Книга Sapiens. Краткая история человечества, страница 37 – Юваль Ной Харари

Авторы: А Б В Г Д Е Ж З И Й К Л М Н О П Р С Т У Ф Х Ч Ш Ы Э Ю Я
Книги: А Б В Г Д Е Ж З И Й К Л М Н О П Р С Т У Ф Х Ц Ч Ш Щ Ы Э Ю Я
Бесплатная онлайн библиотека LoveRead.in

Онлайн книга «Sapiens. Краткая история человечества»

📃 Cтраница 37

«Я вошел и сел, и учитель прочел мою табличку. Он сказал: “Тут кое-чего не хватает”.

И побил меня тростью.

Один из надсмотрщиков сказал: “Что ты раскрываешь рот без разрешения?”

И побил меня тростью.

А тот, кто следит за соблюдением правил, сказал: “Что ты поднялся без разрешения?”

И побил меня тростью.

Привратник сказал: “Почему ты выходишь без разрешения?”

И побил меня тростью.

Шумерский учитель сказал: “Почему ты говоришь по-аккадски?”

И побил меня тростью.

Учитель сказал мне: “У тебя плохой почерк!”

И побил меня тростью» [42].

Древние писцы учились не только читать и писать, но также пользоваться каталогами, словарями, календарями, таблицами и формулярами. Иными словами, ученики осваивали такие техники каталогизации, извлечения и обработки информации, которые не имеют ничего общего с обычной работой мозга, где все сведения соединяются естественными ассоциациями. Когда я прихожу с супругой в банк подписать ипотечный договор на новый дом, само собой вспоминается и первое наше жилище, а отсюда ниточка тянется к медовому месяцу в Новом Орлеане, а Новый Орлеан ассоциируется с крокодилами, крокодилы — с драконами, это уже прямая связь с «Кольцом Нибелунга», и вдруг, сам того не заметив, я начинаю напевать арию Зигфрида, а банковский клерк таращится на меня в недоумении. Назначение бюрократии в том и состоит, чтобы разложить все по полочкам: отдельно закладные на дома, отдельно свидетельства о браке, свое место для налоговых деклараций, свое — для бумаг из суда. А иначе как тут что найдешь? А то, чему нет места ни на одной полке, — те же сказочные драконы — пойдет в мусорную корзину. Сложнее всего с теми единицами хранения, которые подходят под несколько категорий. Например, музыкальная драма Вагнера — ее куда? На полку с музыкой, в театральный отдел или изобрести отдельную рубрику? Так и приходится постоянно добавлять новые рубрики, убирать лишние, наводить порядок.

Чтобы функционировать внутри такой системы «полок», люди должны перестать думать как люди и научиться мыслить как бухгалтеры и клерки. С древности и до наших дней всем известно: клерки и бухгалтеры мыслят не по-людски. У них вместо мозга архивный шкаф с секциями и ящичками. И это не их вина. Если бы они не раскладывали все по полочкам, вверенные им данные перепутались бы, и никакой пользы от таких сотрудников не было бы ни государству, ни компании, ни любой другой организации, где они работают. В том-то и состоит важнейшее последствие изобретения письменности: люди научились мыслить по-другому, иначе воспринимать мир. На смену свободным ассоциациям и холистическому мышлению пришло бюрократическое разделение.


ЯЗЫК ЧИСЕЛ

Шли столетия, бюрократические методы обработки данных все более удалялись от естественного мышления человека и при этом играли все возрастающую роль. Ключевое событие произошло в неизвестный нам момент, но до IX века н.э.: было изобретено еще одно неполное письмо, позволявшее с небывалой эффективностью сохранять и обрабатывать математические данные. Эта письменность состояла всего из десяти знаков, для чисел от 0 до 9. Их называют «арабскими цифрами», хотя знаки были изобретены индийцами, а в довершение путаницы современные арабы пользуются цифрами, заметно отличающимися от европейских. Слава досталась арабам, потому что они, завоевав Индию и столкнувшись там с этой системой записи, поняли, насколько она может быть полезна, усвоили и усовершенствовали ее и распространили повсюду на Ближнем Востоке, откуда «арабские цифры» проникли и в Европу. Потом добавилось еще несколько знаков (плюс, минус, символ умножения), и таким образом были заложены основы современной математической записи.

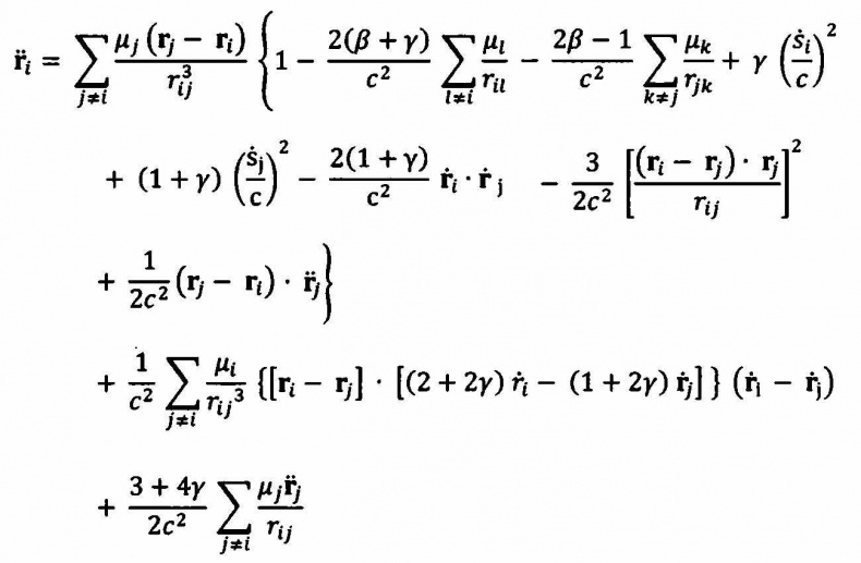
Иллюстрация к книге — Sapiens. Краткая история человечества [i_038.jpg]

Уравнение, позволяющее вычислить ускорение массы i под влиянием гравитации (согласно теории относительности). При виде такого уравнения большинство неспециалистов впадает в панику и замирает, точно олень в лучах фар. Это вполне естественная реакция, а вовсе не признак слабого интеллекта или недостаточного любопытства. Мозг человека (за редким исключением) не способен мыслить такими категориями, как относительность и квантовая механика. Но физикам достаточно одного взгляда, чтобы осмыслить эту запись, потому что они думают не так, как «нормальные люди», а используют в процессе внешние системы обработки данных. Основная часть процесса происходит не в голове, а в компьютере или на доске университетской аудитории.


Несмотря на неполноту этой системы письма, именно математические символы сделались всемирным письменным языком. Почти все государства, частные компании, организации, институты, независимо от своего основного языка — будь то арабский или хинди, английский или норвежский, — пользуются математическими символами для записи и обработки данных. Любая информация, поддающаяся математической записи, архивируется, распространяется и обрабатывается с умопомрачительной скоростью, а всему, что по какой-либо причине не удается перевести на этот язык, грозит пренебрежение и забвение.

Тому, кто хочет повлиять на государственные решения, на деятельность организаций и компаний, приходится учиться языку чисел. Эксперты умеют переводить на этот язык даже абстрактные термины «бедность», «счастье» и «честность» («уровень жизни», «субъективное ощущение благополучия», «рейтинг надежности»). Некоторые области знания, такие как физика, практически порвали отношения с устным языком и полностью перешли на математическую заумь.

Сравнительно недавно математическая запись породила еще более эффективную систему — двоичную, которая применяется в программном обеспечении компьютеров. Для нее требуется всего лишь два знака — 0 и 1. Слова, которые я сейчас печатаю на клавиатуре, в компьютере отображаются различными комбинациями нуля и единицы.

* * *

Письменность создавалась как служанка человека, но достаточно быстро становится госпожой. Наши компьютеры плохо понимают, как Homo sapiens разговаривает, чувствует и мечтает, — и вот мы уже учим Homo sapiens разговаривать, чувствовать и мечтать на понятном машине языке чисел.

И на этом история не заканчивается. Специалисты по искусственному интеллекту надеются создать новый вид разума, опирающийся исключительно на двоичные записи компьютера и вообще обходящийся без человека. Фантастические фильмы вроде «Матрицы» и «Терминатора» давно уже пророчат день, когда двоичный код сбросит человеческое ярмо — а если человек попытается восстановить свою власть над восставшей двоичной записью, она постарается уничтожить весь человеческий род.

Глава 8. История несправедлива

Основной вопрос, без которого нам не понять истории тысячелетий после аграрной революции: как люди сумели организоваться большими коллективами, если биологическим инстинктом для такого сотрудничества они не наделены? Кратким ответом является следующий: люди создали воображаемые структуры и придумали письменность. Эти два изобретения закрыли лакуны в нашем биологическом наследии.

Вход
Поиск по сайту
Ищем:
Календарь