Онлайн книга «Ковчег для Робинзона. Все о жизни морского кочевника»
|
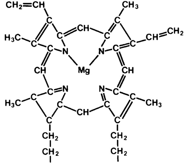
Семена прорастают в темноте. Не выставляйте их на солнце, чтобы прямой солнечный свет не сжег нежные молоденькие ростки. Ведь в природе несколько первых дней ростки пробиваются наверх из-под земли. Через пять дней рассеянный свет им уже не повредит, на свету ростки начнут вырабатывать хлорофилл и зеленеть. Наиболее стойкие ростки – зелень подсолнечника, гречихи, пшеницы и ржи. Они меньше боятся света, но прорастающие семена все время должны быть влажными, пересыхание может их погубить. Значение хлорофилла переоценить невозможно. Для растений он играет такую же роль, как для нас гемоглобин. Структуры этих веществ весьма похожи, только у гемоглобина центром молекулы является атом железа, а у хлорофилла – магния. Как компонент пищи хлорофилл способствует очистке и регенерации крови. Если бы Колумб знал о полезных свойствах зеленых ростков, его команда не страдала бы от симптомов тяжелой болезни, известной теперь как цинга. Ростки содержат все необходимые нам важные аминокислоты, витамины, ферменты, минеральные соли, причем в одной «упаковке» – естественной, вкусной и красивой. Регулярно включая ростки в свой рацион в дальнем плавании, можно не беспокоиться об угрозе цинги, безжалостно косившей моряков прошлого. Чтобы подтвердить сказанное выше цифрами, ниже приведены несколько таблиц. 1. Состав на 100 г продукта, энергетическая и пищевая ценность (в % от рекомендуемой дневной нормы потребления) ростков маша и сои. ![]() 2. Содержание витаминов группы В в семенах и ростках пшеницы, на 100 г продукта. ![]() 3. Содержание витамина С в зерне и ростках, на 100 г продукта. ![]() Пророщенное зерно – полноценная еда, рекомендуемая и даже необходимая для моряков, участников экспедиций, для выживания в трудных ситуациях. Ростки растений содержат все необходимые человеку компоненты пищи. Состав аминокислот в протеинах растений отличается, что дает возможность подобрать меню из ростков, покрывающее потребности в незаменимых аминокислотах даже при отсутствии мяса. Такие расчеты и рецепты приводит, например, Фрэнсис Мур Лэппи в своей известной книге «Диета для астероида» [14] . Ошибочна известная точка зрения, что для снабжения организма белком в плавании обязательно нужны мясные консервы, рыба и яйца. Это доказано миллионами вегетарианцев во всем мире. Но вы вовсе не обязаны быть вегетарианцем: баночка сардин, пойманная рыба, устрицы или мясо время от времени будут приятно разнообразить меню. Если вы не просчитываете специально сбалансированное потребление растительных белков, другие белковые продукты, конечно, нужны. Но помните, что консервированные продукты всегда будут и дороже, и менее полезны, чем свежие, выращенные прямо на лодке. ![]() Молекула хлорофилла Для ряда цивилизаций на протяжении жизни сотен поколений растительные продукты служили основой питания, в том числе и белкового. На Востоке все едят рис и продукты из сои: соевое молоко, творог (тофу), ростки. Бобы и кукуруза долгое время были основной едой в Мексике и Латинской Америке. Индусы поколение за поколением растут на рисе и чечевице, которая дает необходимые белки. Разнообразие в этих преимущественно вегетарианских кухнях создают свежие фрукты и овощи, а также богатый выбор специй. ![]() Молекула гемоглобина Как покупать зерно и семена Важнейшее преимущество живой пшеницы как продукта для долгого океанского плавания – то, что зерно отлично хранится. При правильной упаковке пшеницу можно хранить годами. Многие зерна сохраняют жизненную силу тысячелетия! Пшеница всходила из зерен, найденных в пещерах людей каменного века и в гробницах египетских фараонов. Фараонов снабжали зерном тоже для долгого пути, чтобы им не пришлось голодать в загробных странствиях. Хорошую всхожесть имеет зерно, предназначенное специально для проращивания, а также высококачественные продовольственные (не фуражные) сорта. Избегайте покупать зерно в супермаркетах, предпочтительнее магазины здорового питания – в них товар обычно более свежий. Чтобы не отравиться, необходимо убедиться, что зерно не было обработано фунгицидами и инсектицидами. Семена овощей для огородников также часто бывают обработаны. Это еще один довод в пользу специализированных магазинов здоровой пищи, где могут подтвердить экологическую чистоту продуктов. Что касается другого зерна, семян и орехов, их бесконечное количество. Не следует только использовать семена пасленовых (томат, картофель), так как они содержат ядовитые вещества. Выбор и так богат, в вашем распоряжении целая вселенная вкусов: ячмень, рис, рожь, чечевица, соя, маш (бобы мунг), горох, фасоль адзуки, редис, горох простой и турецкий (гарбанзо, нут), арахис, миндаль, лен, кунжут, чиа (испанский шалфей), пажитник, люцерна, кукуруза, подсолнечник, тыква, шпинат, петрушка, салат латук, окра (бамия), репа, чеснок, сельдерей, гречиха, кресс-салат, просо, овес, обычная, цветная и брюссельская капуста, брокколи, мангольд, эндивий, горчица. И даже травы и сорняки: клевер, подорожник, щавель, клоповник, одуванчик, амарант. Поэкспериментировав, вы можете создать свои любимые фирменные салаты. Но все же существует базовый набор, который можно рекомендовать как оптимальный по питательности, вкусовым качествам, цене, легкости хранения и проращивания. Это пшеница, гречиха, люцерна, подсолнечник, маш, пажитник, миндаль и горох. Конечно, хорошо иметь запас семян и других растений; добавляя их, вы можете разнообразить вкус своего меню. Как выращивать зелень на борту Каждое растение имеет свои любимые условия для лучшего прорастания: температуру, влажность, циркуляцию воздуха. Чтобы ваш садик функционировал наилучшим образом, полезно приобрести соответствующие огородно-ботанические познания. Прежде всего переберите зерно, удалите мусор, поврежденные, белесые и, наоборот, почерневшие зерна: скорее всего, они мертвы и вместо прорастания будут гнить. Большинство видов зерна и семян надо замочить в пресной воде на 8 часов. Несколько видов семян, более мягких и «студенистых» (лен, чиа, кресс-салат), достаточно увлажнить, можно также смешивать их с уже намокшими семенами других видов. Лен и чиа хорошо сочетаются с люцерной и редисом, их можно проращивать вместе. |
![Иллюстрация к книге — Ковчег для Робинзона. Все о жизни морского кочевника [i_023.jpg] Иллюстрация к книге — Ковчег для Робинзона. Все о жизни морского кочевника [i_023.jpg]](img/book_covers/056/56267/i_023.jpg)
![Иллюстрация к книге — Ковчег для Робинзона. Все о жизни морского кочевника [i_024.jpg] Иллюстрация к книге — Ковчег для Робинзона. Все о жизни морского кочевника [i_024.jpg]](img/book_covers/056/56267/i_024.jpg)
![Иллюстрация к книге — Ковчег для Робинзона. Все о жизни морского кочевника [i_025.jpg] Иллюстрация к книге — Ковчег для Робинзона. Все о жизни морского кочевника [i_025.jpg]](img/book_covers/056/56267/i_025.jpg)
![Иллюстрация к книге — Ковчег для Робинзона. Все о жизни морского кочевника [i_026.jpg] Иллюстрация к книге — Ковчег для Робинзона. Все о жизни морского кочевника [i_026.jpg]](img/book_covers/056/56267/i_026.jpg)
![Иллюстрация к книге — Ковчег для Робинзона. Все о жизни морского кочевника [i_027.jpg] Иллюстрация к книге — Ковчег для Робинзона. Все о жизни морского кочевника [i_027.jpg]](img/book_covers/056/56267/i_027.jpg)