Книга Эмоции и чувства, страница 148 – Евгений Ильин

Авторы: А Б В Г Д Е Ж З И Й К Л М Н О П Р С Т У Ф Х Ч Ш Ы Э Ю Я
Книги: А Б В Г Д Е Ж З И Й К Л М Н О П Р С Т У Ф Х Ц Ч Ш Щ Ы Э Ю Я
Бесплатная онлайн библиотека LoveRead.in

Онлайн книга «Эмоции и чувства»

📃 Cтраница 148
Иллюстрация к книге — Эмоции и чувства [i_082.jpg]

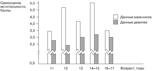
Рис. 14.3. Возрастная динамика мстительности.


Таблица 14.4. Коэффициенты корреляции между мстительностью и склонностью к агрессивному поведению.

Иллюстрация к книге — Эмоции и чувства [i_083.jpg]

Эти данные объясняют выявленный Нгуен Ки Тыонгом (2000) факт, что мстительность больше выражена у лиц, склонных к автократическому стилю руководства.

14.6. Гневливые

Некоторые люди склонны к проявлению гнева. Такие люди говорят, что их бесит, когда кто-то из партнеров долго собирается куда-то идти или не может понять, как надо что-то сделать, и т. п. В этом случае западные психологи говорят о гневе-черте, т. е. типе личности, который по-русски называется гневливым. Спилбергер с коллегами (Spielberger et. al., 1995) выявили, что гнев-черта больше выражен у мужчин, хотя по другим данным половых различий по гневливости нет (Kopper, Eppersohn, 1996). В то же время последние из названных авторов отмечают, что и мужчины, и женщины маскулинного типа обладают более высокими показателями гнева-черты.

Согласно Кринг (Kring, 2000), женщины чаще реагируют гневом на измену, снисходительность, пренебрежение, отказ, необоснованную критику, а мужчины – на плохое настроение партнерши и на ее погружение в себя. Женщины предпочитают выражать гнев по отношению к знакомым, по сравнению с незнакомыми; кроме того, они склонны преимущественно направлять свой гнев не на того, кто был поводом гнева.

14.7. Эмпатийные

Когда объектом эмоциональной восприимчивости индивида становятся переживания других людей, у него проявляется свойство [91], называемое эмпатией (от греч. pathos – сильное и глубокое чувство, близкое к страданию, с префиксом «åò», означающим направление внутрь). Эмпатия означает такое духовное единение личности, когда один человек настолько проникается переживаниями другого, что временно отождествляется с ним, как бы растворяется в нем. Эта эмоциональная особенность человека играет большую роль в общении людей, в восприятии ими друг друга, установлении взаимопонимания и теплоты отношений между ними. Эмпатия облегчает помогающее поведение (проявление альтруизма), тормозит межличностную агрессию (Feshbach, 1987; Eisenberg et al., 1989). Л. Н. Толстой считал, например, что лучший человек живет своими мыслями и чужими чувствами, а худший – своими чувствами и чужими мыслями. Посредине писатель располагал все разнообразие человеческих душ.

Выделение эмпатии в качестве особого психологического феномена было длительным, сложным, и до сего дня его понимание не совпадает у разных ученых и в разных психологических школах. Первоначально этот феномен обсуждался в рамках философии, в частности – этики и эстетики. Поэтому и обозначался он либо этическим понятием «симпатия» (Смит, 1895; Спенсер, 1876; Шопенгауэр, 1896), либо эстетическим понятием «вчувствование» (Липпс, 1907). А. Смит понимал симпатию как способность сострадать другому. Г. Спенсер определял симпатию как способность сочувствовать людям, проявлять заинтересованность в их судьбе. Он выделял два типа эмпатии: инстинктивную (эмоциональное заражение) и интеллектуальную (сочувственную). Для А. Шопенгауэра симпатия – это сострадание ко всем существам, порождаемое осознанием общности их природы и происхождения. Для него сострадание является свойством самой жизни. В процессе сострадания человек забывает о различиях между собой и другими.

Другое направление в изучении эмпатии разрабатывал Т. Липпс. Для него вчувствование – это специфический вид познания сущности предмета или объекта. Субъект осознает себя и свои переживания через содержание предмета или объекта, проецируя в него свое «Я». Вчувствование в другого человека основано на желании обнаружить в нем такие же переживания, какие есть у самого субъекта. Наблюдая мимику чужого лица, субъект инстинктивно подражает ей, что вызывает соответствующую этой мимике эмоцию. Таким образом, вчуствование происходит путем подражания (имитации экспрессии другого человека). Нельзя не заметить сильное влияние на эти взгляды Т. Липпса теории Джемса–Ланге о механизме возникновения эмоций.

З. Фрейд (1925) полагал, что соучастие в эмоциональном состоянии другого осуществляется с помощью двух механизмов – заражения и подражания.

Как механизм познания рассматривал симпатию (эмпатию) М. Шелер (Scheler, 1923). Для него симпатия – не просто разделение (соучастие) эмоций другого, а акт, направленный на познание личности другого как высшей ценности. Он выделял уровни симпатии – от низших к высшим, среди которых Einsfuhlung означало состояние слияния с объектом симпатии, идентификация с его переживанием, a Mitgefuhl – участие в переживании другого человека при сохранении независимости собственных переживаний.

В работах психологов конца XIX века симпатия рассматривается как свойство животных и человека и как первичная эмоция. По Т. Рибо (1897), на низшем психофизиологическом уровне развития эмпатия выступает как синергия (подражание двигательным стремлениям), а на более высоком – как синестезия, т. е. согласованность чувствований, переживаний, вызывающих сходные поступки. Правда, он отмечает, что в ряде случаев люди стремятся избавить себя от сопереживания страданиям другого человека. На высшем интеллектуальном уровне симпатии возникает согласованность чувств и поступков, основанных на единстве представлений и темперамента с объектом симпатии.

B. Штерн (1922) тоже считал симпатию первичной эмоцией, на основе которой развиваются социальные чувства. Он разделяет «чувства к другим» (нежность, любовь) и «чувства с другими» (сострадание, сорадость). Первые служат предпосылкой возникновения вторых. Любовь к близким ведет через подражание и обучение к формированию способности реагировать на страдания других людей, к развитию альтруистического поведения.

Американский психолог У. Макдауголл (1889) выдвинул теорию происхождения симпатии как стадного инстинкта эмоционального реагирования на эмоции других животных, важного для выживания стада. В то же время он подчеркивает, что это проявление симпатии не тождественно формам человеческой симпатии – сопереживанию и состраданию. Для Макдауголла симпатия – чисто аффективный процесс, осуществляемый по типу заражения или индукции.

Взгляды Макдауголла подверглись критике со стороны ряда психологов (Allport, 1924; Asch, 1952). В частности, Ф. Олпорт обратил внимание на то, что в экспериментах У. Макдауголла «заражались» экспрессивно выраженными эмоциями менее 50% испытуемых, в то время как симпатия как инстинкт должна была проявиться у всех. Кроме того, в эксперименте не было учтено влияние ситуации эксперимента, которая сама может вызвать эмоции.

Вход
Поиск по сайту
Ищем:
Календарь