Книга Власть рода. Родовые программы и жизненные сценарии, страница 27 – Валерий Докучаев, Лариса Докучаева

Авторы: А Б В Г Д Е Ж З И Й К Л М Н О П Р С Т У Ф Х Ч Ш Ы Э Ю Я
Книги: А Б В Г Д Е Ж З И Й К Л М Н О П Р С Т У Ф Х Ц Ч Ш Щ Ы Э Ю Я
Бесплатная онлайн библиотека LoveRead.in

Онлайн книга «Власть рода. Родовые программы и жизненные сценарии»

📃 Cтраница 27
Иллюстрация к книге — Власть рода. Родовые программы и жизненные сценарии [i_041.jpg]

Рис. 22. Модель-рисунок сознательное – бессознательное


✓ Биологическая жизнь сравнивается с океаном, где осознаваемое явление – лишь миг, представленный поднявшейся волной над бездной бессознательного – спокойного океана.

Рассматривая два этих соображения, можно представить себе модель-рисунок, которая совмещает в себе представление о сознательном и бессознательном. Существует достаточно много справочной литературы, определяющей термины сознательное и бессознательное. Мы не претендуем сейчас на уточнение содержания этих терминов.

Та часть рисунка, которая находится выше горизонтальной линии, обозначает сознательное человека, а которая ниже горизонтальной линии – бессознательное человека.

В представленной модели привлекает тот факт, что две области (знания и незнания о человеке) совмещены в одном рисунке. Выше горизонтальной линии – область, в которой человек осознаёт себя. Ниже горизонтальной линии – область, о которой человек строит гипотезы.

3.2. Математическая обработка модели

Над горизонтальной линией человек видит себя явно дискретным биологическим объектом, границы которого чётко очерчены телом.

Такие объекты взаимодействуют друг с другом. Скорости их взаимодействия без применения технических приспособлений находятся в пределах девяти метров в секунду. Это те скорости, быстрее которых человек, если он использует только свои внутренние энергетические ресурсы, пока не может передвигаться. Кроме того, объекты могут общаться в поле прямой видимости и в поле звуков, которые они издают. Достаточно возникнуть препятствию в виде стены, горы, расстояния, и можно считать, что других людей не существует.

Создав технические приспособления, человек расширил диапазон скоростей, с которыми он может перемещаться, взаимодействовать с другими людьми. Он делает технические объекты, которые могут двигаться со скоростями порядка 11 км/с.

Формально взаимодействие биологических объектов можно рассматривать с помощью известных физических формул. Так, например, гравитационное взаимодействие масс, выраженное силой Ньютона, имеет вид:

Иллюстрация к книге — Власть рода. Родовые программы и жизненные сценарии [i_042.jpg]

где

k1 = 6,67 × 10 11 – постоянная, (н × м2): кг2;


m1, m2 – массы тел, кг;

г – расстояние между массами, м.


Эксперимент с этой силой доступен любому человеку: можно уронить монету или перепрыгнуть препятствие – в любом случае взаимодействие с Землей будет описываться представленным уравнением.

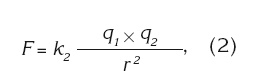
Или взаимодействие биологических объектов может быть описано с помощью формулы для силы Кулона:

Иллюстрация к книге — Власть рода. Родовые программы и жизненные сценарии [i_043.jpg]

где

к2 = 9 × 109 – постоянная, (н × м2): Кл2;


q1, q2 – единичные заряды, Кл;

г – расстояние между зарядами, м.


Эксперимент с этой силой сегодня тоже доступен каждому. Достаточно совместить в одежде шерсть и синтетику, как вы ощутите действие этой силы. Между вами и человеком, к которому вы решились прикоснуться, проскочит искра. Каждый раз нас удивляет это явление, хотя его описывает давно известная людям кулоновская формула.

Обе эти формулы написаны для диапазона малых скоростей. Этот диапазон задан условием V << С, то есть скорость взаимодействующих объектов V значительно меньше скорости распространения электромагнитных колебаний в вакууме С, которая приблизительно равна 3 × 108 м/с (скорость света).

Может ли человек, не применяя технических новинок, общаться с другими людьми или взаимодействовать с какими-нибудь объектами со скоростями, сопоставимыми со скоростью света?

Думаю, что человек, знакомый с философскими трактатами Востока, ответит на этот вопрос быстро и положительно.

Воспитанники ньютоно-картезианской системы, к коим относится наша европейская культура, или сразу ответят на вопрос отрицательно, или будут размышлять. Материалистическое видение мира (видение мира сквозь массу покоя или сквозь призму малых скоростей) не даёт им оснований для положительного ответа на поставленный вопрос.

Не надо ставить сложные эксперименты. Достаточно вспомнить, что наш глаз взаимодействует непосредственно со светом. Природа предусмотрела поступление информации к человеку с максимально возможной скоростью. И обратите внимание, эта информация поступает в старый мозг, обрабатывается там (эта ступень взаимодействия находится в зоне бессознательного) и передаётся в виде картинки в молодой мозг. При этом делается всё, чтобы человек остался в зоне малых скоростей работы с видимым. Достаточно хоть как-то сбить режим обработки скоростной информации, как человек выпадет из реальности сообщества ему подобных людей.

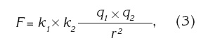
В таком случае, чтобы осмыслить достоверно информацию о взаимодействии двух объектов со скоростями С (например, старый мозг – свет), нужно воспользоваться понятиями, формулами и уравнениями теории относительности. Интересно, как изменится уравнение для силы Кулона, если его записать для объектов, взаимодействующих со скоростями, сопоставимыми со скоростью света? Уравнение для силы Кулона будет иметь вид:

Иллюстрация к книге — Власть рода. Родовые программы и жизненные сценарии [i_044.jpg]

где


k =(v2 : c2): (1 – v2 : c2)1/2.


Уравнения (2) и (3) отличаются только коэффициентом к. Но этот коэффициент очень многое меняет.

Во-первых, при скоростях У<< С положительный заряд q1 отталкивает другой положительный заряд q2, а при скоростях У, сопоставимых с С, положительный заряд притягивает к себе другой положительный заряд.

Во-вторых, чтобы осмыслить информацию о взаимодействиях, которые происходят с такими большими скоростями (а это зона бессознательного – ниже горизонтальной прямой), надо пользоваться уравнениями Шрёдингера, Дирака. Решения уравнения Шрёдингера, как известно, зависят от целых чисел натурального ряда. Частотные характеристики энергии взаимодействия в таком случае тоже дискретны.

Вход
Поиск по сайту
Ищем:
Календарь