Книга Психология позитивных изменений. Как навсегда избавиться от вредных привычек, страница 35 – Джеймс О. Прохазка, Джон К. Норкросс

Авторы: А Б В Г Д Е Ж З И Й К Л М Н О П Р С Т У Ф Х Ч Ш Ы Э Ю Я
Книги: А Б В Г Д Е Ж З И Й К Л М Н О П Р С Т У Ф Х Ц Ч Ш Щ Ы Э Ю Я
Бесплатная онлайн библиотека LoveRead.in

Онлайн книга «Психология позитивных изменений. Как навсегда избавиться от вредных привычек»

📃 Cтраница 35
Иллюстрация к книге — Психология позитивных изменений. Как навсегда избавиться от вредных привычек [i_018.jpg]

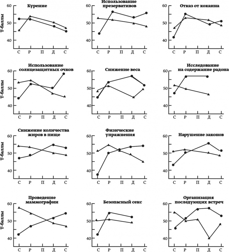
Рис. 6.1. Связь между плюсами и минусами изменений и их этапами


Затем субъективно воспринимаемая значимость минусов изменения всегда уменьшается от этапа размышлений к этапу действия. Соответственно, второй принцип достижения успеха гласит: если вы хотите перейти от размышлений к действию, снизьте субъективно воспринимаемую значимость минусов изменения ваших привычек. Не думайте и о плюсах изменения. О них вы уже думали.

После этого озарения я, однако, стал подозревать, что из него можно извлечь что-то еще. В конце концов, графики отражали 80 тысяч показателей от более трех тысяч испытуемых из двенадцати различных групп. Если возможно обобщить принципы человеческого поведения, то эти графики должны дать к этому ключ.

Потом я обратил внимание, что субъективно воспринимаемая значимость плюсов изменения увеличивается более быстрыми темпами, чем снижается субъективно воспринимаемая значимость минусов. Я достал одно из своих «высокотехнологичных» приспособлений – линейку – и измерил максимальное увеличение субъективно воспринимаемой значимости плюсов изменения при переходе этапа сопротивления к этапу действия и максимальное снижение субъективно воспринимаемой значимости минусов. К моему изумлению (и к изумлению каждого ученого-бихевиориста, которому я показывал результаты), стало очевидно, что за двумя принципами достижения успеха, упомянутыми выше, лежат два математических соотношения. Я обнаружил, что во всех двенадцати группах субъективно воспринимаемая значимость плюсов изменения в среднем увеличивалась с шагом в 10 T-баллов. И во всех двенадцати группах субъективно воспринимаемая значимость минусов изменения уменьшалась в среднем с шагом в 4,96 T-балла [19] .

Моя жена Джен в этот момент читала в гостиной. Я вбежал туда, как полоумный, крича об удивительных открытиях, которые только что сделал. Я не мог в это поверить. Это было слишком хорошо, чтобы быть правдой. До этого момента никто не выявил ничего подобного. Со свойственным ей спокойствием Джен заметила, что, похоже, я впал в состояние легкого помешательства. Должен сказать, я и чувствовал себя именно так. Я никак не мог поверить своим глазам и доводам разума.

Но я был готов продолжать исследование и подвергнуть свои драгоценные принципы движения от этапа к этапу самым изощренным проверкам. Я был готов к обеду разрушить все, что открыл утром. В этом и состоит долг ученого: ты должен быть готов опровергнуть то, во что тебе больше всего хочется верить.

Итак, я положил перед собой статью, опубликованную год назад. В ней рассказывалось о 1464 курильщиках на первых трех этапах изменения. Я предполагал, что от этапа сопротивления к подготовительному этапу субъективно воспринимаемая значимость плюсов изменения будет увеличиваться с шагом в 10 T-баллов. Шаг составил 9,6 Т-балла. Я предсказывал, что субъективно воспринимаемая значимость минусов будет уменьшаться с шагом в 5 Т-баллов. Шаг составил 5,6 Т-балла.

Я чувствовал себя так, будто только что снял крышку с ящика Пандоры, в котором в течение веков были сокрыты невероятно важные принципы изменения человеческого поведения. Я понимал, что мощь науки всегда можно использовать либо во благо, либо во вред. Я представил себе магнатов табачной индустрии, которые первыми начнут применять эти принципы при разработке рекламных кампаний, мотивирующих людей к курению.

Но страхи, подобные этому, не могут остановить развитие науки. Если ты ученый, нужно делиться любым озарением. Я собрал коллег в нашем исследовательском центре и рассказал им о своем открытии. Их комментарии были сдобрены словами «удивительно», «невероятно» и «потрясающе».

В самом начале исследования я опасался, что саморазрушающие модели поведения и наши попытки избавиться от них не поддаются определению, как электроны, чью скорость и местонахождение одновременно никогда нельзя точно вычислить. Бесспорно, существовала вероятность того, что действие, проистекающее из личной свободы, будет следовать некоторым принципам неопределенности. Возможно, люди совершали непредсказуемые «квантовые прыжки» от одного этапа к другому, и моя уверенность в том, что некая модель все-таки существует, просто стала следствием эмоциональной потребности помогать людям. Если бы изменение нельзя было подвергнуть анализу, мы бы не смогли помогать людям избавляться от вредных привычек. Им бы пришлось просто полагаться на брошенные кости – в которые, несмотря на то что сказал Эйнштейн, Бог все-таки играет, как мне однажды показалось.

После некоторого времени стало очевидно, что самоизменение поддается и определению, и анализу. Однако со всеми нашими предыдущими открытиями мы не были готовы осознать, до какой степени оно может быть предсказуемо.

Бихевиористы и социальные психологи обычно бывают невероятно рады, когда им удается предсказать, какая переменная влияет на человеческое поведение. Но у них никогда не получалось предугадать величину этих переменных. Такое предсказание исторически было прерогативой физики и других естественных наук. Как сказал директор Центра зависимостей при знаменитой клинике Модсли в Лондоне: «Исследования поведения никогда раньше себя так не вели».

Чтобы оценить выведенные мной два математических закона движения от этапа к этапу, вам нужно знать, что в психологических тестах 10 T-баллов равняются одному стандартному отклонению. Стандартное отклонение (СО) измеряет, насколько данная величина отличается или отклоняется от обычной или средней для всего населения. Например, при измерениях IQ среднее значение у населения – 100, а стандартное отклонение равно 15. То есть тех, чей интеллект превышает среднепопуляционный на два стандартных отклонения (IQ = 130 и выше), считают одаренными, а тех, чей интеллект ниже среднепопуляционного на два стандартных отклонения (IQ = 70 и ниже), принято считать умственно отсталыми. Это дает важный измерительный инструмент стандартного отклонения. Увеличение IQ на 15 единиц может существенно отразиться на вашей жизни. Теперь давайте рассмотрим наши два закона.

Сильный закон прогресса гласит, что прогрессия при переходе от этапа сопротивления (С) к этапу действия (Д) характеризуется возрастанием значимости плюсов (+) изменения при стандартном отклонении (СО), примерно равном 1. Формула выглядит следующим образом:

С → Д = 1 СО ↑ +

Слабый закон прогресса гласит, что прогрессия при переходе от этапа сопротивления (С) к этапу действия (Д) характеризуется снижением значимости минусов (—) изменения при стандартном отклонении (СО), примерно равном 0,5.

С → Д = 0.5 СО ↓ –

Каковы следствия этих принципов? Во-первых, если вы находитесь на этапе сопротивления изменениям при работе над определенной проблемой, вам нужно увеличить субъективно ощущаемую значимость плюсов изменения на 1 СО, чтобы хорошо подготовиться к осуществлению эффективных действий. Это как увеличить свой IQ на 15 единиц. К счастью, мы уверены, что, читая эту книгу, обычный человек может увеличить свой IQ минимум на 15 единиц. Возможно, после ее прочтения вы и не станете гением, но опыта в деле самоизменения у вас точно прибавится!

Вход
Поиск по сайту
Ищем:
Календарь