Книга Семь шагов для создания эффективного ИТ-подразделения, страница 8 – Сергей Гредников

Авторы: А Б В Г Д Е Ж З И Й К Л М Н О П Р С Т У Ф Х Ч Ш Ы Э Ю Я
Книги: А Б В Г Д Е Ж З И Й К Л М Н О П Р С Т У Ф Х Ц Ч Ш Щ Ы Э Ю Я
Бесплатная онлайн библиотека LoveRead.in

Онлайн книга «Семь шагов для создания эффективного ИТ-подразделения»

📃 Cтраница 8

На основе поставленных нами ограничений, а также в соответствии с определенными целями ИТ-подразделения зафиксируем следующие задачи:

– Реализация концепции разработки, обеспечение исполнения планов и графиков работ по разработке, внедрению и сопровождению ИТ-сервисов Заказчиков.

– Сопровождение, администрирование, ввод в эксплуатацию и техническая поддержка ИТ-сервисов Заказчиков.

– Обеспечение бесперебойной работы технических средств Заказчиков.

– Диспетчеризация систем автоматизированного управления производством, информационных технологий, телефонии.

– Совершенствование системы управления предприятием за счет применения современных информационных систем и информационных технологий, компьютерного и телефонного оборудования.

– Выполнение работ по внедрению и модернизации действующих систем управления технологического оборудования на базе современных технических средств управления, контроля, визуализации, сбора, передачи и хранения данных.

– Разработка, внедрение и поддержание в работоспособном состоянии программного обеспечения средств автоматизации технологических процессов и технологического программного обеспечения, обслуживание которого закреплено договорными обязательствами с Заказчиками.

– Выполнение проектно-конструкторских работ по разработке электротехнической документации, необходимой для построения и модернизации автоматизированных систем управления технологическими процессами на базе управляющих программируемых устройств предприятий Заказчиков.

– Участие в процессе формирования технических заданий (далее по тексту – ТЗ) при заказе технологического оборудования содержащего в своем составе автоматизированную систему управления в рамках выполнения бизнес задач Заказчиков. ТЗ должно включать в себя подробные требования к технологической, механической, электрической и программной составляющей

– Осуществление приемки от сторонних производителей технологического оборудования полного пакета сопровождающего его технологического программного обеспечения.

– Подготовка договоров на разработку программного обеспечения сторонними организациями, контроль за ходом их выполнения, участие в приемке готовых разработок в рамках задач Заказчиков.

– Выявление резервов по повышению эффективности ИТ-сервисов.

– Выполнение и контроль выполнения проектов в области.

Как только круг задач формализован, возможно приступить к формированию функций. И уже на основе полученного результата руководитель может перейти к следующему этапу – формированию структуры ИТ-подразделения.

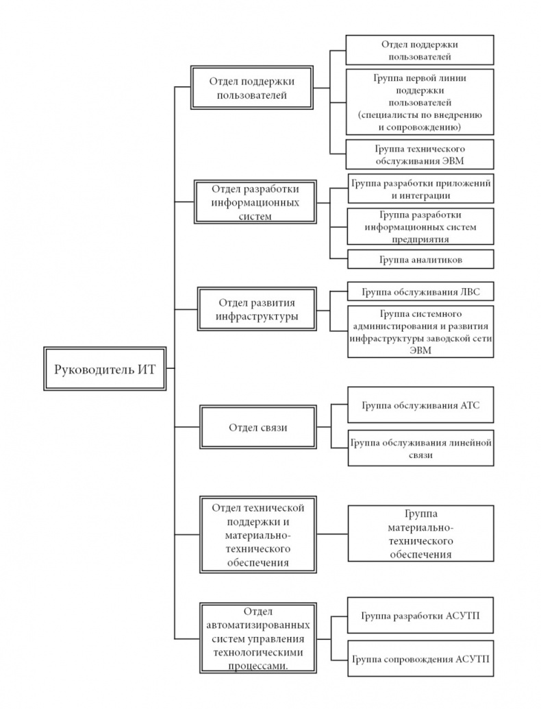
Исходя из вышеописанных задач можно выделить следующие направления деятельности ИТ-подразделения:

– Сопровождение ИТ-сервисов;

– Разработка и внедрение ИТ-сервисов;

– Поддержка и развитие инфраструктуры предприятия;

– Обеспечение бесперебойной работы АТС и линий связи;

Иллюстрация к книге — Семь шагов для создания эффективного ИТ-подразделения [image6_55e8136ca2ba4c5e46d4f3ef_jpg.jpg]

Рисунок 3. Структура ИТ-подразделения по направлениям деятельности


– Материально техническое обеспечение;

– Разработка, внедрение и сопровождение систем управления технологическими процессами.

Таким образом, на основе приведенной выше градации по направлениям деятельности возможно представить структуру ИТ-подразделения графически (см. рисунок 3).

Но эта структура не является типовой, т. к. мы в самом начале вводили некоторые ограничения. Так, например, на основе ограничения в численности сотрудников предприятия более 1001 человек, с применением метрики для определения численности ИТ-специалистов (3,5 %, см. раздел) получаем, что численность ИТ-подразделения должна быть в районе 35 человек. Конечно же, определенная нами численность является ориентиром и для более точного расчета руководство ИТ подразделения должно владеть дополнительными параметрами, например: численность парка персональных компьютеров; количественный и качественный состав периферийной техники; количество абонентов АТС; количество объектов Автоматизированной Системы Управления Технологическим Процессом (далее по тексту – АСУТП); объем и качество (доморощенные системы или готовое комплексное программное обеспечение) программных ИТ-сервисов; сколько и каких моделей картриджей тратится предприятием за период и т. п.

Схема, представленная на рисунке выше является функциональным способом организации подразделения (результат развития линейной структуры). Линейный – наиболее простой способ организации. Используется в небольших компаниях или на начальных этапах развития ИТ. Как правило, в этом случае выделяется должность руководителя отдела, в непосредственном подчинении которого находятся несколько ИТ-специалистов.

Также существует дивизиональный способ организации. Функциональной структуры может оказаться недостаточно, если компания состоит из нескольких крупных территориально-распределенных филиалов. В этом случае использование централизованной функциональной структуры может замедлить скорость решения задач отдельных филиалов.

Как правило, решением становится использование дивизиональной структуры ИТ-подразделения. По сути, это означает, что в каждом филиале создается ИТ-подразделение (со структурой близкой или идентичной структуре центрального офиса), в котором назначается руководитель. При этом у сотрудников филиального подразделения может сохраняться функциональная подчиненность соответствующим руководителям подразделений центрального офиса.

Минусом такой организационной структуры является увеличение руководящего состава в ИТ-структуре, усложнение администрирования распределенных информационных систем, так как получается, что за различные части этой системы отвечают сотрудники разных «дивизионов». Чтобы частично разрешить второй недостаток, используются также смешанные структуры, где основные ИТ-подразделения организуются на дивизиональной основе, но существуют отдельные подразделения ИТ, сохраняющие функциональную организацию, например, служба поддержки, организованная в центральном офисе, является единой для всех филиалов. Другие типы дивизиональных структур – по клиенту или по услуге – в ИТ применяются значительно реже. Примером дивизиональной структуры по продукту может служить выделение отделов в ИТ-подразделении по отдельным крупным информационным системам (отдел сопровождения ERP-системы, например).

Кому же подчиняется ИТ-подразделение, думаю, что каждый руководитель предприятия задавал себе такой вопрос? Для ответа на поставленный вопрос предлагаю внимательному читателю вспомнить: какие задачи решает ИТ-подразделение на разных уровнях зрелости ИТ-процессов:

– если это задачи уровня сложности «Поддержка», то вариантами подчинения ИТ-подразделения могут быть: технический директор, финансовый директор, директор по развитию;

Вход
Поиск по сайту
Ищем:
Календарь