Книга Подчинение авторитету. Научный взгляд на власть и мораль, страница 31 – Стэнли Милгрэм

Авторы: А Б В Г Д Е Ж З И Й К Л М Н О П Р С Т У Ф Х Ч Ш Ы Э Ю Я
Книги: А Б В Г Д Е Ж З И Й К Л М Н О П Р С Т У Ф Х Ц Ч Ш Щ Ы Э Ю Я
Бесплатная онлайн библиотека LoveRead.in

Онлайн книга «Подчинение авторитету. Научный взгляд на власть и мораль»

📃 Cтраница 31

Итак, автоматы существуют по отдельности как саморегулирующиеся всеядные. Чтобы соединить их хотя бы в самую примитивную и незатейливую форму социальной организации, к вышеописанной модели нужно что-то добавить. Необходимо обуздать нерегулируемое проявление индивидуальных аппетитов, в противном случае автоматы уничтожат друг друга. Иначе говоря, другие автоматы будут рассматриваться лишь как части внешней среды и разрушаться или использоваться вследствие своей питательной ценности. Мы должны добавить к устройству новую важную особенность: ингибитор, который помешает автоматам уничтожить друг друга. С добавлением этого общего ингибитора автоматы смогут занимать одну и ту же географическую область без риска взаимоуничтожения. Чем выше степень взаимозависимости между автоматами, тем более эффективными эти ингибиторы должны быть и тем более широкий спектр действия иметь.

В общих чертах, когда действие индивида инициируется силами внутреннего напряжения, оно неизбежно сдерживается механизмами, присущими данному индивиду, чтобы избежать действия, направленного против родственных членов вида. Если такой механизм сдерживания не развивается, вид погибает и эволюционные процессы должны вырабатывать новую схему, приемлемую для выживания. Как напоминает нам Эшби (Ashby, 1956):

Организмы, которые мы наблюдаем сегодня, глубоко затронуты селективным действием, отсевом, происходившим в течение 2 млрд лет. Любая форма, которой не хватало способности к выживанию, вымерла; и сейчас почти каждая форма несет на себе отпечаток адаптации с целью обеспечить выживание, а не любой другой возможный исход. Глаза, корни, реснички, раковины и когти устроены так, чтобы шансы на выживание были максимальны. И когда мы изучаем мозг, мы опять-таки изучаем средство выживания (с. 196).

Есть ли в людях некий аналог ингибиторных механизмов, которых требует этот анализ? Вопрос звучит риторически, ибо мы знаем, что импульс удовлетворять инстинкты, разрушительные для других, контролируются частью нашей природы. Называемая совестью или «сверх-Я», эта ингибиторная система выполняет функцию контроля нерегулируемого проявления импульсов, имеющих происхождение в системе напряжения. Если наши автоматы начинают приобретать некоторые свойства и структуры, присущие людям, это не оттого, что люди создали эту модель, а скорее в силу сходных проблем, возникающих при конструировании любой системы, в которой организмы поддерживают себя посредством сигналов внешней среды, но не разрушают себе подобных.

Таким образом, присутствие в человеке совести может рассматриваться как частный случай более общего принципа, согласно которому любой саморегулирующийся автомат должен обладать ингибитором, контролирующим его действия против себе подобных, ибо без такого ингибитора несколько автоматов не могут занимать общую территорию. Ингибитор фильтрует и контролирует действия, которые имеют свое происхождение во внутренних дисбалансах автомата. В случае с человеческим организмом — если использовать психоаналитическую терминологию — инстинктивные импульсы, имеющие свое происхождение в «оно», не транслируются немедленно в действие, а подвергаются ингибиторному контролю «сверх-Я». Можно заметить, что большинство мирных жителей не бьют, не калечат и не убивают друг друга в ходе повседневной жизни.

Иерархическое структурирование

Автоматы теперь действуют индивидуально, ограниченные лишь механизмом сдерживания от причинения вреда себе подобным. А если попытаться сделать так, чтобы несколько автоматов функционировали вместе? Возможно, для этого лучше всего создать внешний источник координации двух и более элементов. Контроль исходит из точки эмиссии к каждому автомату.

Иллюстрация к книге — Подчинение авторитету. Научный взгляд на власть и мораль [image36.jpg]

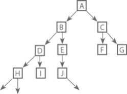
Еще более мощные социальные механизмы могут быть созданы, если каждый подчиненный элемент будет служить элементом высшего порядка для элементов уровнем ниже.

Иллюстрация к книге — Подчинение авторитету. Научный взгляд на власть и мораль [image37.jpg]

Эта диаграмма предполагает типичную пирамидальную форму, характерную для иерархической организации. Однако такая организация не может быть достигнута с автоматами, как мы их описали. Необходимо изменить внутреннее устройство каждого элемента. Следует отказаться от контроля на уровне каждого локального элемента в пользу контроля с более высокого уровня. Ингибиторные механизмы, которые исключительно важны, когда индивидуальный элемент функционирует сам по себе, становятся вторичными по отношению к необходимости уступить контроль координирующему компоненту.

Да и вообще всякий раз, когда элементы, действующие автономно, включаются в систему иерархической координации, необходимы изменения во внутренней структуре элементов. Эти изменения составляют требования системы и неизбежно включают подавление локального контроля в интересах когерентности системы. Последняя достигается, когда все части системы функционируют в гармонии и их цели не конфликтуют.

С эволюционной точки зрения, каждый автономно функционирующий элемент должен регулироваться так, чтобы противостоять необузданному утолению собственных аппетитов. Такую функцию исполняет «сверх-Я», совесть или какой-либо аналогичный механизм, противопоставляющий бесконтрольному проявлению импульсов нравственные идеалы. Однако в иерархической структуре очень важно, чтобы механизмы сдерживания не вступали в конфликт с указаниями, поступающими с более высоких уровней. Поэтому, когда индивид действует самостоятельно, совесть играет большую роль. Но когда он действует как часть общей структуры, директивы, поступающие с более высокого уровня, не подвергаются внутренней нравственной критике. Регулируются и контролируются таким образом лишь импульсы, возникающие внутри индивида в автономной модели.

Иерархия состоит из модулей, а каждый модуль — из начальника и подчиненных (напр., А: B, C). В свою очередь каждый подчиненный может быть начальником для нижестоящих (напр., B: D, E), и вся структура может состоять из таких взаимосвязанных единиц. Психология подчинения не зависит от положения модуля в общей иерархии. Скажем, психологическое приспособление какого-нибудь послушного генерала вермахта Адольфу Гитлеру вполне сравнимо с подчинением рядового пехотинца своему командиру (и так по всей системе). Только психология верховного лидера требует другого набора каузальных принципов.

Вариабельность

Теперь проясним момент, который еще толком не проговаривали: взаимосвязь между вариабельностью и необходимостью в системной модификации. Там, где имеет место вариабельность, эффективного вписывания в более крупную систему можно достичь лишь через уступку контроля координирующему компоненту. В противном случае более крупная система будет менее эффективна, чем средняя индивидуальная единица.

Возьмем ряд идентичных объектов, способных функционировать самостоятельно: скажем, пять электрических трамваев; они оборудованы системами управления, тормозящими трамвай при скорости 80 км/ч. Если вариабельности между объектами нет, состав из пяти трамваев может двигаться со скоростью 80 км/ч. Но, допустим, вводится вариабельность и автоматические регуляторы скорости тормозят вагоны при 15, 30, 45, 60 и 75 км/ч соответственно. Если трамваи соединены в общую систему, состав не поедет быстрее 15 км/ч.

Вход
Поиск по сайту
Ищем:
Календарь