Онлайн книга «Почему. Руководство по поиску причин и принятию решений»
|
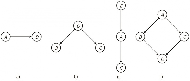
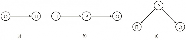
Еще один проблематичный случай – детерминизм взаимосвязей. Скажем, каждый раз, когда приходит электронное сообщение, компьютер подает сигнал, который, в свою очередь, заставляет моего пса лаять. ![]() Если вероятность лая при условии сигнала равна 1 и вероятность сигнала при условии электронного сообщения также равна 1 (так что оба события происходят, когда имеют место их причины), сигнал не приводит к независимости сообщения и лая, даже если согласно структуре это должно происходить. Представьте, что вам известно только, получено сообщение или нет. Теперь вы также знаете статус других переменных, потому что, если есть сообщение, сигнал также звучит и ведет к лаю. Вы можете некорректно заключить, что сообщение напрямую становится причиной других переменных. Эта проблема, однако, свойственна не только графическим моделям, а вообще большинству вероятностных методов. Итак, повторим. Причинность графическим моделям придают следующие допущения. • Вероятность переменной зависит только от ее причин (причинное условие Маркова). • Все общие причины измерены (достаточность). • Данные, на основе которых мы получаем знание, точно представляют реальные зависимости (верность). Есть и другие неявные допущения, обеспечивающие корректность причинно-следственных заключений (должно быть достаточно данных, переменные должны быть корректно представлены и т. д.), но три вышеназванных допущения чаще всего становятся предметом обсуждений и отражают основные различия между графами, которые представляют и не представляют причины. От данных к графу Скажем, о сотрудниках компании есть некоторые данные: о рабочих часах, отпусках, о производительности и тому подобное. Как найти сеть причинно-следственных связей между ними? [243] Один из подходов – разработать меру для описания данных моделью, найти все возможные модели и выбрать одну с лучшим результатом. Это методы поиска и оценки [244]. Допустим, в массиве данных истинно единственное отношение: «отпуск есть причина продуктивности». Значит, модель с этим ребром должна иметь балл выше, чем имеющая и другие отношения или в которой это ребро направлено в обратную сторону (от продуктивности к отпуску). То есть граф на рис. 6.5 (а) должен иметь более высокую оценку. ![]() Рис. 6.5. Если О → П, первый граф будет иметь самую высокую оценку Имея только эти три переменные, можно перечислить все возможные графы, проверить каждый и сделать выбор. Но, чтобы выбрать, нужен способ рассчитать, какой из них лучше соответствует данным. Есть много оценочных функций [245], и в итоге всегда выявляется, насколько хорошо мы описываем данные, не подстраивая граф под помехи и специфические свойства конкретного набора. Мы можем идеально учесть каждую точку в наборе данных с очень сложной структурой, но, вместо того чтобы моделировать каждый бит помех, стоит найти модель, которая охватывает более общие взаимосвязи между ее переменными. Итак, обычно имеется фактор, исключающий граф, когда тот становится слишком сложным. Однако мы не можем выбирать между всеми возможными графами. Для набора из 10 переменных существует более 1018 вероятных графов [246]. Это более чем в миллион раз превышает количество американской валюты [247]. При этом не стоит даже пытаться искать взаимосвязи между всеми акциями в индексе S&P 500 [248]. Всего при 25 переменных количество возможных графов (свыше 10110) оставляет далеко позади число атомов во Вселенной (по прикидкам, их сравнительно мало – 1080) [249]. Ни при каких обстоятельствах нельзя протестировать их все, однако на практике это и не требуется. Мы можем выборочно сгенерировать столько, сколько возможно, и выбрать лучший, хотя с учетом их количества вряд ли вероятно, что мы натолкнемся как на раз на нужный. Вместо этого для алгоритмов проще задать некоторые индикаторы важности графов. Скажем, мы тестируем первые три графа на рис. 6.6: рис. 6.6 (в) имеет высший рейтинг. Тогда наилучшая стратегия – не выборочное генерирование четвертого графа, а исследование ближних к нему. Мы можем добавить ребро, изменить его направление или удалить и посмотреть, как изменится рейтинг. Тем не менее может случиться так, что лучшим графом окажется изображенный на рис. 6.6 (г) и мы не сможем протестировать его с помощью этой стратегии, поскольку доводим до оптимума третий граф и останавливаемся еще до получения истинной структуры. Но, не тестируя каждый граф, нельзя узнать наверняка, что лучший из них попал в диапазон проверки. ![]() Рис. 6.6. При переменных А, В, С и D рисунки а – в отображают возможные графы для тестирования. На рисунке г показана истинная структура На рис. 6.7 проиллюстрирована проблема локальной оптимизации. Если ось Y – это рейтинг графа и мы тестируем только графы рядом с отмеченной точкой, можно думать, что это лучший из возможных рейтингов, потому что он самый высокий. Это называется «застрять в локальном оптимуме», потому что мы оптимизировали рейтинг в конкретной области. Но это не лучший из возможных результатов. ![]() Рис. 6.7. Иллюстрация локального оптимума Чтобы разрешить эту проблему, в алгоритмах изучения причинных структур используются «умные» методы ограничения набора графов, которые необходимо протестировать, и исследования максимально большего поискового пространства. К примеру, если нам известно, что пол – это всегда причина, но никогда не следствие, можно избежать тестирования графов, показывающих следствия. |
![Иллюстрация к книге — Почему. Руководство по поиску причин и принятию решений [i_043.jpg] Иллюстрация к книге — Почему. Руководство по поиску причин и принятию решений [i_043.jpg]](img/book_covers/064/64110/i_043.jpg)
![Иллюстрация к книге — Почему. Руководство по поиску причин и принятию решений [i_044.jpg] Иллюстрация к книге — Почему. Руководство по поиску причин и принятию решений [i_044.jpg]](img/book_covers/064/64110/i_044.jpg)
![Иллюстрация к книге — Почему. Руководство по поиску причин и принятию решений [i_045.jpg] Иллюстрация к книге — Почему. Руководство по поиску причин и принятию решений [i_045.jpg]](img/book_covers/064/64110/i_045.jpg)
![Иллюстрация к книге — Почему. Руководство по поиску причин и принятию решений [i_046.jpg] Иллюстрация к книге — Почему. Руководство по поиску причин и принятию решений [i_046.jpg]](img/book_covers/064/64110/i_046.jpg)