Книга Латинский язык для медиков. Конспект лекций, страница 3 – А. Штунь

Авторы: А Б В Г Д Е Ж З И Й К Л М Н О П Р С Т У Ф Х Ч Ш Ы Э Ю Я
Книги: А Б В Г Д Е Ж З И Й К Л М Н О П Р С Т У Ф Х Ц Ч Ш Щ Ы Э Ю Я
Бесплатная онлайн библиотека LoveRead.in

Онлайн книга «Латинский язык для медиков. Конспект лекций»

📃 Cтраница 3

Только за последние несколько лет на страницах газет и журналов, в выступлениях депутатов замелькали новые для нашей политической жизни слова латинского происхождения: плюрализм (pluralis – «множественный»), конверсия (conversio – «превращение», «изменение»), консенсус (consensus – «согласие», «договоренность»), спонсор (sponsor – «попечитель»), ротация (rotatio – «круговое движение») и др.

Лекция № 2. Алфавит. Фонетика. Чтение гласных. Особенности чтения согласных. Произношение буквосочетаний. Правила постановки ударения

NB!

1. Запомните начертания и названия букв латинского алфавита.

2. Научитесь произносить звуки, которые обозначаются этими буквами.

3. Буква и звук – не одно и то же. Не подменяйте эти понятия.

1. Алфавит

Латинский алфавит, которым пользуются в современных учебниках, справочниках и словарях, состоит из 25 букв.

Ниже дается традиционное чтение латинских букв, принятое в русской учебной практике.

Таблица 1. Латинский алфавит

Иллюстрация к книге — Латинский язык для медиков. Конспект лекций [i_001.jpg]

С прописной буквы в латинском языке пишутся собственные имена, названия месяцев, народов, географические названия и прилагательные, образованные от них. В фармацевтической терминологии с прописной буквы принято писать также названия растений и лекарственных веществ.

Примечания

1. Большинство букв латинского алфавита произносятся так же, как в различных западноевропейских языках, однако некоторые буквы в этих языках называются иначе, чем в латинском; например буква h называется в немецком языке «ха», во французском – «аш», в английском – «эйч», а в латинском – «га». Буква j во французском языке называется «жи», в английском – «джей», а в латинском – «йот». Латинская буква «с» в английском называется «си» и т. п.

2. Нужно иметь в виду, что одна и та же буква может обозначать в этих языках неодинаковый звук. Например, звук, обозначенный буквой g, в латинском языке произносится как [г], а во французском и английском перед е, i – как [ж] или [джь]; в английском j читается как [дж].

3. Латинская орфография фонетическая, она воспроизводит действительное произношение звуков. Сравните: лат. latina [латина], англ. latin [laetin] – латинский.

Особенно заметна разница при сравнении гласных в латинском и английском языках. В латинском языке почти все гласные всегда произносятся так же, как соответствующие гласные в русском языке.

4. Как правило, наименования не из латинского языка, а из других языков (греческого, арабского, французского и др.) латинизируются, т. е. оформляются в соответствии с правилами фонетики и грамматики латинского языка.

2. Чтение гласных (и согласного j)

«Е е» читается как [э]: vertebra [вэ'ртэбра] – позвонок, medianus [мэдиа'нус] – срединный.

В отличие от русских никакие латинские согласные перед звуком [е] не смягчаются: anterior [антэ'риор] – передний, arteria [артэ'риа] – артерия.

«I i» читается как [и]: inferior [инфэ'риор] – нижний, internus [интэ'рнус] – внутренний.

В начале слова или слога перед гласными i читается как звонкий согласный [й]: iugularis [югуля'рис] – яремный, iunctura [юнкту'ра] – соединение, maior [ма'йор] – большой, iuga [ю'га] – возвышение.

В указанных позициях в современной медицинской терминологии вместо i используется буква J j – йот: jugularis [югуля'рис], juncture [юнкту'ра], major [ма'йор], juga [ю'га].

Буква j не пишется только в словах, заимствованных из греческого языка, так как в нем не было звука [й]: iatria [иа'трия] – врачевание, iodum [ио'дум] – йод.

NB!

Для передачи звуков [йа], [йо], [ие], [ йу] используются сочетания букв ja, jo, je, ju.

Y у (ипсилон), по-французски «игрек», читается как [и]: tympanum [ти'мпанум] – барабан; gyrus [ги'рус] – извилина мозга. Буква «ипсилон» употребляется только в словах греческого происхождения. Она введена римлянами для передачи буквы греческого алфавита ипсилон, которая читалась как немецкое [и]. Если греческое слово писалось через i (греч. йота), читаемое как [и], то на латинский язык оно транскрибировалось через i.

NB!

В целях грамотного написания медицинских терминов необходимо знать некоторые наиболее распространенные греческие приставки и корни, в которых пишется «ипсилон»:

dys[дис-] – приставка, придающая термину значение нарушения, расстройства функции: dysostosis (dys+ osteon – «кость») – дизостоз – расстройство образования кости;

hypo[гипо-] – «под», «ниже»: hypoderma (hypo + derma – «кожа») – гиподерма – подкожная клетчатка, hypogastrium (hypo-+ gaster – «живот», «желудок») – гипогастрий – подчревье;

hyper[гипер-] – «над», «сверх»: hyperostosis (hyper + osteon – «кость») – гиперостоз – патологическое разрастание неизмененной костной ткани;

syn-, sym[син-, сим-] – «с», «вместе», «совместно»: synostosis (syn + osteon – «кость») – синостоз – соединение костей посредством костной ткани;

mу(о)[мио-] – корень слова, указывающий на отношение к мышцам: myologia (myo + logos – «слово», «учение») – миология – учение о мышцах;

phys[физ-] – корень слова, указывающий в анатомических терминах на отношение к чему-то растущему в определенном месте: diaphysis – диафиз (в остеологии) – средняя часть трубчатой кости.

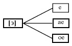
3. Дифтонги (диграфы)

Кроме простых гласных [а], [е], [i], [о], [и], в латинском языке существовали также двугласные звуки (дифтонги) ае, ое, аи, ей. В классическую эпоху все они произносились с неслоговым вторым элементом. Позднее дифтонги ае [из ai] и ое [из oi] стали произноситься как один звук, т. е. превратились в монофтонги, изображаемые двумя буквами, – так называемые диграфы.

Диграф ае читается как [э]: vertebrae [вэ'ртэбрэ] – позвонки, peritonaeum [пэритонэ'ум] – брюшина.

Диграф ое читается как [э], точнее, как немецкое o или французское ое: foetor [фэтор]– дурной запах.

В большинстве случаев дифтонги ае и ое, встречающиеся в медицинских терминах, служили для передачи на латинском языке греческих дифтонгов ai и oi. Например: oedema [эдэ'ма] – отек, oesophagus [эзо'фагус] – пищевод.

Иллюстрация к книге — Латинский язык для медиков. Конспект лекций [i_002.jpg]

Если в сочетаниях ае и ое гласные относятся к разным слогам, т. е. не составляют дифтонга, тогда над е ставится знак разделения (``) и каждый гласный произносится раздельно: diploё [диплоэ] – диплоэ – губчатое вещество плоских костей черепа; аёr [аэр] – воздух.

Вход
Поиск по сайту
Ищем:
Календарь