Книга Камень ломает ножницы. Как перехитрить кого угодно: практическое руководство, страница 51 – Уильям Паундстоун

Авторы: А Б В Г Д Е Ж З И Й К Л М Н О П Р С Т У Ф Х Ч Ш Ы Э Ю Я
Книги: А Б В Г Д Е Ж З И Й К Л М Н О П Р С Т У Ф Х Ц Ч Ш Щ Ы Э Ю Я
Бесплатная онлайн библиотека LoveRead.in

Онлайн книга «Камень ломает ножницы. Как перехитрить кого угодно: практическое руководство»

📃 Cтраница 51

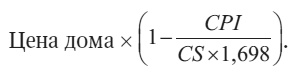
Пример № 2. Индекс Кейса—Шиллера равняется 177, индекс потребительских цен такой же, как в предыдущем примере. Скорректированный с учетом инфляции индекс Кейса—Шиллера равен 131,8. Цены приблизительно на 32 процента выше, чем на нормальном рынке.

Вы собираетесь заплатить за дом 800 000 долларов. Если цены вернутся к норме, то ваш дом будет стоить примерно 100/131,8 от того, что вы заплатили, или 607 000 долларов. Это почти на 200 000 долларов меньше. Вы готовы пожертвовать 200 000 долларов, чтобы купить именно этот дом в данный момент? Если готовы – вперед. В противном случае следует подумать, не отложить ли покупку, пока рынок не придет в себя.

Вот простая формула для расчетов. CS – это индекс Кейса—Шиллера, а CPI – индекс потребительских цен. Результат показывает, сколько вы можете потерять.

Иллюстрация к книге — Камень ломает ножницы. Как перехитрить кого угодно: практическое руководство [i_032.jpg]

Этот совет подходит тем, кто покупает первый дом. Риск уменьшается, если вы одновременно покупаете и продаете недвижимость. Тогда в приведенной выше формуле вместо цены жилья следует подставить разницу в цене между старым и новым. О потерях можно не слишком беспокоиться.

Анализ рынка обнаружил несколько неожиданностей. Возьмем, к примеру, день недели, когда недвижимость выставляется на продажу (появляется в списке в интернете). Это случайная величина, и многие продавцы об этом не задумываются. Другие пытаются мыслить стратегически. Некоторые агенты по торговле недвижимостью убеждены, что выставлять жилье на продажу лучше перед выходными. Так оно привлечет максимум внимания. Покупателям нравится думать, что они первые претенденты, а к следующим выходным недвижимость уже кажется им немного «лежалой».

В 2012 г. посредническая фирма Redfin сообщила, что пятница действительно лучший день, чтобы выставить жилье на продажу. Тогда дома продавались за 99,1 процента первоначальной цены. По сравнению с ними недвижимость, выставленная на продажу в «худший» день недели, воскресенье, продается за 98,4 процента первоначальной цены. Трудно поверить, что продавцы, предлагающие дома в воскресенье, запрашивают менее реалистичные цены, и поэтому продавец может получить дополнительные 0,7 процента, просто выставив дом на продажу в пятницу. При стоимости дома 600 000 долларов это больше 4000 долларов. Гораздо больше, чем обойдутся несколько лишних дней ипотеки и расходов на содержание. Более того, компания Redfin обнаружила, что жилье, выставленное в пятницу, продается быстрее.

Лучше выставить свое жилье на продажу в пятницу, а новое искать среди выставленных в воскресенье: это может уменьшить конкуренцию покупателей.

Резюме: Как предсказать цены на недвижимость

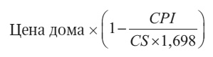
• В некоторые периоды цены на жилье серьезно завышены. Потенциальным покупателям в такой период лучше воздержаться от покупки.

• Узнайте индекс Кейса—Шиллера (CS) для вашего города и индекс потребительских цен (CPI). Произведите расчет по формуле:

Иллюстрация к книге — Камень ломает ножницы. Как перехитрить кого угодно: практическое руководство [i_033.jpg]

• Если результат положительный, значит, цены на жилье завышены. Формула указывает, сколько потеряет покупатель первого жилья, когда (и если) цены вернутся к средним значениям.

21
Как предсказать будущее

Предсказание будущего – серьезный бизнес. По оценке специалистов в 2012 г. во всем мире компании потратили около 400 миллиардов долларов на разного рода прогнозы. Большинство из них включает старомодную экспертизу специалистов, хотя бизнес прогнозов все чаще обращается к анализу данных. В любом случае скептицизм вполне уместен.

«Каждый год индустрия прогнозов снабжает нас информацией (по большей части ошибочной) на 200 миллиардов долларов, – жаловался в 1998 г. Уильям Шерден. – Достижения всевозможных экспертов одинаково ничтожны, будь то ориентированные на науку профессионалы, экономисты, демографы, метеорологи и сейсмологи, или экстрасенсы и астрологи». Сам Шерден консультировал по вопросам бизнеса.

В известном исследовании психолог Филип Тетлок проследил за предсказаниями 284 экспертов в области политики и экономики на протяжении двух десятилетий, вплоть до 2003 г., и попытался оценить их точность. Выяснилось, что специалисты предсказывают будущее не точнее неспециалистов.

«Мы обескураживающе быстро достигли точки уменьшающейся предсказательной ценности знания. В наш век научной гиперспециалицации нет никаких причин предполагать, что авторы статей в серьезных журналах – известные политологи, специалисты в данной отрасли, экономисты и так далее – в “прочтении” возникающих ситуаций имеют преимущество перед журналистами или внимательными читателями New York Times… Самые известные эксперты были более самоуверенными, чем их коллеги, зарабатывающие себе на жизнь вдали от внимания публики».

В 2011 г. Тетлок устроил состязание, спонсированное Управлением по перспективным научным исследованиям. Тысячи специалистов соревновались в точности предсказаний в своей области. Он рассчитывал, что в результате выявятся механизмы интуитивных прогнозов – когда они сбываются.

Нам часто предлагают сделать прогнозы будущих событий, вообще не поддающихся прогнозированию. Чтобы не попасть впросак, стоит немного узнать об искусстве делать так, чтобы неверные прогнозы выглядели лучше, чем на самом деле.

Фейт Попкорн, футурист и глава консалтинговой фирмы BrainReserve, известна ежегодными прогнозами (наподобие ясновидящих в National Enquirer). Вот несколько примеров:

• Людям будет так не хватать человеческого контакта, что место таксофонов займут «механизированные будки для объятий».

• Возможен «всплеск популярности сленга 1950-х».

• Реалити-шоу будут посвящены «рискованной, но спасающей жизни трансплантации органов, пересадки кожи и конечностей».

• Роботы будут прогуливать собак, водить автобусы и подавать фастфуд. Технология «будет принимать решения на поле боя, где сражаются армии роботов».

• «По мере того, как стоимость генетической модификации уменьшается, услуги по инжинирингу позволят… создавать животных с нуля и перемешивать ДНК будущего компаньона с вашей собственной… Эти животные будут таким точным отражением вашего темперамента, что врачи начнут рассматривать домашних любимцев как заместителей своих пациентов».


Вы улыбнетесь, но крупнейшие мировые компании из списка Fortune 500 не смеются. BMW, McDonald’s, Procter & Gamble, American Airlines и Target – все они клиенты Попкорн. Подобно другим успешным предсказателям, Попкорн понимает, что отчасти это индустрия развлечений. Самые экстравагантные предсказания обеспечивают ее присутствие в новостях, что помогает привлекать клиентов. Подобно экстрасенсам, специалисты по бизнес-прогнозам претендуют на обладание магической способностью, почему-то оборачивающейся предсказанием забавных мелочей. Трудно представить, кто извлечет выгоду из мема кабинок для обнимания (за исключением бедняги, который попытается в них инвестировать). Магия – от веры, что плодовитая предсказательница может что-то предсказать и предскажет, если клиент будет постоянно оплачивать ее услуги. Сайт Попкорн спрашивает: «Если бы вы знали все о завтрашнем дне, как бы вы действовали сегодня?»

Вход
Поиск по сайту
Ищем:
Календарь