные вышагивал по плацу, мечтая об офицерстве… Лобов то и дело подходил к окну и подолгу любовался занятиями на плацу. Мысленно он представлял себя генералом, а взвод трансформировался в целое училище… Нет, даже в армию… Команды были простыми, но люди повиновались быстро и это всё возбуждало. Интересно, обычные люди мечтают о денежной и интересной работе, о семье, машине, о бабах неписаной красоты… А военные мечтают о звёздочках, медальках, об отпусках и о бабах, точнее – офицерских женах, т. к. какая нормальная женщина разве захочет связать судьбу с человеком, у которого первые 30 лет службы не будет ни нормальной зарплаты, ни квартиры, ни профессии?! Сегодня здесь, завтра там. То общага, то съемная квартира, то вообще палатка в поле… Кстати, среди офицерских жен достаточно много симпатичных, если не сказать более – красивых женщин. И это факт! Почему? Ответ прост, красота и ум у женщин плохо сочетаются. А на страхолюдинах часто могут жениться лишь военные, т. к. им самим-то кому-либо понравиться – дело сложное и бесперспективное. Установлено, что многие профессии ориентированы на людей, мягко говоря, среднего или даже ниже среднего интеллекта, скромных физических данных и т. д. Нет, речь не об убогих, вовсе нет. Речь о военных, о милиционерах, о тех, кто не хочет много трудиться и не может работать головой. О тех, кто привык только брать от государства… Нет, безусловно, есть и исключения, но, зараза, их так мало, и они, бл…, изгои в серой среде. Серая масса их чморит и отвергает как инородное тело. А разве у военных много выходных? А разве военные мало работают? А знаете ли вы, что такое работа? Работа – это процесс, требующий приложения умственных или физических усилий, который целью своей ставит получение определенного результата. Именно работа, как правило, определяет социальный статус человека, и является, по сути, главным двигателем прогресса в обществе. Работа, как явление, присуще только живым организмам и, прежде всего – человеку! А что такое механическая работа? Монотонная работа? Механическая работа – это физическая величина, являющаяся количественной характеристикой действия силы F на процесс γ(t), зависящая от численной величины, направления силы и от перемещения точки её приложения. При прямолинейном движении и постоянном значении силы работа равна произведению величины проекции вектора силы на направление движения и величины пройденного пути: ![]() При этом действующая сила F и вектор скорости v за всё время наблюдения Δt должны быть постоянны, в противном случае она вычисляется как интеграл: ![]() Если же существует зависимость силы от координаты (например, в случае с работой кулоновского поля), интеграл определяется следующим образом: ![]() |
![Иллюстрация к книге — Судьба педераста или непридуманные истории из жизни… [i_003.jpg] Иллюстрация к книге — Судьба педераста или непридуманные истории из жизни… [i_003.jpg]](img/book_covers/064/64746/i_003.jpg)
![Иллюстрация к книге — Судьба педераста или непридуманные истории из жизни… [i_004.jpg] Иллюстрация к книге — Судьба педераста или непридуманные истории из жизни… [i_004.jpg]](img/book_covers/064/64746/i_004.jpg)
![Иллюстрация к книге — Судьба педераста или непридуманные истории из жизни… [i_005.jpg] Иллюстрация к книге — Судьба педераста или непридуманные истории из жизни… [i_005.jpg]](img/book_covers/064/64746/i_005.jpg)