Книга Взлом креатива. Как увидеть то, что не видят другие, страница 14 – Майкл Микалко

Авторы: А Б В Г Д Е Ж З И Й К Л М Н О П Р С Т У Ф Х Ч Ш Ы Э Ю Я
Книги: А Б В Г Д Е Ж З И Й К Л М Н О П Р С Т У Ф Х Ц Ч Ш Щ Ы Э Ю Я
Бесплатная онлайн библиотека LoveRead.in

Онлайн книга «Взлом креатива. Как увидеть то, что не видят другие»

📃 Cтраница 14
Стратегия 2
Визуализировать мышление

Творческий взлет в эпоху Возрождения был тесно связан с фиксацией и передачей больших объемов знаний на параллельном языке – языке рисунков, диаграмм и графиков (вспомните хотя бы знаменитые диаграммы и эскизы Галилея). Галилей произвел революцию в науке, потому что его мысли стали осязаемы и наглядны благодаря диаграммам и рисункам, в то время как его современники использовали привычные словесные и математические средства выражения. Его рисунки небесных тел показывают глубокую визуальную логику, позволившую зайти гораздо дальше современников и изменить историю науки.

Леонардо да Винчи тоже прибегал к рисункам, диаграммам и графикам для систематизации информации, формулировки проблем и их решения. В записях Леонардо ключевыми можно считать именно рисунки и диаграммы, а не слова. Иными словами, рисунки – это не просто иллюстрации заметок; скорее заметки служат комментариями к рисункам. Язык был настолько второстепенным для Леонардо, что тот использовал его для наименования или описания открытий, а не для того, чтобы эти открытия совершать.

Язык диктует нашему разуму определенный способ мышления. Возьмем розу. Словами мы можем сказать, что роза – это красный, розовый или белый цветок, который дарят прекрасной женщине, милой хозяйке или кладут на могилу усопшего друга. Заметьте, насколько простое вербальное описание цветка сдерживает человеческое любопытство, направляя по проторенным тропам мышления. Язык словно рисует магический круг, из которого нет другого выхода, кроме перехода в другой круг (на другой язык). Представьте сложности таких ученых, как, например, Эрнест Резерфорд, в первые годы развития ядерной физики. В переводе с греческого слово «атом» означает «неделимый». Мнение о том, что атом не делится, было прочно зафиксировано в сознании, и только когда физики вырвались за пределы вербально-математического языкового порочного круга и перешли на визуальное мышление, им удалось графически доказать, что атом – делимая единица материи.

В своей работе «Об истине и лжи во вненравственном смысле» Ницше сделал блестящее замечание по поводу того, что словесное описание реальности невозможно из-за самой структуры языка. Неудивительно, что многие гении, в том числе физик Ричард Фейнман, предпочитали мыслить образами. Фейнман вывел квантовую электродинамику на авансцену физики, описав ее визуально, диаграммами, а не формулами, как другие ученые. Это привело к созданию шаблона знаменитых диаграмм Фейнмана, которые сейчас используют все специалисты по теории поля. Ученый рассмотрел всю собранную информацию, перевел ее в диаграммы и обнаружил давно созревшие идеи. Диаграммы Фейнмана позволили физикам увидеть мир так, как это ранее и представить было нельзя.

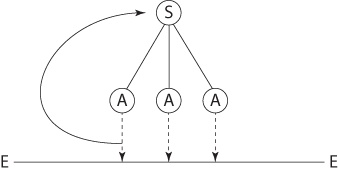
Когда Эйнштейн обдумывал проблему, то прибегал к образному и пространственному мышлению вместо математических и языковых доказательств. Более того, он считал, что слова и числа, написанные или произнесенные, не играют значительной роли в процессе мышления. Одно из наиболее убедительных описаний философии науки содержится в письме Эйнштейна к другу Морису Соловину. В нем автор объяснил сложность попыток использования слов для описания философии науки, потому что, по его мнению, он обдумывал идеи схематически. Письмо начиналось простым рисунком, который состоял из (1) прямой линии, отображающей Е – опыт (experience), доступный нам, и (2) А, аксиом, расположенных выше этой линии, но непосредственно с нею связанных.

Иллюстрация к книге — Взлом креатива. Как увидеть то, что не видят другие [i_017.jpg]

(Это приблизительная копия. Оригинальный рисунок Эйнштейна находится в его архивах, хранящихся в иерусалимском Еврейском институте Израиля.)

Эйнштейн пояснял, что с психологической точки зрения А покоится на Е. Однако не существует логических переходов от Е к А – лишь интуитивная связь, которая в любой момент может утратить силу. Из аксиом можно сделать определенные выводы (S), которые могут оказаться верными. По сути, Эйнштейн хотел сказать, что теория определяет наши наблюдения. Ученый считал, что научное мышление в основе своей спекулятивно и лишь после получения конечного продукта приводит к системе, характеризующейся «логической простотой». Хотя он не мог удовлетворительно описать свои мысли словами, все же дал возможность проследить за ходом мысли, составив диаграммы основных черт и характеристик своей философии.

Составление диаграмм мышления

Записные книжки Эйнштейна, Грэм, да Винчи, Эдисона и Дарвина дают понять, что одной из главных причин их величия стала способность к визуальному представлению предметов – составлению диаграмм и схем. В записных книжках Дарвина часто встречается схематическое изображение природы в виде неправильно ветвящегося дерева. Подобные рисунки помогали фиксировать мысли об эволюционных изменениях, поскольку он мог в одно и то же время думать в разных направлениях и сводить, казалось бы, не имеющую отношения друг к другу информацию воедино. Каждая диаграмма была до краев наполнена глубоким символическим смыслом. Дарвин сделал несколько таких рисунков, стремясь как к их улучшению, так и к пониманию уже известного и использованию их в качестве руководства того, что пока еще не известно.

Иллюстрация к книге — Взлом креатива. Как увидеть то, что не видят другие [i_018.jpg]

Рисунки Дарвина стали поворотным моментом для его мышления, и это привело ученого к созданию теории эволюции. Он использовал диаграммы для работы разными способами: чтобы классифицировать взаимосвязи разных видов друг с другом, а также визуализировать случайность жизни, иррациональность природы, бурный рост и необходимость поддерживать постоянное количество видов. В течение пятнадцати месяцев после того, как Дарвин нарисовал первое дерево-диаграмму, он сформулировал все главные пункты своей теории эволюции.

Попробуйте рассмотреть вашу задачу не только словесно, но и с помощью рисунков. Прежде всего максимально полно запишите условие задачи. Затем составьте диаграмму, поместив проблему в центре листка и обведя ее прямоугольником. Спросите себя: «Каковы основные черты и характеристики этой проблемы?» Все возможные ответы запишите над прямыми линиями, исходящими из прямоугольника. Внизу приведена простая диаграмма по повышению производительности организации. Основные характеристики проблемы выходят из нее в виде ветвей.

Иллюстрация к книге — Взлом креатива. Как увидеть то, что не видят другие [i_019.jpg]

Неплохо было бы пойти дальше, добавив ответы на вопросы. Иными словами, если Х – это ответ на первый вопрос («Каковы основные черты и характеристики проблемы?»), можно уточнить: «Каковы основные черты и характеристики Х?» (Например, каковы основные черты и характеристики людей, капитала, технологии и т. д.?) Обведя окружностями взаимосвязанные ответы и соединив их друг с другом контрастным цветом, вы постепенно придадите ощутимую форму своему пониманию проблемы. Такой способ организации информации подталкивает вас к поиску взаимосвязей и отношений между ответами. Завершив работу, спросите себя следующее.

Вход
Поиск по сайту
Ищем:
Календарь