Книга Психология: конспект лекций, страница 39 – Наталия Богачкина

Авторы: А Б В Г Д Е Ж З И Й К Л М Н О П Р С Т У Ф Х Ч Ш Ы Э Ю Я
Книги: А Б В Г Д Е Ж З И Й К Л М Н О П Р С Т У Ф Х Ц Ч Ш Щ Ы Э Ю Я
Бесплатная онлайн библиотека LoveRead.in

Онлайн книга «Психология: конспект лекций»

📃 Cтраница 39

Сверхнормативная деятельность – желание человека следовать собственным, более высоким требованиям и нормам.

Исследователи выделяют следующие функции групповых норм:

1) регулятивная;

2) оценочная;

3) стабилизирующая;

4) санкционирующая.

Управление группой может осуществляться и на официальном уровне – руководителем, и на неофициальном – лидером.

Практика показывает, что, как правило, официальный руководитель и неформальный лидер – это разные лица, но не исключено, что это может быть и один и тот же человек.

Между лидером и руководителем имеются следующие различия:

1) руководитель прежде всего заботится о выполнении группой поставленных задач, а забота лидера – регуляция межличностных отношений;

2) руководитель взаимодействует не только с малой группой, но и с вышестоящими организациями, сфера деятельности лидера ограничена размером малой группы, в которую он входит;

3) руководитель назначается или избирается, а выдвижение лидера происходит стихийно по желанию членов группы;

4) лидер – это нестабильный статус, в любой момент может он быть изменен, а руководитель, как правило, назначается на определенный срок;

5) система санкций руководителя более четкая и определенная, чем у лидера;

6) процесс принятия решения более сложный у руководителя, чем у лидера.

В процессе управления группой как руководитель, так и лидер могут использовать различные средства психологического воздействия, которые в совокупности определяют стиль лидерства (руководства).

Классически выделяют три стиля: авторитарный, демократический, либеральный.

Авторитарный стиль предполагает властность лидера по отношению к остальным членам группы.

В принятии решения действует принцип единоначалия, ведется систематический контроль над действиями подчиненных.

Демократический стиль проявляется у того руководителя, который склонен считаться с мнением других членов группы, советоваться с ними, привлекать к управлению группой.

Либеральный стиль наблюдается в том случае, когда руководитель фактически изолируется от своих обязанностей и передает их другим членам группы.

Практика исследования эффективности того или иного стиля руководства (лидерства) показывает, что наиболее приемлемым является комбинация всех выше перечисленных стилей в зависимости от уровня развития группы и той конкретной ситуации, в которой эта группа находится в данный момент времени.

Итак, малая группа имеет сложную структуру, которая характеризуется большим количеством понятий.

3. Межличностные отношения в группах подразделяются на официальные и неофициальные, деловые и личные, рациональные и эмоциональные, отношения руководства и подчинения (в частности лидерства).

Официальные – отношения, которые регулируются должностными обязанностями, закрепленными законодательно.

Неофициальные – в основе лежат личные симпатии и антипатии людей, не имеющие какой бы то ни было юридической основы и твердо установленных норм.

Деловые – возникают между людьми по поводу выполнения совместной деятельности.

Личные – отношения, складывающиеся между людьми вне зависимости от совместно выполняемой деятельности.

Рациональные – в основе лежат объективные качества человека, которые признаются большинством окружающих людей.

Эмоциональные – в оценке человека исходят из субъективного мнения о нем, что далеко не всегда соответствует истинному положению.

Отношения руководства и подчинения уже были рассмотрены на примере лидерства в предыдущем параграфе.

Получить истинную картину межличностных отношений в группе помогает социометрическое исследование.

Суть исследования заключается в том, что члены группы высказываются относительно друг друга.

В содержании вопросов заложен социометрический критерий, анализ проявления которого позволяет судить о взаимных эмоциональных отношениях.

Ответы членов группы подвергаются статистической обработке, на основании чего строятся социометрические матрицы, социограммы, подсчитываются социометрические индексы.

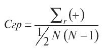
Наиболее известным социометрическим индексом является индекс групповой сплоченности, который определяется процентом взаимных выборов и вычислялся как отношение числа взаимных положительных выборов к общему числу возможных выборов:

Иллюстрация к книге — Психология: конспект лекций [i_005.jpg]

где Сгр– сплоченность, r(+) – положительный выбор, N – число членов группы (Лекции по методике конкретных социальных исследований, 1972).

4. Эффективность групповой деятельности можно рассматривать по трем направлениям: профессиональному, образовательному, воспитательному.

Профессиональное и образовательное направления решают специальные задачи, воспитательное относится к категории общесоциальных задач.

К числу важнейших показателей эффективности групповой деятельности относятся продуктивность и удовлетворенность членов группы групповой деятельностью.

И. Штайнер предложил формулу вычисления продуктивности: актуальная продуктивность = потенциальная продуктивность – нереализованная продуктивность.

Существуют различные пути повышения эффективности групповой деятельности.

Величина группы неоднозначно влияет на эффективность выполняемой группой деятельности.

Следствием изменения количества членов группы как в ту, так и в другую сторону могут быть как положительные, так и отрицательные явления.

К числу положительных явлений, связанных с увеличением числа членов группы, относится более легкое распределение обязанностей, появление большего количества ярких индивидуальностей, возможность выполнения большего количества работ за меньшее время, большее число людей участвует в выработке решения, что делает это решение оптимальным.

Отрицательные явления: возможно снижение сплоченности, возрастает вероятность распада на группировки, возникают сложности в управлении, увеличивается разброс мнений, происходит снижение личной ответственности каждого за происходящее.

Также неоднородно на эффективность деятельности и влияние композиции.

Высокоразвитые группы, имеющие разнородный состав членов, лучше, чем однородные, могут справиться с решением сложных задач.

В подобных ситуациях в слаборазвитых неоднородных группах целесообразно делить людей на рабочие подгруппы в соответствии с психологической совместимостью.

Если же группа работает в условиях временного дефицита, а задания относительно просты, то деятельность однородной группы будет более эффективной.

Вход
Поиск по сайту
Ищем:
Календарь