Книга Антимозг. Цифровые технологии и мозг, страница 36 – Манфред Шпицер

Авторы: А Б В Г Д Е Ж З И Й К Л М Н О П Р С Т У Ф Х Ч Ш Ы Э Ю Я
Книги: А Б В Г Д Е Ж З И Й К Л М Н О П Р С Т У Ф Х Ц Ч Ш Щ Ы Э Ю Я
Бесплатная онлайн библиотека LoveRead.in

Онлайн книга «Антимозг. Цифровые технологии и мозг»

📃 Cтраница 36
Иллюстрация к книге — Антимозг. Цифровые технологии и мозг [i_058.jpg]

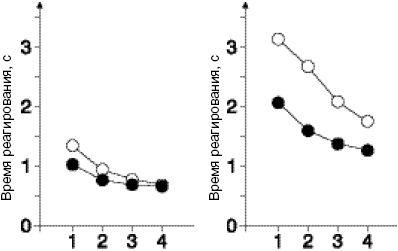
7.11. Обучение путем обращения с несуществующим объектом.


Когда испытуемым показывают изображения двух несуществующих объектов, им нужно лишь проверить, какими признаками обладают эти объекты. На основании выявленных признаков остается определить принадлежность каждого предмета к определенной категории и понять, к одной категории принадлежат предметы или к разным. Если же испытуемым предъявляют только названия несуществующих объектов, при решении аналогичной задачи надо напряженно размышлять: по названию вспомнить несуществующий объект, представить себе его, мысленно рассмотреть образ и отнести несуществующий объект к соответствующей категории; затем проделать то же самое со вторым несуществующим объектом и лишь затем сравнить обе категории (см. левый график на рис. 7.12). Скорость этих активных мыслительных усилий зависит от способа тренировки — это демонстрируют значения времени реагирования. Тот, кто при изучении несуществующих объектов производил с ними какие-то действия, может мысленно обращаться с ними явно быстрее, чем тот, кто при изучении только показывает на отличительный признак.

Иллюстрация к книге — Антимозг. Цифровые технологии и мозг [i_059.jpg]

7.12. Прогресс в обучении при выполнении задачи на распределение несуществующих предметов по категориям. Представлены средние величины времени реагирования испытуемых, разбитых на учебные группы, — с выполнением действий с предметом (черные кружки) и с просмотром изображения предмета (белые кружки).


Другими словами, то, насколько эффективно управляется наш мозг с полученной информацией, зависит от того, каким образом эта информация была получена! Дополнительное тому подтверждение: во время выполнения задания с каждого испытуемого снималась 64-канальная электроэнцефалограмма (ЭЭГ), данные которой были оценены событийно-коррелированно. При этом в группе, осуществлявшей с предметами действия, видна более ранняя активация моторных зон лобных долей головного мозга.

Из этого можно сделать вывод, что способ, с помощью которого что-либо изучается, определяет, каким образом выученное откладывается в мозге. Тот, кто знакомится с миром посредством щелчка «мышью», что пропагандируют некоторые медийные педагоги, сможет размышлять о нем намного менее эффективно и изрядно медленнее. Щелчок «мышью» — акт демонстрирования, а не акт манипулирования (то есть обращения с вещью при помощи рук).

Тому, кто намерен овладеть серьезными знаниями, следует обратиться к реальному миру. Знания, которые мы получаем за компьютером, слабее и медленнее «отпечатываются» в нашем головном мозге, чем те, которые можно «потрогать руками». При этом мы знаем, что скорость мыслительных процессов тесно связана с уровнем интеллекта. Быстрота мышления — признак высокого интеллекта. Кроме того, доказано, что цифровой способ постижения мира отрицательно воздействует на формирование головного мозга, а что это означает для умственного развития, вы прекрасно себе представляете.

Карандаш или клавиатура?

Чтение и письмо — главные культурные навыки, которые в нашей письменно-языковой цивилизации изучаются в детстве. Уверенное владение письменной речью важно и для успеваемости в школе, и для будущих профессиональных успехов. Поэтому оптимальное обучение чтению и письму в детском саду и в школе имеет большое значение как для каждого отдельного индивидуума, так и для всего общества.

Правильно построенное преподавание чтения и письма, основанное на последних открытиях в области нейробиологии, может противодействовать даже отставанию в чтении и трудностям в овладении орфографией, причиной которых обычно являются патологии (болезненные отклонения) в участках головного мозга, отвечающих за переработку речи. Тем самым наука способна дать человеку шанс на полноценное интеллектуальное развитие. Однако до этого нам еще далеко. Педагогический хаос в Германии, который выражается, в отсутствии единой программы обучения правописанию в начальной школе, подчас приводит к тому, что ученик должен заново пройти программу первого класса, если его родители переехали на расстояние двух километров из Берлина в Бранденбург. Настало время покончить с такого рода халтурой на федеральном уровне и применить научные знания в преподавании чтения и письма. Это знание понадобится нам и для того, чтобы решить, должны ли дети, как раньше, писать мелом на доске и ручкой на бумаге или же теперь достаточно компьютерной клавиатуры.

Цифровые средства письма получают все большее распространение, и вряд ли стоит удивляться тому, что дети все чаще впервые знакомятся с письменной речью через них, а не путем чтения книг и собственноручных записей на бумаге. Уже есть первые результаты научных исследований, доказывающие, что применение цифровых средств для письма, которое начинается уже в детском возрасте, отрицательно влияет на способность к чтению у детей и взрослых. Нейробиологические исследования, проведенные с помощью функциональной магнитно-резонансной томографии (фМРТ) показывают, что узнавание букв, которые были выучены путем написания их от руки, приводит к усилению активности в моторных участках головного мозга. Если буквы были выучены путем ввода на клавиатуре, активизации не происходило. Из этого можно сделать вывод, что только формирование букв с помощью карандаша прокладывает моторные следы памяти, которые во время восприятия букв активизируются и облегчают узнавание букв по их визуальному образу. Этот дополнительный моторный след памяти, содействующий чтению, не формируется, если буквы вводили посредством клавиатуры, потому что движения, необходимые для нажатия на клавишу, не имеют никакого отношения к форме букв.

Итак, с буквами происходит то же, что и с объектами: их легче выучить, если их писать рукой! Влияние упражнений в письме на понимание слов или целых текстов пока не изучалось, но такие исследования необходимы. Изучение процессов письма и чтения особое значение имеет для школьного обучения детей, ведь именно начальное образование закладывает фундамент будущей профессиональной карьеры человека. Описанные выше исследования процессов письма были проведены в основном с участием взрослых испытуемых. С детьми подобные эксперименты не проводились, хотя именно эта целевая аудитория представляет особый интерес: ведь только дети учатся с очень большой скоростью, и путем этого научения в их головном мозге производят быстрые структурные изменения, закладывающие основу их будущего мыслительного потенциала.

Принимая во внимание стремительное распространение цифровых СМИиК в современном обществе, систематическое исследование предположительно более полезного воздействия упражнений в письме с помощью ручки и бумаги на развитие речи по сравнению с цифровыми способами письма имеет большое значение. Прежде чем мы внедрим ноутбуки в детские сады и начальную школу, следовало бы точно знать, что именно это принесет нашим детям! Существует опасность того, что массированное введение цифровых СМИиК в детские учреждения может нанести непоправимый вред юному поколению, и последствия этого вреда будут сказываться многие годы спустя.

Вход
Поиск по сайту
Ищем:
Календарь