Книга Уроки атеизма, страница 7 – Александр Невзоров

Авторы: А Б В Г Д Е Ж З И Й К Л М Н О П Р С Т У Ф Х Ч Ш Ы Э Ю Я
Книги: А Б В Г Д Е Ж З И Й К Л М Н О П Р С Т У Ф Х Ц Ч Ш Щ Ы Э Ю Я
Бесплатная онлайн библиотека LoveRead.in

Онлайн книга «Уроки атеизма»

📃 Cтраница 7

Зачем мы сейчас перечислили эти смешные и в той или иной степени позорные ошибки великолепных ученых? Исключительно для того, чтобы напомнить, что ошибки остаются ошибками вне зависимости от «высоты», с которой они прозвучали.

Все величие имени Ч. Лайеля не придает никакого веса его заблуждениям о ледниках, а значимость Вирхова не превращает подлинный череп питекантропа в останки русского казака.

Иными словами, мы не вправе придавать гипотезе бога, даже если ею увлечен сам Ньютон или Гюйгенс, больше значения, чем проблеме дефицита пеньковых веревок на Юпитере. «Гиппокамп Оуэна» и «сигналы с Марса» Маркони – прекрасные примеры того, что глупость, кем бы она ни была сказана, глупостью и остается.

Очень важно понимать следующее: мы принимаем теорию эволюции не потому, что ее сформулировал пугливый бородач Дарвин, который ходил на «Бигле», имел набожную супругу и прекрасно разбирался в усоногих раках. А потому, что она получила многочисленные и неопровержимые подтверждения и получает их уже на протяжении ста пятидесяти лет. Если бы не этот факт, то имя сэра Чарльза было бы забыто точно так же, как и имена сотен других чудаков, потративших свою жизнь на реторты, телескопы и микроскопы.

Еще один пример. Теория условных рефлексов для нас становится основополагающим принципом понимания сложнонервной деятельности не потому, что Иван Павлов был обаятельнейшим человеком и всю свою жизнь посвятил изучению физиологии мозга. И даже не потому, что Иван Петрович был чемпионом п. Колтуши по игре в городки. Нет. Мы руководствуемся ею только потому, что именно она (и только она) имеет под собой колоссальную эмпирическую базу и способна «просто, проверяемо и доказательно» объяснить большинство явлений разума и мышления.

А вот те убежденности Дарвина и Павлова, которые не подтвердились и в силу этого не получили никакого научного «продолжения», погребены вместе с ними. Они не представляют интереса ни для кого, кроме историков науки (мы здесь имеем в виду конфузы с пангенами и наследованием условных рефлексов мышами).

Эту схему мы можем распространить на любые убеждения как этих, так и других ученых. В том числе и на их религиозные или атеистические пристрастия.

Для решения «вопроса бога» атеизм Павлова стоит не дороже, чем набожность Рамзая. Безбожие Ивана Петровича настолько же не доказывает отсутствия бога, как благочестие сэра Уильяма – его присутствие.

Апелляция по любым общим вопросам к авторитетам ученых – типичный атавизм мышления, доставшийся XXI веку в наследство от культа религиозных пророков. Как мы помним, последние всегда были специалистами во всем без исключения, начиная от пеленания младенцев и до происхождения затмений.

Начиная с XVII столетия «пророков» в обывательском представлении заместили ученые. В качестве неизбежного обременения им досталась и роль арбитров. Дело в том, что публика по старой привычке сохраняет потребность во «всеведущих учителях». Ей это необходимо, так как освобождает от необходимости задумываться на сложные темы и легализует любую удобную ахинею.

Вспомним почтеннейшего Иринея Лионского и его реплику о том, что у соляной статуи, в которую божество Библии превратило жену Лота, на протяжении столетий выделялись месячные. Этот многозначительный абсурд цитировался и приводился как одно из доказательств всемогущества бога, порочности женщины, неотвратимости божией кары, трагедии Содома, спасительности «спасения» et cetera в течение как минимум девяти веков. Если бы его автором был не «отец церкви» Ириней, то, вероятно, никто и никогда не стал бы ссылаться на эту басню.

Образчик же подлинного знания очень легко распознать по безупречной конкретности и его полной независимости от имени автора.

Иллюстрация к книге — Уроки атеизма [i_001.jpg]

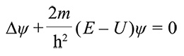
К примеру. Стационарное уравнение Шредингера (в удобной записи) лишено двусмысленности. Оно означает лишь то, что означает, и никаких иных смыслов, кроме возможности, грубо говоря, рассчитать примерное состояние элементарной частицы, в нем не предполагается. В нем нет претензии на то, чтобы характеризовать мироздание. Оно не годится для объяснения эволюции лептоциона или физиологической роли плача.

Если бы уравнение было ошибочным всего на один символ или не подтверждалось экспериментально, то, несмотря на великое имя его создателя, оно было бы тут же забыто. Но, поскольку данное уравнение верно, оно не потеряло бы своей ценности и широкой применительности даже в том случае, если бы его автором был не Шредингер, а совершенно неизвестный человек.

А теперь вернемся к вопросу «безошибочности» и подведем итоги. Говоря о творцах науки, мы говорим о людях, имеющих, образно говоря, ученую степень. А что такое хорошая, заслуженная ученая степень? Это прежде всего указание на то, что данный человек настолько углубленно занят одним-единственным специфическим вопросом, что просто не может иметь мнения ни по какому другому.

Самые блистательные прозрения в самой важной из наук не спасают от слепоты в столь общем и многосоставном вопросе, как «гипотеза бога». Как, впрочем, и в любом другом.

Разумеется, наука превыше любой «морали», и к науке не применимы ее нормы. Но помимо условной «морали» есть и некое «житейское» измерение, где убежденности великих ученых создавали (или могли создать) весьма существенные проблемы как для других homo, так и для развития вида в целом.

В связи с этим вспомним еще несколько важных фактов.

Открыватель большого круга кровообращения в теле человека, медик У. Гарвей, лично инспектировал кожу узниц инквизиции, определяя по наличию на ней «меток дьявола» степень связи обвиняемой с Люцифером. В 1633 году от его экспертной оценки зависела жизнь некоей Маргарет Джонсон. Гарвей выявил на ее теле следы «нежных прикосновений сатаны», и барышню, разумеется, сожгли.

Нобелевский лауреат Юлиус фон Яурегг заражал психически больных малярией и туберкулезом, а Альбер Нейссер – здоровых людей сифилисом, чтобы иметь возможность изучить клиническое течение этой болезни. Лавуазье публично жег книги своего оппонента Шталя, а Франклин и Грей использовали детей в весьма болезненных электрофизиологических экспериментах.

Нобелевские лауреаты Ханс Вильгельм Гейгер, – Иоханнес Штарк, Макс Планк и Филипп Ленард добровольно и искренне сотрудничали с режимом Гитлера в деле изготовления германской атомной бомбы. Эрвин Шредингер через открытое письмо, размещенное во всех газетах Австрии и Германии, уверял публику в своем восхищении Адольфом Гитлером и клялся ему в верности.

Конечно же, всех, как и всегда, перещеголял Вернер Гейзенберг. Его имя полагается произносить, «сняв шляпу». И это справедливо. Мы помним, что именно этот человек не только покорил высочайшую интеллектуальную вершину современности – квантовую теорию поля, но и отчасти сам ее выстроил. И этот же человек был увлечен идеей вооружить Третий рейх ядерным оружием. Именно Гейзенберг был автором того реактора, в котором шло обогащение урана для будущих атомных бомб Германии.

Вход
Поиск по сайту
Ищем:
Календарь