Книга Жуков против Гальдера. Схватка военных гениев, страница 25 – Валентин Рунов

Авторы: А Б В Г Д Е Ж З И Й К Л М Н О П Р С Т У Ф Х Ч Ш Ы Э Ю Я
Книги: А Б В Г Д Е Ж З И Й К Л М Н О П Р С Т У Ф Х Ц Ч Ш Щ Ы Э Ю Я
Бесплатная онлайн библиотека LoveRead.in

Онлайн книга «Жуков против Гальдера. Схватка военных гениев»

📃 Cтраница 25

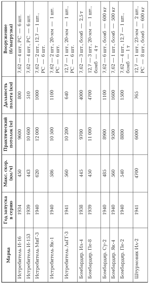
Авиация. Авиация была оснащена преимущественно самолетами устаревших конструкций. Новых боевых машин было очень мало. Так, бронированный штурмовик конструкции А.С. Ильюшина Ил-2, созданный в 1939 году, в войска начал поступать только в 1941 году. Истребитель конструкции А.С. Яковлева Як-1, принятый к серийному производству в 1940 году, в войска начал поступать также в 1941 году.

Начальником Главного управления ВВС с апреля 1941 года был генерал-лейтенант П.Ф. Жигарев, который с ноября 1937-го по сентябрь 1938 года командовал группой советских летчиков-«добровольцев» в Китае.

Летно-технические и боевые характеристики советских самолетов

Иллюстрация к книге — Жуков против Гальдера. Схватка военных гениев [i_022.jpg]

Затем в результате массовых чисток среди высшего командного состава ВВС он сделал быструю карьеру и в декабре 1940 года стал первым заместителем командующего ВВС РККА.

Происходило наращивание общей численности личного состава РККА. На 22 июня под ружьем в составе Вооруженных сил СССР находилось уже 5 млн человек. Из этого количества Сухопутные войска составляли 80,6 %, Военно-Воздушные Силы – 8,6 %, Военно-Морской Флот – 7,3 %, Войска противовоздушной обороны – 3,3 %. Кроме того, были подготовлены многочисленные резервы. В то же время уровень специализации резервистов был не очень высок. Исходили из того, что только в колхозах трудится более 1,4 млн трактористов и водителей автомобилей, которых можно было быстро при необходимости пересадить на боевые машины. По всей стране в системе Осоавиахима готовили пилотов, радистов, парашютистов, пехотинцев-стрелков.

Разведка вероятного противника. Едва вступив в новую должность, Г.К. Жуков вызвал начальника Разведывательного управления генерал-лейтенанта Ф.И. Голикова. Тот прибыл точно в назначенное время и вошел в кабинет начальника Генерального штаба с большой папкой в руках. Хорошо поставленным голосом начал уверенно докладывать…

В последние месяцы перед началом Великой Отечественной войны советская разведка работала достаточно активно. Уже 12 января 1941 года в разведывательной сводке № 2 Управления пограничных войск НКВД УССР сообщалось, что 9 декабря район города Санок посетил главнокомандующий германской сухопутной армией генерал-фельдмаршал Вальтер фон Браухич, который произвел смотр войск и укреплений в данном районе. В этой же сводке сообщалось о прибытии в приграничную полосу новых германских частей, строительстве там казарм для личного состава, бетонированных огневых точек, погрузочно-разгрузочных площадок на железной дороге и аэродромов [30] .

Вслед за этим отмечаются частые случаи нарушения германской стороной Государственной границы СССР. Так, начальник пограничных войск НКВД БССР 24 января 1941 года в своем докладе также сообщает о развертывании в Варшаве штаба армии, а на территории пограничных уездов – штаба армейского корпуса, восьми штабов пехотных и одной кавалерийской дивизий, 28 пехотных, семи артиллерийских, трех кавалерийских и одного танкового полков, двух авиационных школ.

Иллюстрация к книге — Жуков против Гальдера. Схватка военных гениев [i_023.jpg]

Ф. И. Голиков – Начальник Разведывательного управления РККА

Ниже сообщалось: «С момента заключения Конвенции по 1 января 1941 года всего на границе с Германией возникло 187 различных конфликтов и инцидентов… За отчетный период зафиксировано 87 случаев нарушения границы германскими самолетами… Три немецких самолета после перелета через границу были приземлены… которые впоследствии были выпущены в Германию.

Один немецкий самолет 17 марта 1940 года на участке 10-й заставы Августовского пограничного отряда в результате применения оружия был сбит» [31] .

В связи с необходимостью максимального улучшения агентурно-оперативной работы органов государственной безопасности и возросшим объемом этой работы Политбюро ЦК ВКП(б) 3 февраля 1941 года принимает специальное Постановление о разделе Наркомата внутренних дел СССР на два наркомата: Народный комиссариат внутренних дел (НКВД) и Народный комиссариат государственной безопасности (НКГБ). На НКГБ возлагаются задачи по ведению разведывательной работы за границей и борьбе с подрывной, шпионской, диверсионной, террористической деятельностью иностранных разведок внутри СССР. Ему также поручается вести оперативную разработку и ликвидацию остатков всяких антисоветских партий и контрреволюционных формирований среди различных слоев населения СССР, в системе промышленности, транспорта, связи, сельского хозяйства и пр., а также осуществлять охрану руководителей партии и правительства. Этим же Постановлением было предписано осуществить организацию республиканских, краевых, областных и районных органов НКГБ и НКВД.

8 февраля 1941 года принимается следующее Постановление ЦК ВКП(б) и СНК СССР о передаче особого отдела из НКВД СССР в ведение Наркомата обороны СССР и Наркомата ВМФ СССР. «Возложить на особые отделы НКО и НКВМФ (Третьи управления) задачи: по борьбе с контрреволюцией, шпионажем, диверсиями, вредительством и всякого рода антисоветскими проявлениями в Красной Армии и Военно-Морском Флоте; выявление и информирование соответственно народного комиссара обороны и народного комиссара Военно-Морского Флота о всех недочетах и состоянии частей армии и флота и о всех имеющихся компрометирующих материалах и сведениях на военнослужащих армии и флота».

Этим же документом определялось, что «все назначения оперативного состава Третьих управлений НКО и НКВМФ, начиная с оперуполномоченного полка и соответствующей ему единицы во флоте, производятся приказами народных комиссаров обороны и Военно-Морского Флота». Так в структуре Красной Армии и Военно-Морского Флота возникли мощные карательные органы, обладающие огромными полномочиями и не подотчетные командующим и командирам тех формирований, при которых они действовали. Было определено, что начальник 3-го отдела корпуса подчиняется начальнику 3-го отдела округа (фронта) и командующему войсками округа (фронта), а начальник 3-го отделения дивизии – начальнику 3-го отделения корпуса и командиру корпуса [32] .

7 февраля 1941 года 2-е управление НКГБ СССР сообщило о распространяющихся слухах среди дипломатического корпуса в Москве о готовящемся нападении Германии на СССР. При этом было указано, что целью нападения Германии являются южные районы СССР, богатые хлебом, углем и нефтью.

Около 8 февраля эту же информацию подтвердил агент берлинской резидентуры НКГБ СССР «Корсиканец», а 9 марта 1941 года из Белграда поступило телеграфное донесение от военного атташе в адрес начальника Разведывательного управления Генерального штаба Красной Армии. В нем сообщалось, что «германский Генштаб отказался от атаки английских островов, ближайшей задачей поставлено – захват Украины и Баку, которая должна осуществляться в апреле-мае текущего года, к этому сейчас подготавливаются Венгрия, Румыния и Болгария».

Вход
Поиск по сайту
Ищем:
Календарь