Книга Тук-тук, сердце! Как подружиться с самым неутомимым органом и что будет, если этого не сделать, страница 20 – Йоханнес фон Борстель

Авторы: А Б В Г Д Е Ж З И Й К Л М Н О П Р С Т У Ф Х Ч Ш Ы Э Ю Я
Книги: А Б В Г Д Е Ж З И Й К Л М Н О П Р С Т У Ф Х Ц Ч Ш Щ Ы Э Ю Я
Бесплатная онлайн библиотека LoveRead.in

Онлайн книга «Тук-тук, сердце! Как подружиться с самым неутомимым органом и что будет, если этого не сделать»

📃 Cтраница 20

Важно

По мнению врачей, 80 г. жира в день – норма, безопасная для большинства взрослых людей. При этом в рационе должны преобладать жирные кислоты омега-3, которые содержатся в жирной рыбе, морепродуктах и в таких растительных маслах, как рапсовое или соевое.

Ешь досыта, но оставайся в форме

– Еще сахара! – требует моя племянница; мы на кухне готовим холодный чай.

– Ну нет, хватит уже. Еще немного сахара, и у нас получится не холодный, а рвотный чай, – возражаю я со страдальческой ноткой в голосе.

Она морщит лоб:

– Почему?

– У него будет мерзкий, тошнотворный вкус. Если ты хочешь больше сахара, то держи картошку, – и я, ухмыляясь, протягиваю ей картофелину.

– Послушай, я же не дура! Картошка вовсе не из сахара. Она противная на вкус.

В одном моя племянница права: кусать сырую картошку действительно противно. А что до сахара в картофеле, то здесь я осмелюсь возразить. Сахар – мастер маскировки. Под термином «сахара» в науке принято понимать большое количество веществ, которые на вкус могут быть и сладкими, и не очень. Их подразделяют на несколько групп, в частности на моносахариды – такие, как виноградный сахар (глюкоза) и фруктовый сахар (фруктоза); дисахариды – такие, как молочный сахар (лактоза), солодовый сахар (мальтоза) и всем известный потребительский сахар (сахароза). Из самих названий следует, что моносахариды, или простые сахара, состоят из одного сахарида (это единица, из которой образуются сахара), а дисахариды – из двух. Сахара, в которых насчитывается до десяти единиц, называют полисахаридами, или сложными сахарами.

К ним относится крахмал, который содержится в картошке. Хотя по вкусу он лишь отдаленно напоминает сладкое и с трудом растворяется в воде, все же крахмал действительно представляет собой сахаристое соединение, точнее длинную цепочку моносахаридов (глюкозы), на которые при определенных условиях может распадаться, высвобождая энергию. Крахмал – это форма хранения сахара в растениях.

В человеческом организме глюкоза хранится в другой форме – в виде гликогена. Это вещество, в котором отдельные молекулы глюкозы выстраиваются разветвленными рядами и крепко хватаются друг за друга. Почти как демонстранты, берущиеся за руки, чтобы выступить сплоченной группой.

Когда в организм поступает слишком много глюкозы, печень и мышцы вырабатывают из нее гликоген и запасают на черный день. Позднее при значительных нагрузках, например во время бега на лыжах, гликоген [42] придаст нам сил, после того как сахар крови будет полностью израсходован.

Все многочисленные разновидности сахара объединены общим понятием, известным каждому, – углеводы. Они для нас жизненно важны: без углеводов организм человека не сможет функционировать. Из них самыми ценными являются не моно- или дисахариды, а сложные сахара, тот же крахмал. Короткие цепочки простых углеводов быстро расщепляются в кишечнике и уносятся кровью. С помощью инсулина они попадают в мышечные клетки, где и служат для выработки энергии. Когда мы употребляем с пищей такие углеводы, в крови быстро повышается концентрация глюкозы, однако она столь же стремительно снижается снова.

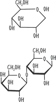
Иллюстрация к книге — Тук-тук, сердце! Как подружиться с самым неутомимым органом и что будет, если этого не сделать [i_011.jpg]

Глюкоза (вверху) – простой сахар, то есть состоящий только из одного сахарида, а лактоза – дисахарид


А вот длинноцепочечные углеводы гораздо медленнее расщепляются на отдельные составляющие и постепенно поступают в кровь. Поэтому они дольше поставляют энергию, необходимую телу, чтобы справляться со всеми заботами, которыми мы его нагружаем. Длинные цепочки углеводов содержатся в цельнозерновом хлебе. В фитнес-клубе я часто наблюдаю, как люди во время тренировки пьют сахаросодержащие соки или газированные безалкогольные напитки. Они, без сомнения, служат быстрыми и эффективными поставщиками энергии. Но на короткий период. Кола не даст вам много сил, да еще и надолго. А зерновой хлеб даст. Он тоже состоит из углеводов, только из длинноцепочечных. То есть, чтобы подкрепиться при длительных силовых нагрузках, зерновой хлеб подходит намного лучше.

Хотя понятие «сахарная зависимость еще не прижилось, исследователи уже обнаружили нарушения в поведении грызунов, когда тех лишали сахара. В одном из опытов крыс в определенное время кормили сахарным раствором. А затем переводили длиннохвостых на паек без сладкого. Они реагировали на это прямо-таки абстинентным синдромом: проявляли безучастность, беспокойство и страх. Ломка в крысиной клетке – как это мерзко, однако.

На упаковках продуктов всегда указываются данные о количестве углеводов, в том числе сахара. Например, в 100 г. многозерновой булочки, которую я ем на завтрак, содержится 42 г. углеводов (это количество всех соединений сахара, присутствующих в продукте: и простых, и сложных), из них 3,2 г. сахара (имеются в виду только моно- и дисахариды, такие, как сахароза, фруктоза и лактоза). Если вы хотите принести пользу своему сердцу и всему организму, следите за тем, чтобы употреблять как можно меньше простых сахаров.

Но легче сказать, чем сделать, ведь для человеческого организма сахар как наркотик. Он способствует высвобождению гормона счастья дофамина, который, как вы уже знаете, играет решающую роль в системе вознаграждения в нашем мозгу. Так что организм, словно наркоман, постоянно требует сахара – больше, чаще и лучше всего в виде шоколадки или других лакомств… Если, конечно, мы не держим его на коротком поводке. В этой ситуации каждый становится «наркодилером», который решает, что сегодня получит его лучший клиент, его организм – яблоко или кусок торта со сливочным кремом?

У меня дело не зашло так далеко, чтобы отсутствие сладостей вызывало подобные эффекты, и все же я могу понять несчастных крыс.

Важно

Лучше всего заменить простые углеводы: сахар, сладкие газированные напитки, конфеты и т. д. – сложными, длинноцепочечными (они содержатся, например, в цельнозерновом хлебе). Такие углеводы гораздо медленнее расщепляются на составляющие, поступают в кровь постепенно и дольше поставляют нам необходимую энергию.

Итак, мы могли бы совершенно без ущерба для себя вычеркнуть из меню рафинированный сахар, сиропы и сладкие безалкогольные напитки. То и дело можно услышать, что мед, будучи природным продуктом, якобы способствует заживлению ран и потому полезен при простуде, но подобное «оздоровительное» действие меда научно не доказано. Так что руки прочь и от него тоже!

Еще одну возможность ограничить поступление сахара в организм предоставляют нам продукты из муки высшего сорта (крупчатки). Они входили в рацион еще древних египтян, преимущественно представителей высших кругов. И хотя атеросклероз считается феноменом новых времен, в сосудах тысячелетних мумий – жрецов и правителей, и даже в бренных останках одной принцессы – были найдены характерные для этой болезни отложения.

Вход
Поиск по сайту
Ищем:
Календарь