Онлайн книга «Тюрки или монголы? Эпоха Чингисхана»
|
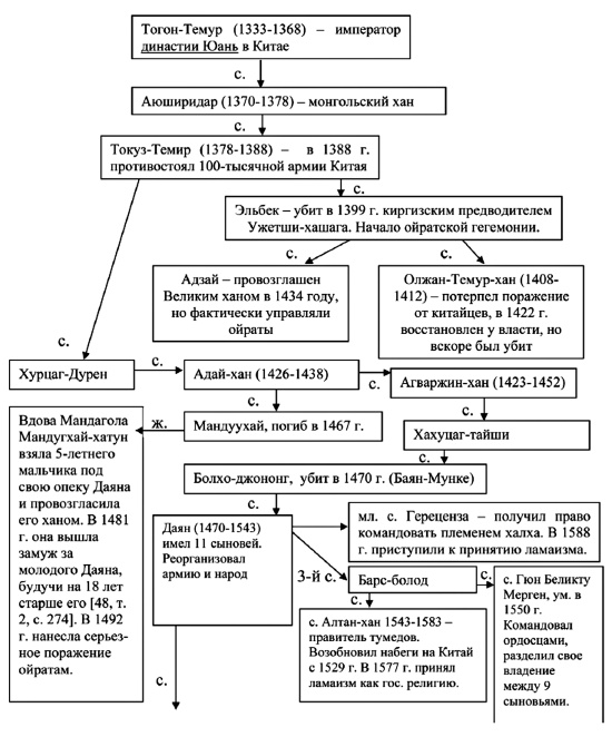
Все сказанное выше относится и к чорасам, которые составляли неотъемлемую часть могулов. А чоросы не только свободно общались с ойратами, а даже возглавляли их объединение. Так на каком языке они общались между собой? В истории Казахстана в борьбе против джунгар ярким, светлым пятном высвечивается знаменитая Орбулакская битва (1643 г.), когда казахский хан Жангир, имея всего 600 воинов с огнестрельным оружием, используя военную хитрость и тактический приём, одержал внушительную победу над джунгарами. В этом сражении Жангиру оказал существенную помощь эмир Самарканда казах Жалантос-Бахадур со своим 20-тысячным войском. В военных сражениях с калмаками народное ополчение казахов в 1710–1713 годы одерживает победы, но в 1714 г. потерпело крупное поражение. В 1717 году в результате 3-х дневной битвы на р. Аягуз казахи потерпели полный разгром от джунгар. В следующем году джунгары захватили весь Юг страны. Весной 1723 года стотысячная, хорошо вооруженная армия калмаков вторглась на Казахскую Орду. Известный историк и писатель Мухтар Магауин так описывает последствия джунгарского нашествия: «Обессилевший от прежних войн, запуганный, не имевший достойного вождя, многострадальный народ не мог оказать существенного сопротивления ойратскому вторжению. Отдельные бои представляли собой лишь последние судороги обреченных. Были физически истреблены почти все, кто мог носить оружие; беззащитный, беспомощный народ понес неописуемые потери, оставшиеся в живых побросали родные места и бежали, спасаясь, кто как мог… – начался катастрофический период в истории казахской нации, получивший название Актабан-шубырынды, алкаколь-сулама» – годы великого бедствия». По Шакариму в этот период казахский народ потерял две трети своей численности» [85, с. 99]. Хан Младшего жуза Абулхаир, единственный из казахских чингизидов, в короткий срок сумел организовать 20-тысячное народное ополчение и нанес упреждающий удар Калмыцкому Аюку-хану, чтоб тот не соединился с основными силами джунгар. А затем штурмом овладел на Юге городом Туркестан. Первое крупное поражение джунгарские войска потерпели в 1727 году от народного ополчения казахов в Булантинской битве. А весной 1730 года южнее оз. Балхаша произошла еще одна, так называемая Аныракайская битва, где калмаки потерпели сокрушительное поражение и поспешно стали отступать к границам своего ханства. В конце февраля 1741 года 30-тысячная джунгарская армия вторглась в Казахстан и вновь дошла с боями до Ишима и Тобола. Абылай-султан попал в плен к джунгарам. И беспрецедентный случай: ойратский правитель Галден-Цэрен выдает за своего пленника свою племянницу Тоныш-ханум и заключает с Абылай-султаном договор о мире между Джунгарией и Казахским ханством. Из плена Абылай-султан был освобожден два года спустя, в марте 1743 года, когда Абулмамбет-хан вместо Абылая прислал джунгарам в аманаты своего сына Абулфеиза. В начале 1755 года война между Китаем и Джунгарией вступила в последнюю фазу. В результате межклановой борьбы внутри самих джунгаров, силы их слабели. Их внутренние противоречия использовал Абылай-хан в свою пользу. Маньчжуро-Цинская династия старалась всеми силами уничтожить Джунгарию и методично приступила к поголовному истреблению населения – «раз и навсегда» разрешить джунгарский вопрос. «Джунгарское ханство, несмотря на свою мощь и силу, все грандиозные амбиции и планы своих ханов, не только утратило свою государственность, свою территорию, но и исчезло с лица земли, прекратив своё существование» [34, с. 67]. * * * Для наглядности помещаем генеалогическую схему правления ойратов в Монголии. ![]() Ойраты в Монголии Окончательно ойратов вытеснили на запад из Монголии только в 1552 году. ![]() Схема Джунгарских предводителей 6. Монголы после 1368 года Последний китайский император, потомок Хубилая, Тогон-Темюр бежал из Пекина в Монголию (1368 г.) и умер в 1370 году. Его сын Аюширидара принял титул Великого хана и правил в 1370–1378 годах. Его сын Токуз-Темюр был убит в 1388 году. Его преемник Эльбек также был убит в 1399 году. Начало ойратской гегемонии. Борджегинское ханство от братьев Чингисхана Тэмуге и Джочи-косара было ликвидировано в 1425 году. Исходя из хронологии событий, происходивших на территории Монголии с 1372 по 1414 год (за 42 года), китайские войска восемь раз вторгались в Монголию. И каждый раз, надо полагать, оставляли после себя не райские кущи, а выжженную землю, ограбленное и перебитое население. Последствия тяжелейшие. * * * В результате сложных внутриклановых и межсемейных разборок в Восточной Монголии утвердился молодой и энергичный Даян-хан (1470–1543) (15-й потомок Чингисхана). Следуя заветам своего предка, великого Чингисхана, Даян-хан реорганизовал армию и произвел смешение племен, собранных со всех окраин Монголии и заселил ими опутостошенные войной районы Центральной и Восточной Монголии. Реорганизация происходила в упорной и кровопролитной борьбе. Никто не хотел перемещаться от своих привычных мест кочевок. Так получилось, например, население Кругобайкалья, которые стали называться бурятами, имеют в своем лексиконе много тюркских слов и в родовом отношении стоят гораздо ближе к ойратам, чем к восточным монголам. А вновь образованные племена, которые сосредоточились по реке Халха, озеро Бор-Нур и нижнего течения реки Корулен, получили название халха. По другой версии слово «халха-минь» («щит мой») получило свое название от места, откуда монголы совершали набег на Китай и куда снова возвращались. К южным монголам относятся монголы, живущие во Внутренней Монголии (Северный Китай КНР) – это хорчины, барины, онпюты, чахары, тумуты, хошуты, жалаиры, матай, найманы, урянхайцы, халха и т. д., а также и некоторые племена, ранее входившие в состав западных монголов. В 2005 г. во Внутренней Монголии (КНР) проживало 4 млн. монголов, а всего в Китае – 6 млн. монголов. Говорят на 3-х диалектах монгольского языка. ![]() ![]() Правитель южных монголов Алтан-хан (1507–1583) один раз ходил походом в Китай, сжёг предместья Пекина, но не смог добиться большего. В 1552 г. совместно с племянником Хутуктай Сеценом вынудил ойратов бежать на запад. А в 1562 году южные монголы нанесли мощный удар ойратам, в результате чего последние отступили к реке Иртыш. В 1578 году приняли буддизм. |
![Иллюстрация к книге — Тюрки или монголы? Эпоха Чингисхана [i_012.jpg] Иллюстрация к книге — Тюрки или монголы? Эпоха Чингисхана [i_012.jpg]](img/book_covers/053/53345/i_012.jpg)
![Иллюстрация к книге — Тюрки или монголы? Эпоха Чингисхана [i_013.jpg] Иллюстрация к книге — Тюрки или монголы? Эпоха Чингисхана [i_013.jpg]](img/book_covers/053/53345/i_013.jpg)
![Иллюстрация к книге — Тюрки или монголы? Эпоха Чингисхана [i_014.jpg] Иллюстрация к книге — Тюрки или монголы? Эпоха Чингисхана [i_014.jpg]](img/book_covers/053/53345/i_014.jpg)
![Иллюстрация к книге — Тюрки или монголы? Эпоха Чингисхана [i_015.jpg] Иллюстрация к книге — Тюрки или монголы? Эпоха Чингисхана [i_015.jpg]](img/book_covers/053/53345/i_015.jpg)