Книга Таро здоровья и благополучия, страница 9 – Вера Склярова

Авторы: А Б В Г Д Е Ж З И Й К Л М Н О П Р С Т У Ф Х Ч Ш Ы Э Ю Я
Книги: А Б В Г Д Е Ж З И Й К Л М Н О П Р С Т У Ф Х Ц Ч Ш Щ Ы Э Ю Я
Бесплатная онлайн библиотека LoveRead.in

Онлайн книга «Таро здоровья и благополучия»

📃 Cтраница 9

Расклад завершен.

Расклад «Тетраксис», или «Карьера»

Ключевое слово – РОСТ.

Расклад «Тетраксис» прорицает вопросы продвижения по социальной лестнице. Это могут быть вопросы повышения в звании, должности, получения научного звания. Расклад вообще символизирует то место, которое занимает в настоящем или будет занимать в будущем человек, и прорицает, какое влияние на этот вопрос имеют основные вселенские вибрации – богиня Фемида, богиня Фортуна, роковые обстоятельства, обстоятельства форс-мажорного плана и непредсказуемые перемены в судьбе.

Тетраксис – это фигура, перед которой все преклонялись, является простой иллюстрацией того, что 1 + 2 + 3 + 4 = 10. Последователи пифагорейской школы считали, что первые четыре числа – основа «всего», «Вечный источник Природы». Вероятнее всего, именно Пифагор открыл, что известные в его время музыкальные интервалы – октава, квинта, кварта – могут быть выражены в соотношениях 1, 2, 3, 4. Упорядоченный музыкальный принцип заставил пифагорейцев внести порядок в счет, в математику. Согласно Аристотелю, они придерживались определенного взгляда на мироздание в целом: такой-то, например, набор цифр означает справедливость, такой-то – душу, рассудок, следовательно, все вообще можно выражать через числа.

Расклад вообще символизирует то место, которое занимает в настоящем или будет занимать в будущем человек, и прорицает, какое влияние на этот вопрос имеют основные вселенские вибрации.

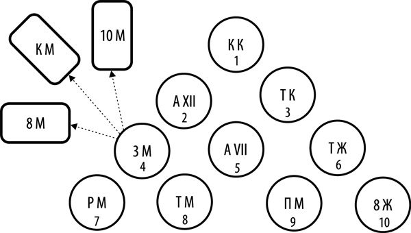
Схема тетраксиса представлена на рис. 17.

Мы имеем в данной фигуре четыре ряда цифр, причем трактовку рядов проводим с учетом точки зрения на числа пифагорейцев. Например, ПЕРВЫЙ РЯД состоит из одной цифры, что говорит о верховной иерархии, возвышенном положении человека относительно других людей, то есть о его статусе начальника. ЕДИНИЦА, по мнению пифагорейцев, – это активность, целеустремленность, властность, руководящее начало, инициативность в высших проявлениях. ДВА – число, противоположное единице: пассивность, восприимчивость, слабость, сочувствие, сострадание, а в карьере означает среднее звено (советчики, менеджеры средней руки, дипломаты местного уровня, начальники средних ячеек и подразделений). ТРИ – прекрасное число, нечетное, мужское, созидательное, олицетворяет ТРОИЦУ как таковую – это яркость, веселость, удача, легкий успех. ЧЕТЫРЕ – трудолюбие, скука, исполнительность; четвертую ступень вообще занимают младшие чины, исполнители.

Схема расклада включает перечисленные ступени.


Методика и техника расклада

Расклад проводится для прогнозирования продвижения по службе, определения статуса, положения человека в его карьере. Он покажет реальные перспективы роста или торможения роста на определенный, установленный Клиентом, период времени, например год. Старшему лейтенанту – повысят его до майора или опять обойдут? Контр-адмиралу – станет он вице-адмиралом или, наоборот, его снимут с должности. И так далее.

Расклад проводится ДЕСЯТЬЮ АРКАНАМИ любого достоинства, по всем четырем вариантам.

Карта-бланка обязательно выбирается из Младших Арканов и вынимается первой. Затем вынимаются еще ДЕВЯТЬ АРКАНОВ выбранного качества, смешиваются с картой-бланкой, даются на «подснятие» Клиенту и раскладываются по схеме. От положения карты-бланки и строится прогноз.

Я проведу расклад для молодого лейтенанта, для которого пришла прорицать его молоденькая жена: как он будет продвигаться по лестнице военных отличий? Расклад проводится смешанной колодой.


Пример расклада «Тетраксис»

Карта-бланка лейтенанта – Паж Мечей. Она вынимается из колоды и укладывается на стол, после чего из смешанной колоды (вариант три) вынимаются наудачу еще ДЕВЯТЬ АРКАНОВ, вся группа перемешивается, дается «подснять» жене лейтенанта, затем Арканы раскладываются согласно схеме на рис. 17.

Окончательный вид расклада представлен на рис. 18.

Расклад читается сразу, как книга.

Глядя на полученную картину расклада, можно сказать следующее. Молодой лейтенант через 8 месяцев с момента прорицания будет принимать участие в военных действиях, получит серьезное ранение, его повысят в звании на одну ступень и переведут работать в другую часть, где он не придется ко двору, ибо жизнь выдвигает перед ним три проблемы (3М), а нам уже известно, что в случае выпадения данного МА можно дополнительно вытащить еще три, что мы и делаем, чтобы узнать уровень жизненных проблем на новом месте службы теперь уже старшего лейтенанта. Это: 10М, 8М, КМ – напряженный триптих, повествующий о том, что этот человек не поладит с местным военным руководством, обостряя отношения все больше и больше. Дальше он начнет пить и через три года после начала службы будет переведен в интендантские войска. Летать он не будет.

Ответ на вопрос жены лейтенанта: да, ее молодой муж получит повышение, но будет ранен, это повлияет на его психику и здоровье в целом и поставит под сомнение его пригодность в профессиональном плане. Похоже, карьера его остановится на звании старший лейтенант. Но жизнь меняется, и мы меняемся вместе с нею, поэтому в дальнейшем расклад следует повторить.

Расклад завершен.

Иллюстрация к книге — Таро здоровья и благополучия [_54.jpg]

Рис. 17. Схема расклада «Тетраксис», фигура пифагорейцев, Великий Тетраксис

Иллюстрация к книге — Таро здоровья и благополучия [_55.jpg]

Рис. 18. Пример расклада «Тетраксис» для молоденького лейтенанта, выпускника летного училища. Вариант 3

Расклад «Квадрат Юпитера»

Ключевое слово – ВЕРХОВНОЕ ВЛИЯНИЕ.

Юпитер назван так в честь владыки богов и людей. Он определяет способность человека быть лидером, отцом, главой. Дает способности к широте мышления, устраняет хаос, обеспечивает рост злаков. По положению планеты на орбите даже устанавливают курсы валют на биржах. Юпитер также управляет здоровьем, на многих рецептах до сих пор встречается его символ. Для привлечения влияния Юпитера используются кольца и другие украшения из оправленных в олово сапфиров, аметиста, сердолика различных оттенков. Для определения отношения Юпитера, который называется Дарителем и отвечает за приобретение богатства, положения, дружеских связей, здоровья и иных даров, используется расклад «Квадрат Юпитера».


Методика и техника расклада

Юпитер находится в четвертой СЕФИРЕ, поэтому его квадрат имеет четыре ряда по четыре числа в каждом.

Вид квадрата, используемого для расклада, показан на рис. 19.

Иллюстрация к книге — Таро здоровья и благополучия [_59.jpg]

Рис. 19. Схема расклада «Магический квадрат Юпитера»

Вход
Поиск по сайту
Ищем:
Календарь