Книга Подсознание может всё, или Управляем энергией желаний, страница 15 – Ксения Меньшикова, Анжелика Резник

Авторы: А Б В Г Д Е Ж З И Й К Л М Н О П Р С Т У Ф Х Ч Ш Ы Э Ю Я
Книги: А Б В Г Д Е Ж З И Й К Л М Н О П Р С Т У Ф Х Ц Ч Ш Щ Ы Э Ю Я
Бесплатная онлайн библиотека LoveRead.in

Онлайн книга «Подсознание может всё, или Управляем энергией желаний»

📃 Cтраница 15
Иллюстрация к книге — Подсознание может всё, или Управляем энергией желаний [_03.jpg]

Рис. 3. Изначальная структура сознания (первичная матрица)


Но это одна сторона медали. Вторая, чисто человеческая, заключается в обладании творческим началом, который позволяет воплощать индивидуальные и коллективные идеи, преобразовывая изначальный мир.


Ось личности «Я Есмь тот, кто Я Есмь» соединяет между собой природное, витальное начало и атмическое тело – творческое начало.

Вертикальный энергообмен демонстрирует миссию человека и человечества. Суть его в двух процессах:


1. Превращение низкочастотных вибраций физического мира в информацию, которая обогащает абсолют индивидуальным мироощущением.

2. Воплощение информационного посыла в материальном мире, где каждый человек проявляет индивидуальность прочтения этой информации.


Две противоположности – материальное и духовное, физическое и атмическое, энергетическое и информационное – основополагающие причины бытия. Переплетаясь и взаимодействуя, создают разнообразие красок и форм жизни, все коллизии индивидуального и коллективного сознания.

Когда рождается ребенок и Новый Человек приходит в этот Мир, в сознании взаимодействуют два влечения: выжить и познать.

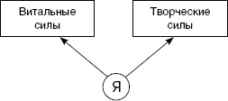
Иллюстрация к книге — Подсознание может всё, или Управляем энергией желаний [_04.jpg]

Рис. 4. Основные силы


Витальная сила заставляет ребенка находиться рядом с мамой. Стремление к познанию принуждает ползти от нее. Как только ребенок удаляется от источника безопасности – мамы, – возникает вполне обоснованное беспокойство. Потребность в безопасности не реализована.

Если малыш не спешит исследовать мир, а находится в безопасности рядом с мамой, остается нереализованной потребность познания. Любое действие маленького человека приведет к похожему результату: какое-то из стремлений не будет реализовано. И эта ситуация всегда вызывает внутреннее напряжение.

Разнонаправленность влечений обусловлена человеческой природой, ежесекундным взаимодействием в нашем сознании витального и творческого начал. Наличие базового внутреннего противоречия – причина психологических и эмоциональных блоков и энергетических меток, о которых мы подробно рассказывали в предыдущей книге. Это внутреннее противоречие неплохо иллюстрирует старый анекдот об обезьяне: «…И повелел Господь поделиться тварям живым на две группы: умных и красивых. И разделились звери. Только обезьяна осталась стоять одна. И спросил ее Господь, отчего она не выполнила приказа. На что ответила обезьяна: «Не могу же я разорваться!» Постоянное внутреннее противоречие, неуспокоенность – причина развития и постоянного движения.

Все события жизни, накопленный опыт – производное двух основных потребностей: витальной и творческой, безопасности и любопытства, желания жить и стремления познать. Когда развитие идет гармонично: страх компенсирован, а возможность познания расширяется посредством разумного воспитания и поддерживается обществом, то в результате мы получим сильную и гармоничную личность.

Стартовая площадка

Взаимодействие витального и творческого начал предопределяет возможность выбора. Но есть вещи, которые не выбирают. Родителей и место рождения, пол и состояние здоровья, способности и склонности. В сознании есть еще одна важная информация, вшитая в него изначально, полученная до рождения, – это тип реагирования, особенности отношения к себе и миру. Это информация каузального тела, или Предопределение. Иначе – карма.

Каждый приходит в Мир, обладая определенными возможностями. Это стартовая площадка, или точка отсчета. Нулевая отметка, с которой начинается движение. Результат этого движения зависит от осознанности и воли. Нередко, родившись в хорошей семье и обладая превосходными физическими и интеллектуальными данными, в течение жизни человек разбазарит все. Другой, не получив хорошего старта, но благодаря приложенным усилиям, достигает небывалых высот.

Что даст превосходный результат?


• Осознанное отношение к себе, жизненным ситуациям, планам и действиям.

• Способность воспринимать неудачи и кризисы как возможность совершенствования.

• Умение изменяться и приобретать новые инструменты.

• Собственное видение мира и осознание ценностного ряда.


Человек может принимать решения и выбирать жизненный путь исходя из витальных и творческих причин. Динамическое равновесие витального и творческого обеспечит успешную благополучную жизнь, наполненную интересом и радостью.

Хорошим подспорьем на жизненном пути будут навыки управления энергией и информацией, которые помогут осознанно направить витальную и творческую активность в заданное русло. Практики расширят границы сознания, устранят глубинные страхи и ограничения.

Вся практическая работа, описанная дальше, основана на трех постулатах: осознание, трансформация, принятие.


Осознание – техники, способствующие пониманию проблем и постановке задач. Помогают уяснить, что делать и зачем. Основной принцип в системе СоЗнание – все техники выполняются осознанно.

Трансформация – изменение состояния путем его преобразования. Психика и энергетика не приемлют насильственного вмешательства. Только естественные и поэтапные изменения помогут изменить внутреннее пространство сознания и получить во внешнем Мире результаты.

Принятие – это самая мощная сила для изменений себя и мира. Принятие всех обстоятельств жизни, особенностей внутреннего мира позволит осознать и трансформировать, чтобы, изменив себя, реализоваться во всем многообразии возможностей. Неприятие – потеря сил и времени на борьбу с ветряными мельницами.

Неприятие внешности и тела – отказ от родовой силы.

Неприятие окружения – отказ от возможности работать с социальными инструментами.

Неприятие способностей и достижений – отказ от контакта с творческим началом, обеднение сознания.

Принятие – это не пассивное соглашательство и отказ от действий. Ни в коем случае не следует так думать! Принятие – это возможность сказать себе, что именно сейчас, сию минуту начинается моя жизнь и новая точка отсчета. Принятие – это возможность «обнулить» отношение и избавиться от чувства вины или чувства обиды, избавиться от деструктивных факторов, которые направляют нашу жизнь по колее, уже построенной этими чувствами. Принятие – это возможность направить свою жизнь по новому пути развития, освободившись от ненужного балласта.


Мы поделимся с вами знаниями, опытом и технологиями. Вы создадите свое видение мира, свои техники, свои реальности. Сделаете свою жизнь полнее, ярче, интересней. Мы выполним свою миссию и переживем радость творения. А пока продолжим наше путешествие вперед, в глубины внутреннего мира, где без ограничений можно исследовать, трансформировать, творить.

Вход
Поиск по сайту
Ищем:
Календарь