Книга Привычка стройности. 50 секретов похудения. День за днём к стройности, красоте и здоровью, страница 6 – Светлана Пилюгина

Авторы: А Б В Г Д Е Ж З И Й К Л М Н О П Р С Т У Ф Х Ч Ш Ы Э Ю Я
Книги: А Б В Г Д Е Ж З И Й К Л М Н О П Р С Т У Ф Х Ц Ч Ш Щ Ы Э Ю Я
Бесплатная онлайн библиотека LoveRead.in

Онлайн книга «Привычка стройности. 50 секретов похудения. День за днём к стройности, красоте и здоровью»

📃 Cтраница 6

«Яды» – это:

• готовые мясные продукты (колбасы, сосиски, пельмени);

• консервы;

• маргарин;

• чипсы;

• торты, пирожные, конфеты;

• сладкие газированные напитки.


Это не запрет! Мы ничего себе не запрещаем, и если очень хочется съесть кусок торта или конфетку, то позволяем себе это (лучше в первой половине дня)! И два куска позволяем тоже, и даже целый торт, если Вам вдруг этого очень захочется! Но стараемся отказываться по мере сил! И всё, что Вы съели, не забудьте описать в Дневнике, а также – все свои мысли и чувства по этому поводу.

3. В Рабочей тетради в конце книги Вы найдёте упражнение «Преодолеваем тягу к некоторым продуктам». Все свои мысли и чувства по поводу выполнения этого упражнения тоже необходимо записывать в Дневник.

День 2. Как быстро можно худеть без вреда для здоровья?

Природа никуда не торопится, однако всё успевает.

Лао-цзы

Мы все постоянно спешим, и похудеть – тоже! Однако с похудением спешить не сто́ит: все методики быстрого похудения неэффективны, а некоторые из них опасны для здоровья. Быстро худеть нельзя!

Оптимальной считается (в среднем) скорость сбрасывания веса 200 г в день, 1,5 кг в неделю, 6 кг в месяц. Ещё лучше – 1 кг в неделю, 4 кг в месяц. Медленнее – неинтересно: ведь мы должны видеть результаты своих трудов! Быстрее – некомфортно и даже может быть опасно для здоровья.

Иллюстрация к книге — Привычка стройности. 50 секретов похудения. День за днём к стройности, красоте и здоровью [i_002.jpg]

Однако это в теории. А на практике все люди очень разные: они имеют разный обмен веществ, живут в разном климате, по-разному мёрзнут на холоде и потеют в жару, по-разному двигаются и питаются.

Нельзя всех стричь под одну гребёнку!

Один легко может похудеть на 10 кг за месяц, а другой – с трудом лишь на 3 кг. Можно за месяц похудеть даже на 20 кг, но худеть так быстро можно далеко не всем и только под присмотром врача, способного предотвратить возможные осложнения! Мужчины худеют быстрее женщин: у них больше мышц и поэтому, выполняя те же действия, что и женщины, они тратят больше энергии. Мужчинам похудеть очень просто!

Почему же не сто́ит спешить с похудением? Тому есть несколько причин.

1. Любая диета, любое изменение питания – это серьёзный стресс: наш организм не интересует то, что мы скоро будем прекрасно себя чувствовать и замечательно выглядеть. Его интересуют лишь вопросы выживания, и любая диета для него – это сигнал тревоги! Если начать худеть быстро, организм сразу же снижает обмен веществ и вместо того, чтобы расходовать жир, начинает усиленно его запасать. Не надо пугать свой организм!

2. Правильное похудение должно осуществляться только за счёт сжигания жировых отложений. Если же худеть быстро, то начинает сгорать вовсе не жир (с ним организм расстаётся в самую последнюю очередь!), в первую очередь сгорают белки, т. е. драгоценная мышечная ткань. Восстанавливать такие потери очень сложно. Поэтому важно контролировать, что именно Вы теряете: жировую или мышечную ткань. Современные весы позволяют это делать, поскольку оснащены анализатором жировой ткани. И если они показывают, что уходят мышцы, а не жир, необходимо снизить темпы похудения.

3. Если худеть быстро (т. е. сидеть на жёсткой диете), то по её окончании сброшенные килограммы так же быстро возвращаются. Все жёсткие диеты краткосрочны: либо срок их кончается, либо человек не выдерживает и «срывается» сам. В обоих случаях далее следует возврат к прежнему меню, а следовательно, и прежнему весу.

4. И последний аргумент в пользу похудения неспешного и бережного по отношению к себе, и он касается женщин (у мужчин кожа толще и плотнее, поэтому она гораздо меньше подвергается деформации). Мы-то мечтаем об исчезновении жира с живота, талии и бёдер! Однако он обычно исчезает прежде всего с лица.

Нормальный слой подкожного жира на лице добавляет сияния и свежести коже. Вспомните портреты кисти Рубенса: у женщин на его полотнах цвет лица – «кровь с молоком» именно благодаря наличию подкожной жировой прослойки. При резком похудении всей этой красоты можно очень быстро лишиться и получить взамен землистый цвет лица и вялую морщинистую кожу. И это ещё одна причина, по которой худеть надо медленно и комфортно. И чем старше женщина, тем медленнее и аккуратнее она должна худеть.

Нам требуется не просто похудеть, а изменить пищевое поведение, выработать новые привычки питания, а привычка вырабатывается в среднем 2 месяца. У кого-то быстрее, у кого-то медленнее, но примерно – 66 дней. Примерно полгода потребуется для того, чтобы закрепить новый способ питания, а для того, чтобы новое питание стало образом жизни, вросло в нашу жизнь, потребуется не менее года. Поэтому спешить нам некуда! Наше тело – это результат всей нашей предшествующей жизни: проблемы тянутся в нашу взрослую жизнь иногда из самого детства! Лишний вес – это показатель того, что эти проблемы существуют и их надо решать. Поэтому похудение – дело не локальное, каким может показаться и каким его принято обычно считать, а глобальное, охватывающее все сферы жизни человека, и потому – долгосрочное. Чтобы справиться и добиться успеха, помимо грамотного подхода, необходимо также и время.

Поэтому не спешите и запаситесь терпением! Нам не надо торопиться в достижении своих целей. Нам надо усердно выполнять свою Программу, и результат придёт. Конечно, придёт не мгновенно, но он обязательно придёт вовремя.

Секрет 2: С похудением спешить не сто́ит! Запаситесь терпением!

Задание:

Рассчитайте приблизительный срок своего похудения.

День 3. Где проходит грань между нормальным и повышенным весом?

Обычно человек начинает задавать себе вопрос: «Не пора ли мне худеть?», когда смотрит на себя в зеркало и ему не нравится то, что он там видит. Но это необъективный критерий. А как определить точно, повышен ли вес? Где проходит та грань, которая разделяет вес нормальный и вес, который уже превышает норму, является лишним и от которого поэтому следует избавляться?

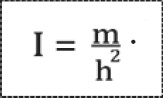
Раньше для этого пользовались простой формулой: от своего роста в сантиметрах надо было отнять 100. Так определялась норма, с которой и сравнивали свой вес. Сегодня этот способ считается неточным и от него отказались. Сегодня существует понятие «Индекс массы тела» – он помогает определить, является Ваш вес нормальным или превышает норму. Для того чтобы определить Индекс массы тела, необходимо вес человека в килограммах разделить на квадрат его роста в метрах:

Иллюстрация к книге — Привычка стройности. 50 секретов похудения. День за днём к стройности, красоте и здоровью [i_003.jpg]
Вход
Поиск по сайту
Ищем:
Календарь