Книга Психология личности, страница 12 – Артур Реан

Авторы: А Б В Г Д Е Ж З И Й К Л М Н О П Р С Т У Ф Х Ч Ш Ы Э Ю Я
Книги: А Б В Г Д Е Ж З И Й К Л М Н О П Р С Т У Ф Х Ц Ч Ш Щ Ы Э Ю Я
Бесплатная онлайн библиотека LoveRead.in

Онлайн книга «Психология личности»

📃 Cтраница 12

В самом общем виде в психологии принято выделять две формы Я-концепции – реальную и идеальную. Однако возможны и более частные ее виды, например профессиональная Я-концепция личности, или Я-профессиональное. В свою очередь, профессиональная Я-концепция личности также может быть реальной и идеальной.

Понятие «реальная», как справедливо замечает Х. Ремшмидт, отнюдь не предполагает, что эта концепция реалистична. Главное здесь – представление личности о себе, о том, «какой я есть». Идеальная же Я-концепция (идеальное Я) – это представление личности о себе в соответствии с желаниями («каким бы я хотел быть»).

Конечно, реальная и идеальная Я-концепции могут не только не совпадать, но в большинстве случаев обязательно различаются. Расхождение между реальной и идеальной Я-концепциями может приводить как к негативным, так и к позитивным следствиям. С одной стороны, рассогласование между реальным и идеальным Я может стать источником серьезных внутриличностных конфликтов. С другой стороны, несовпадение реальной и идеальной Я-концепций является источником самосовершенствования личности и стремления к развитию. Можно сказать, что многое определяется мерой этого рассогласования, а также интерпретацией его личностью. В любом случае, ожидание полного совпадения Я-реального и Я-идеального, особенно в подростковом и юношеском возрасте, является мало на чем основанной иллюзией.

По существу, на представлении о том, что реальная и идеальная Я-концепции в большинстве случаев (статистическая норма) в той или иной мере закономерно не совпадают, построены и некоторые методики измерения адекватности самооценки. В качестве иллюстрации сказанного рассмотрим одну из таких методик.

Методика исследования самооценки

Испытуемому вручается бланк (рис. 4.1) с перечислением 20 различных качеств личности. В левой колонке («Идеал») испытуемый ранжирует эти качества по привлекательности в той мере, в какой они ему импонируют, каким он хотел бы быть. Затем в правой колонке («Я») ранжирует эти качества по отношению к себе. Между желаемым и реальным уровнем каждого качества определяется разность (d), которая возводится в квадрат (d2). Затем подсчитывается сумма квадратов (сумма d2) и по формуле r = 1–0,00075Σd2 определяется коэффициент корреляции.

Чем ближе коэффициент к 1 (от 0,7 до 1), тем выше самооценка, и наоборот. Об адекватной самооценке свидетельствует коэффициент от 0,4 до 0,6.

Иллюстрация к книге — Психология личности [i_005.jpg]

Рис. 4.1. Пример бланка, применяемого для исследования самооценки


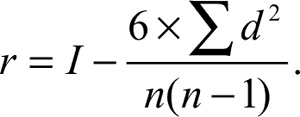
Заметим, что если при применении данной методики, исследователь пожелает использовать не 20 качеств, а какое-то иное их количество, то формулу подсчета необходимо изменить. При всяком изменении количества качеств меняться будет коэффициент при Σd2, т. е. будет не 0,00075, а какое-то иное число. Полезно в связи с этим знать, что указанная выше формула есть просто частный случай общей формулы вычисления коэффициента ранговой корреляции:

Иллюстрация к книге — Психология личности [i_006.jpg]

Здесь n – число используемых при ранжировании качеств. Именно по этой формуле и необходимо проводить расчеты, если изменено число ранжируемых качеств. Нетрудно убедиться, что когда используется вариант с 20 качествами (т. е. n = 20), то коэффициент 6/n(n2 – 1) становится равным 0,00075, а общая формула превращается в тот упрощенный вариант, который и приведен в начале.

Несмотря на очевидную близость, психологические понятия самооценки и Я-концепции имеют отличия. Я-концепция представляет набор скорее описательных, чем оценочных представлений о себе. Хотя, конечно, та или иная часть Я-концепции может быть окрашена положительно или отрицательно. Понятие самооценки, наоборот, непосредственно связано с тем, как человек оценивает себя, свои собственные качества. Например, осознание человеком того, что по темпераменту он является сангвиником, или того, что он высокого роста и у него карие глаза, составляет часть его Я-концепции, но при этом данные свойства не рассматриваются в оценочном плане. В случае же с самооценкой те или иные качества рассматриваются как хорошие или плохие. Субъект оценивает себя по этим качествам в сравнительном плане с другими как лучшего или худшего. Важно и то, что одни и те же качества в структуре самооценки различных личностей могут интерпретироваться одним человеком в позитивном плане (и тогда они повышают самооценку), а другим – в негативном (и тогда они понижают самооценку).

4.2. Особенности Я-концепции при девиантном поведении

Самооценка относится к центральным образованиям личности, ее ядру. Понимание этого явилось причиной пристального внимания психологов (особенно социальных, педагогических и персонологов) к проблематике, связанной с самооценкой и самоотношением личности. Значительный вклад в исследование этой проблемы внесли работы А. В. Захаровой, В. П. Зинченко, Е. Т. Соколовой, В. В. Столина и др. Самооценка в значительной степени определяет социальную адаптацию личности, является регулятором поведения и деятельности. Хотя, конечно, следует отдавать себе отчет в том, что самооценка не есть нечто данное, изначально присущее личности. Само формирование самооценки происходит в процессе деятельности и межличностного взаимодействия. Социум в значительной степени влияет на формирование самооценки личности. Отношение человека к самому себе является наиболее поздним образованием в системе отношений человека к миру. Но, несмотря на это (а может быть, именно благодаря этому), в структуре отношений личности самооценке принадлежит особо важное место.

Рассматривая вопрос о девиациях в личностном развитии и вводя понятие пограничной личностной структуры, Е. Т. Соколова определяет последнее как сложившийся в патогенных семейных условиях ригидный паттерн (стиль) интра– и интерпсихических связей, системообразующие радикалы которого – психологическая недифференцированность и зависимость – характеризуют три взаимосвязанных составляющих его структуры: образ Я, стратегии саморегуляции и коммуникации. При рассмотрении феномена нестабильности самоотношения как системообразующего фактора при пограничных личностных расстройствах (особенно в подростковом возрасте) ею изучалось изменение системы самооценок, степень конфликтности мотивации. Автор делает вывод о том, что мотивационные конфликты и низкая дифференцированность когнитивной и аффективной «образующих» самосознания являются основными источниками нестабильности самоотношения. Одной из важнейших особенностей «пограничного сознания», сознания малодифференцированного являются непереносимость амбивалетности и противоречия, невозможность существования в субъективной картине мира и образа Я «хорошего» и «плохого».

Самооценка прямо связана с процессом социальной адаптации и дезадаптации личности. Несмотря на всю противоречивость современных данных о самооценке несовершеннолетних правонарушителей, практически общепризнанными являются представления о связи самооценки с асоциальным и делинквентным поведением подростка. Споры же в основном сводятся к выяснению того, какой характер носит самооценка правонарушителя – завышенный или заниженный. Наиболее распространенной позицией, основанной на эмпирических исследованиях, является позиция о завышенной самооценке и у подростков-делинквентов (С. Н. Хоружий, Е. А. Яновская), и у взрослых правонарушителей (А. Р. Ратинов, Н. Д. Константинова, Е. М. Собчик). Отмечается в связи с этим, что неадекватная, завышенная самооценка, связанная с социальной дезадаптацией личности, создает достаточно широкую зону конфликтных ситуаций и при определенных условиях способствует проявлению делинквентного поведения (А. Р. Ратинов).

Вход
Поиск по сайту
Ищем:
Календарь