Книга Гибкое управление проектами и продуктами, страница 11 – Борис Вольфсон

Авторы: А Б В Г Д Е Ж З И Й К Л М Н О П Р С Т У Ф Х Ч Ш Ы Э Ю Я
Книги: А Б В Г Д Е Ж З И Й К Л М Н О П Р С Т У Ф Х Ц Ч Ш Щ Ы Э Ю Я
Бесплатная онлайн библиотека LoveRead.in

Онлайн книга «Гибкое управление проектами и продуктами»

📃 Cтраница 11
Иллюстрация к книге — Гибкое управление проектами и продуктами [i_043.jpg]

Второй раунд

Иллюстрация к книге — Гибкое управление проектами и продуктами [i_044.jpg]

Консенсусная оценка


В процессе обсуждения сглаживаются разногласия между владельцем продукта и командой, владелец продукта начинает понимать процесс работы над задачей, а команда точнее и детальнее понимает суть задачи.

Ксения Колосова, руководитель проектов

Отбор задач на спринт

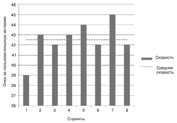
Команда отбирает задачи на спринт в соответствии со своей скоростью и приоритетами, установленными владельцем продукта. Скорость прогнозируется на основе эмпирических данных за прошлые спринты с учетом реальных обстоятельств, например болезни или отпуска сотрудника.

Иллюстрация к книге — Гибкое управление проектами и продуктами [i_045.jpg]

Скорость команды за последние восемь спринтов


На схеме, изображенной ниже, в спринт отбираются истории пользователей A, B, C, D и F.

Иллюстрация к книге — Гибкое управление проектами и продуктами [i_046.jpg]

Отбор элементов журнала пожеланий продукта в журнал пожеланий спринта


Диаграмма сгорания

Для мониторинга прогресса в Scrum используется специальный график – диаграмма сгорания (Burndown Diagram). По горизонтальной оси на таком графике откладываются дни спринта, а по вертикальной – количество оставшихся «пунктов» и/или закрытых историй пользователей. Дополнительно строится идеальная диаграмма сгорания, которая показывает запланированный ход работ.

Иллюстрация к книге — Гибкое управление проектами и продуктами [i_047.jpg]

Диаграмма сгорания показывает, что спринт завершился в соответствии с планом


В дальнейшем анализ будем проводить по количеству оставшихся «пунктов», но все сказанное может распространяться и на истории пользователя.

Анализ производится путем сравнения реального графика с идеальным:

• если реальный график выше идеального, значит, команда отстает от плана;

• если реальный график ниже идеального – команда опережает план.


Анализ диаграммы сгорания во время спринта. Для единообразия анализ будем проводить на пятый день спринта, хотя на практике диаграмму сгорания можно использовать с третьего дня для выработки корректирующих действий.

Рассмотрим самую стандартную ситуацию – с отставанием от графика.

Иллюстрация к книге — Гибкое управление проектами и продуктами [i_048.jpg]

Отставание от плана


Команда должна на очередном скрам-митинге обсудить, почему очки за пользовательскую историю сгорают так медленно, и выработать контрмеры. Самые распространенные причины следующие:

• серьезная ошибка в планировании;

• болезнь или иная причина отсутствия одного или нескольких членов команды;

• недооценивание и реализация рисков (обычно технологических).

Об отставании необходимо максимально оперативно сообщить владельцу продукта, если он не ведет ежедневный мониторинг диаграммы сгорания. Если команда сама не сможет выработать контрмеры, нужно, чтобы владелец продукта убрал из спринта одну или несколько историй пользователя с минимальным приоритетом.

Обратной ситуацией является опережение плана.

Иллюстрация к книге — Гибкое управление проектами и продуктами [i_049.jpg]

Опережение графика


В таком случае команде необходимо в журнал пожеланий спринта взять одну или несколько дополнительных историй пользователей с высшим приоритетом, которые не вошли в спринт.

Доска задач

Самым наглядным инструментом мониторинга и управления внутри спринта является доска задач, которая по функционалу похожа на аналогичный инструмент из канбана. Однако, поскольку в Scrum имеются фиксированные итерации, доска по завершении спринта «обнуляется» – с нее убираются все стикеры.

На стикерах указывается наименование истории пользователя, и они двигаются по соответствующим состояниям во время спринта. В начале спринта все истории пользователей находятся в первом столбце, отсортированные вертикально по важности.

Иллюстрация к книге — Гибкое управление проектами и продуктами [i_050.jpg]

Все истории в первом столбце и отсортированы по важности


По мере реализации историй пользователей члены команды меняют статусы задач, и доска к середине спринта выглядит примерно так.

Иллюстрация к книге — Гибкое управление проектами и продуктами [i_051.jpg]

Вид доски в середине спринта


Команда выполняет задачи по важности, начиная с самых верхних, доводя их до статуса «Готово». Если все истории пользователей удалось реализовать, то при завершении спринта доска будет выглядеть следующим образом.

Иллюстрация к книге — Гибкое управление проектами и продуктами [i_052.jpg]

Доска при завершении спринта, если все истории были реализованы


Еще одним способом использования доски является следующий подход:

• истории пользователей берутся достаточно большие (3–7 на спринт) и располагаются в отдельном столбце;

• истории пользователей разбиваются на небольшие продуктовые задачи, которые и передвигаются по состояниям по соответствующей дорожке.

Иллюстрация к книге — Гибкое управление проектами и продуктами [i_053.jpg]

Истории пользователей разбиваются на продуктовые задачи


Теории X и Y

Существуют две фактически противоположные друг другу теории в мотивации людей: X и Y.

Иллюстрация к книге — Гибкое управление проектами и продуктами [i_054.jpg]

Теории X и Y

Вход
Поиск по сайту
Ищем:
Календарь