Онлайн книга «Таро здоровья и благополучия»
|
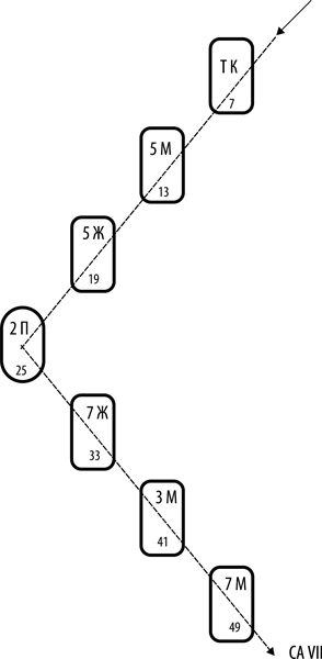
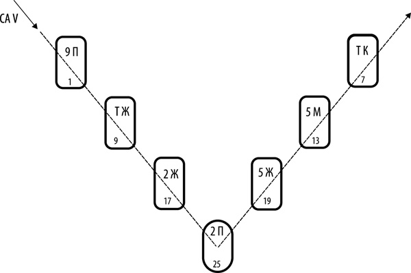
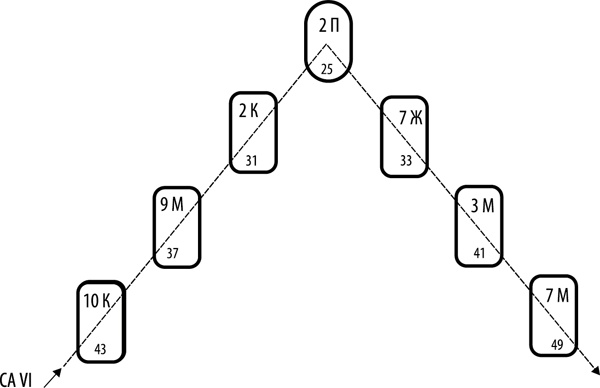
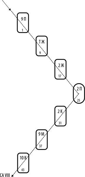
ЭТАП 3 КРУГ ТРЕТИЙ Тасуем колоду МА, даем «подснять» Клиенту и выкладываем МА, семь рядов по семь Арканов в каждом, получая картину КРУГА ТРИ согласно рис. 38. ![]() Рис. 37. Схема Круга 2 расклада «Пифагор». Нумерологический расчет семи вертикальных векторов Здесь по окончании анализа и подсчетов мы должны получить для Клиента значения еще восьми СА, всего их, учитывая 14 СА КРУГОВ 1-го и 2-го, будет как раз 22, ровно столько, сколько СА в колоде. Далее поступаем так. СА 1-й мы получаем подсчетом числового корня суммарных МА, находящихся на «левой диагонали» нашего квадрата, а именно: МА в поз. 1, 9, 17, 25, 33, 41, 49 (рис. 41а). СА 2-й мы получаем подсчетом числовых значений Арканов, находящихся на «правой диагонали» нашего квадрата Пифагора, а именно: МА в поз. 7, 13, 19, 25, 31, 37, 43 (рис. 41а). СА 3-й мы получаем сложением числовых значений МА, находящихся на центральной вертикали квадрата, а именно: МА в поз. 4, 11, 18, 25, 32, 39, 46 (рис. 41а). СА 4-й мы получаем сложением числовых значений МА, находящихся на центральной горизонтали квадрата, а именно: МА в поз. 22, 23, 24, 25, 26, 27, 28 (рис. 41а). СА 5-й мы получаем подсчетом числовых значений МА, находящихся в верхнем секторе квадрата, а именно: МА в поз. 1, 9, 17, 25, 19, 13, 7 (рис. 38а). СА 6-й мы находим сложением числовых значений МА, находящихся в нижнем секторе квадрата, а именно: МА в поз. 43, 37, 31, 25, 33, 41, 49 (рис. 38б). СА 7-й мы находим путем сложения числовых значений МА, находящихся в ПРАВОМ секторе квадрата, а именно: МА в поз. 7, 13, 19, 25, 33, 41, 49 (рис. 38 г). СА 8-й мы находим путем сложения числовых значений МА ЛЕВОГО СЕКТОРА КВАДРАТА, а именно: МА в поз. 1, 9, 17, 25, 31, 37, 43 (рис 38в). По окончании этапа 3, КРУГА ТРЕТЬЕГО, мы имеем еще восемь СА Таро, соответствующих найденным числовым суммам МА. Следует иметь в виду, что нумерологические аспекты ПАЖЕЙ = 11, РЫЦАРЕЙ = 12, КОРОЛЕВ (или ДАМ) = 13, КОРОЛЕЙ = 14. ОЧКОВЫЕ, или ЧИСЛОВЫЕ, карты имеют свои номера, то есть ДВОЙКА = 2, ТУЗ = 1 и т. д. ![]() Рис. 38. Схема Круга 3 расклада «Пифагор». Нумерологический расчет I, II, III, IV векторных величин и номеров СА ![]() Рис. 38, а. Круг 3 расклада. Нумерологический расчет V векторной величины ![]() Рис. 38, б. Круг 3 расклада. Нумерологический расчет VI векторной величины ![]() Рис. 38, в. Круг 3 расклада «Пифагор». Нумерологический расчет VIII векторной величины СА ![]() Рис. 38, г. Круг 3 расклада «Пифагор». Нумерологический расчет VII векторной величины СА ЭТАП 4 Записываем в ряд полученные теоретически СА и проводим анализ результата. ЗАМЕЧАНИЯ: • если в рядах встречаются двойные СА, то тогда можно приводить (если таких СА еще нет) к одному корню, например: 11 = 1 + 1 = 2, а это номер СА «Верховная Жрица», 13 = 1 + 3 = 4, а это уже номер «Императора», А IV. Номер 10 могут иметь два СА – «Маг» (1) и «Колесо Счастья» (А X). Номер 22 – если он встречается в КРУГАХ дважды, то один можно отдать А IV, ибо 22 = 2 + 2 = 4; • отдельно выписать те значения номеров СА, рассчитанные в КРУГАХ 1, 2, 3, которые имеют тенденцию повторяться несколько раз, а также те, которых нет вовсе, ведь мы по окончании этапов 1, 2, 3 записываем все СА в ряд по порядку, по этапам, один за другим, в этом-то и заключается своеобразный «подбор» порядка, определения ПУТИ КЛИЕНТА в мироздании методом, который применяется в данном раскладе; • стараться равномерно распределять СА по ряду, учитывая вышесказанное, а именно: не стоит в ряду дважды повторять СА X, если нет А I, лучше одну 10 отдать Аркану «Маг», то же и с другими числами, сведенными к одному корню и повторенными дважды или трижды; • в результате мы в конце работы приходим к этапу 5. ЭТАП 5 ПРОЧТЕНИЕ ПОЛУЧЕННОГО РЯДА и анализ ПУТИ КЛИЕНТА с учетом недостающих СА, не полученных нумерологически в этапах 1, 2, 3, или сдвоенных, или строенных. Весь путь Клиента предстанет пред нами во всей своей красе и многогранности: анализ личности Клиента мы также проведем без труда (особое значение придавать МА в поз. 25, «центровому» всех КРУГОВ). Пример 1 расклада «Пифагор» Расклад «Пифагор» для молодой Дамы, символом которой выбираем Даму Кубков. Карту-бланку мы выбираем для того, чтобы узнать, если возникнет необходимость во всех трех кругах расклада, какое она занимает положение в КВАДРАТЕ, а если она не выпадет ни в одном из КРУГОВ, мы сделаем соответствующие выводы в конце расклада. А она ведь может и не выпасть, потому что «рабочих» МА в каждом КРУГЕ – 49, а всего МА, как мы помним, 56. Следует не забывать, что по окончании каждого ЭТАПА, КРУГА РАСКЛАДА, МА собираются вновь все вместе (56), тщательно перемешиваются, а уже после вновь раскладываются в КВАДРАТ того или другого КРУГА. Рекомендация Мастеру: все тщательно фиксировать в рабочую тетрадь, устный счет может повлечь ошибки, а они недопустимы. Все семь рядов этапов 1 и 2 можно трактовать как те же СЕМЬ ДОМОВ, которые мы встречали в раскладе «Нивелировка пути», причем этап 1 более апеллирует к ПРОШЛОМУ ВРЕМЕННОМУ ПЛАСТУ, этап 2 – к настоящему, а этап 3 (там Восемь векторов) апеллирует к БУДУЩЕМУ, причем ВОСЬМОЙ ДОМ – ДОМ НЕСБЫВШИХСЯ НАДЕЖД и НЕСОСТОЯВШИХСЯ ПЛАНОВ. Я все покажу на этом примере. ЭТАП 1, КРУГ ПЕРВЫЙ РАСКЛАДА «ПИФАГОР» Расклад представлен на рис. 39. Расчет нумерологических значений Старших Арканов Таро для клиентки для семи горизонтальных рядов 1-го круга. Примечание Парные карты МА в каждом РЯДУ выбрасываем из КВАДРАТА, они в расчетах не участвуют. На рис. 39 в каждом ряду они выделены, чтобы не мешать вам проверять счет на основании моих рекомендаций. |
![Иллюстрация к книге — Таро здоровья и благополучия [_122.jpg] Иллюстрация к книге — Таро здоровья и благополучия [_122.jpg]](img/book_covers/064/64202/_122.jpg)
![Иллюстрация к книге — Таро здоровья и благополучия [_124.jpg] Иллюстрация к книге — Таро здоровья и благополучия [_124.jpg]](img/book_covers/064/64202/_124.jpg)
![Иллюстрация к книге — Таро здоровья и благополучия [_1251.jpg] Иллюстрация к книге — Таро здоровья и благополучия [_1251.jpg]](img/book_covers/064/64202/_1251.jpg)
![Иллюстрация к книге — Таро здоровья и благополучия [_1252.jpg] Иллюстрация к книге — Таро здоровья и благополучия [_1252.jpg]](img/book_covers/064/64202/_1252.jpg)
![Иллюстрация к книге — Таро здоровья и благополучия [_126.jpg] Иллюстрация к книге — Таро здоровья и благополучия [_126.jpg]](img/book_covers/064/64202/_126.jpg)
![Иллюстрация к книге — Таро здоровья и благополучия [_127.jpg] Иллюстрация к книге — Таро здоровья и благополучия [_127.jpg]](img/book_covers/064/64202/_127.jpg)