Книга Психология личности, страница 36 – Артур Реан

Авторы: А Б В Г Д Е Ж З И Й К Л М Н О П Р С Т У Ф Х Ч Ш Ы Э Ю Я
Книги: А Б В Г Д Е Ж З И Й К Л М Н О П Р С Т У Ф Х Ц Ч Ш Щ Ы Э Ю Я
Бесплатная онлайн библиотека LoveRead.in

Онлайн книга «Психология личности»

📃 Cтраница 36

Удовлетворенность профессией может быть определена по специальной методике (Ядов В. А., 1969) и представлена количественно в виде индекса удовлетворенности профессией I, который задан так, что может меняться в пределах от –1 до +1, принимая в этих пределах любые значения. Причем значение, равное –1, свидетельствует о явной неудовлетворенности, а +1 – о полной удовлетворенности. Для определения коэффициента удовлетворенности используется несколько связанных между собой вопросов. Их помещают на разных страницах опросника, чтобы респондент не соотносил их друг с другом.

По нашим данным, удовлетворенность профессиями, связанными с производственной средой, значительно выше у учащихся-юношей, чем у девушек. Причем эта тенденция проявляется даже в случае различия специальностей – при условии более высокой престижности отдельных специальностей, которые осваивают девушки в учебных заведениях технического профиля. Различия в удовлетворенности профессией, связанные с половой принадлежностью, имеют определенное значение, хотя основной контингент учащихся учебных заведений технического профиля и составляют юноши (по некоторым данным, соотношение юношей и девушек, например в образовательных учреждениях начального профессионального образования, составляет приблизительно 7: 3 (Фокин Ф. А., 1984)).

Особый интерес, естественно, представляет вопрос о связи успеваемости учащихся с уровнем удовлетворенности профессией. В нашем исследовании мы обратили внимание на связь удовлетворенности профессией с успеваемостью не по специальным, а по общеобразовательным предметам. В процессе исследования были выделены две полярные группы учащихся: хорошо успевающих и не успевающих по общеобразовательному циклу дисциплин. Сопоставление величин индекса удовлетворенности профессией в этих группах не выявило различий между ними. Таким образом, успеваемость по общеобразовательным дисциплинам оказалась никак не связанной с удовлетворенностью избранной профессией. Эти данные отражают тот факт, что в сознании учащихся профессиональная и общеобразовательная подготовка представляются очень часто как две не связанные, на параллельных курсах находящиеся цели. К сожалению, к такому отношению есть вполне объективные основания в действительности. К этому добавляется и сложившийся у значительной части учащихся образовательных учреждений начального профессионального образования стереотип общего негативного отношения к школьным предметам, побуждающий формирование ожиданий «другой жизни» в этих учреждениях. На эти моменты обращают внимание в своих работах психологи К. К. Платонов, Г. Г. Голубев, Н. В. Кузьмина, О. С. Гребенюк, А. А. Реан и др.

Данные, аналогичные полученным в образовательных учреждениях начального и среднего профессионального образования и приведенные здесь, имеются и в исследованиях по профессиональному обучению в высшей школе. Мы имеем в виду уже рассмотренные нами ранее в этой главе результаты комплексного психолого-педагогического исследования проблем отсева, в котором было установлено, что наибольшая неуспеваемость прослеживается по нескольким общим предметам. Причем все они в сознании студентов представляются как малозначимые или незначимые вовсе для успешности их будущей профессиональной деятельности. Очевидно, создание целевой ориентации, связанной с конечными целями обучения, осознание студентами включенности всех изучаемых дисциплин в структуру профессионального обучения, формирование личности специалиста являются важнейшими факторами повышения эффективности обучения.

Удовлетворенность профессией у студентов, как установлено в ряде исследований, в том числе и в наших собственных, является максимальной на 1-м курсе, а в дальнейшем имеет тенденцию к снижению вплоть до выпуска. Интерпретация этого факта может быть различной: указываются как объективные причины (уровень преподавания в конкретном вузе), так и субъективные (обнаружение теневых сторон будущей специальности, которых студент, будучи школьником, не видел) (Кон И. С., 1980). Не останавливаясь на анализе значения этих причин, отметим главное: при различных исходных показателях величина индекса удовлетворенности профессией (несмотря на его снижение в процессе обучения) и на выходе остается положительной и достаточно высокой. Аналогичное положение наблюдается и в образовательных учреждениях начального и среднего профессионального образования, где свыше 60 % выпускников удовлетворены профессией (Фокин Ф. А., 1984). Однако сам индекс удовлетворенности профессией, как известно, не свидетельствует о причинах этой удовлетворенности: он говорит лишь о том, нравится профессия или нет; скрытыми оказываются профессиональные мотивы. Для изучения причин, определяющих отношение к профессии, ее привлекательность или непривлекательность, часто применяют методику, в которой респондентам предлагается осуществить ряд позитивных и негативных выборов: что привлекает, а что не привлекает в избранной профессии. Для выявления ведущих факторов, определяющих привлекательность профессии, рассчитывается коэффициент значимости (КЗ), величина которого максимум +1, а минимум –1.

7.5. Методика изучения факторов привлекательности профессии

Методика впервые была предложена В. А. Ядовым. Здесь приводится модифицированный вариант методики (модификация Н. В. Кузьминой, А. А. Реана), который использовался во многих социально-педагогических и психолого-педагогических исследованиях.


Инструкция

Обведите кружком те пункты в колонках А и Б, которые отражают то, что привлекает и что не привлекает вас в избранной профессии. В колонке А указано то, что привлекает, а в Б – что не привлекает. Отмечать следует действительно значимые для вас пункты, т. е. правила не принуждают вас делать выбор во всех без исключения строках.

Иллюстрация к книге — Психология личности [i_019.jpg]

Обработка

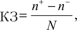
По каждому из 11 факторов подсчитывается коэффициент значимости (КЗ). Коэффициент значимости определяется как:

Иллюстрация к книге — Психология личности [i_020.jpg]

где: N – объем выборки (количество обследуемых); n+ – количество обследуемых, которые отметили данный фактор в колонке А; n– – количество обследуемых, которые отметили данный фактор в колонке Б.

Коэффициент значимости может измениться в пределах от –1 до +1. Результаты диагностики по группе заносятся в таблицу.

Иллюстрация к книге — Психология личности [i_021.jpg]

Иногда при интерпретации результатов допускают серьезную методическую ошибку, рассматривая только окончательный показатель КЗ и не учитывая соотношение n+ и n–. Необходимо строить интерпретацию на учете как первого, так и второго аспекта. Покажем значимость этого на следующем простом примере.

Низкий коэффициент значимости фактора (близкий к нулю) нельзя автоматически трактовать как проявившуюся в данной выборке незначимость определенного фактора. Необходимо прежде всего оценить, каким образом этот низкий коэффициент получился.

Вход
Поиск по сайту
Ищем:
Календарь