Книга Йога. Лучшие упражнения для каждого лунного дня. Сила Луны для здоровья и удачи, страница 67 – Андрей Левшинов

Авторы: А Б В Г Д Е Ж З И Й К Л М Н О П Р С Т У Ф Х Ч Ш Ы Э Ю Я
Книги: А Б В Г Д Е Ж З И Й К Л М Н О П Р С Т У Ф Х Ц Ч Ш Щ Ы Э Ю Я
Бесплатная онлайн библиотека LoveRead.in

Онлайн книга «Йога. Лучшие упражнения для каждого лунного дня. Сила Луны для здоровья и удачи»

📃 Cтраница 67
Иллюстрация к книге — Йога. Лучшие упражнения для каждого лунного дня. Сила Луны для здоровья и удачи [i_361.jpg]

3. Передвигайте руки вниз и назад, плотно обхватывая икры и притягивая корпус к ногам.

4. Опустите руки до щиколоток, прижмитесь лбом к ногам, считайте до 10.

Иллюстрация к книге — Йога. Лучшие упражнения для каждого лунного дня. Сила Луны для здоровья и удачи [i_362.jpg]

5. Медленно вернитесь в исходное положение.

✓ Повторите упражнение 5 раз.

! Во время выполнения упражнения следите за тем, чтобы ноги не сгибались в коленях. Не старайтесь сразу же прижать лоб к коленям – вы можете растянуть мышцы. Увеличивайте глубину наклона постепенно.

Желание дня: обретение истины

Подъем энергетического потенциала

Встаньте прямо. Тело расслаблено.

Закройте глаза и представьте, что находитесь внутри столба света, который уходит вертикально вверх в бесконечность космоса, а вниз – в недра Земли.

Этот столб светится золотисто-желтым светом. Представьте, как более яркий луч этого света концентрируется над вашей головой и входит в ваше тело через макушку, проходит как струна вдоль позвоночника и через стопы уходит в землю. Эта струна – как ваша внутренняя ось, создает мощный стержень, опору для вашего тела.

Яркий свет от этой внутренней оси мягко и плавно распространяется внутри вашего тела, постепенно заполняя его целиком, до пальцев рук и ног. Вы ощущаете в ваших конечностях мягкое покалывание, и представляете, что в ваших пальцах играют переливающиеся искорки, сияющие частички света.

На всем, к чему вы прикасаетесь, остается искрящийся свет. Везде, где вы проходите, остается за вами искрящийся шлейф. Теперь вы можете делиться этим светом со всеми людьми – для этого вам не нужно ничего делать, просто находиться рядом. Теперь вы можете наполнять светом все то, к чему просто прикасаетесь.

Затем представьте, что этот свет потоком искорок льется из ваших глаз. Вы наполняете им все, на что смотрите.

Представьте, что теперь любой ваш жест, любое движение, любой поступок становится творчеством, потому что вы каждый миг преображаете материю, придавая ей новое качество и повышая ее вибрации своим прикосновением.

Откройте глаза. Постарайтесь сохранить ощущение от выполнения данного упражнения на протяжении всего дня.

Желание дня: благоденствие

Гармонизация энергий вашего дома

Примите любую удобную вам позу, закройте глаза и представьте себе помещения вашего дома.

Сначала представьте весь дом (квартиру). Следите за своими эмоциями. Если вам уютно и хорошо, значит, ваш дом наполнен гармоничными вибрациями, если вы испытываете досаду или неприятные ощущения, значит, в доме есть негативные энергии.

Представьте себе, как все помещения вашего дома заполняются идущим сверху золотисто-желтым светом. Эта энергия свободно распространяется по вашему дому. Проверьте по своим ощущениям, где свет ярче, а где словно остаются затемненные уголки.

Туда, где в вашем восприятии вы увидели темное пространство, мысленно направляйте потоки энергии вашей любви, и одновременно представляйте, что ваша любовь превращается в поток света. Он вымывает негативные энергии, очищает дом и делает его настоящей крепостью для всей вашей семьи.

Произнесите: «Я люблю мой дом. Мой дом наполнен светом любви. Я благодарю свой дом за надежную защиту. Я привлекаю в свой дом только положительную энергию».

Вы можете сказать что-то еще, главное, чтобы слова несли позитивный заряд.

Мысленно обойдите все помещения дома и заполните своей любовью и светом все области, которые представлялись вам затемненными.

Посмотрите на свой дом еще раз: если он сияет солнечным светом и в нем не осталось темных углов, то вы можете закончить упражнение.

Сделайте глубокий вдох-выдох и откройте глаза.

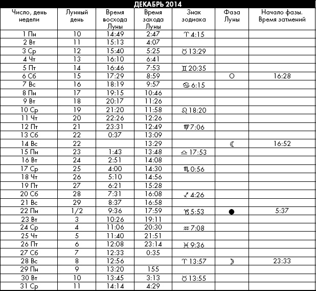
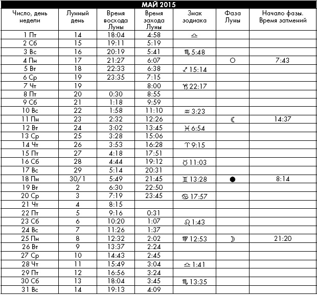
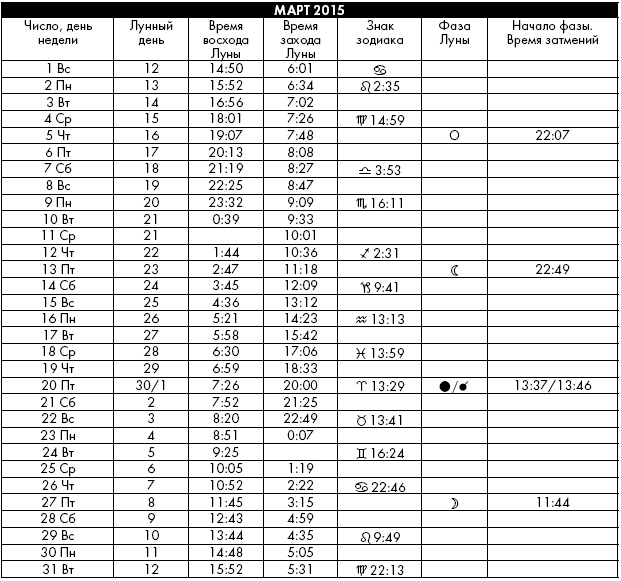
Лунный календарь на 2015–2019 годы

Календарь

Иллюстрация к книге — Йога. Лучшие упражнения для каждого лунного дня. Сила Луны для здоровья и удачи [i_363.jpg]
Иллюстрация к книге — Йога. Лучшие упражнения для каждого лунного дня. Сила Луны для здоровья и удачи [i_364.jpg]
Иллюстрация к книге — Йога. Лучшие упражнения для каждого лунного дня. Сила Луны для здоровья и удачи [i_365.jpg]
Иллюстрация к книге — Йога. Лучшие упражнения для каждого лунного дня. Сила Луны для здоровья и удачи [i_366.jpg]
Иллюстрация к книге — Йога. Лучшие упражнения для каждого лунного дня. Сила Луны для здоровья и удачи [i_367.jpg]
Иллюстрация к книге — Йога. Лучшие упражнения для каждого лунного дня. Сила Луны для здоровья и удачи [i_368.jpg]
Иллюстрация к книге — Йога. Лучшие упражнения для каждого лунного дня. Сила Луны для здоровья и удачи [i_369.jpg]
Иллюстрация к книге — Йога. Лучшие упражнения для каждого лунного дня. Сила Луны для здоровья и удачи [i_370.jpg]
Иллюстрация к книге — Йога. Лучшие упражнения для каждого лунного дня. Сила Луны для здоровья и удачи [i_371.jpg]
Иллюстрация к книге — Йога. Лучшие упражнения для каждого лунного дня. Сила Луны для здоровья и удачи [i_372.jpg]
Иллюстрация к книге — Йога. Лучшие упражнения для каждого лунного дня. Сила Луны для здоровья и удачи [i_373.jpg]
Вход
Поиск по сайту
Ищем:
Календарь