Книга Педагоги шутят тоже... Только строже, страница 14 – Борис Горобец

Авторы: А Б В Г Д Е Ж З И Й К Л М Н О П Р С Т У Ф Х Ч Ш Ы Э Ю Я
Книги: А Б В Г Д Е Ж З И Й К Л М Н О П Р С Т У Ф Х Ц Ч Ш Щ Ы Э Ю Я
Бесплатная онлайн библиотека LoveRead.in

Онлайн книга «Педагоги шутят тоже... Только строже»

📃 Cтраница 14

«Все равенства делятся на равенства и неравенства»

Как-то одна студентка сдавала мне экзамен по матанализу. Сдавала весьма неважно, но в наше время таким принято ставить «уд»: посещала занятия она аккуратно, конспекты вела, контрольные работы худо-бедно писала и переписывала. Помню, что на экзамене какие-то уравнения она писала в цепочку, соединявшуюся знаками равенства, чего, естественно, делать нельзя. Я ей об этом сказал и хотел помочь самой выпутаться из ситуации, задав наводящий вопрос: «На какие два принципиально различных типа подразделяется все множество равенств?» (имея в виду, на тождества и уравнения). Отвечает: «На равенства и неравенства». Поначалу такой ответ мне показался забавным абсурдом. Но потом я подумал: ведь существует понятие ложного равенства, т. е. неравенства. Действительно, в «Толковом словаре математических терминов» (1965) есть два определения равенства: одно из них включает только верные равенства, но другое включает как верные, так и неверные равенства. Конечно, студентка так глубоко не рассуждала. Но, как говорится, «при наличии хорошего адвоката», он бы доказал, что ответ ее не был ошибочен. И я ей поставил тройку.

(Рассказ Б. Г.)

* * *

N экзаменует слабую студентку М. Спрашивает, можно ли разложить в степенной ряд в окрестности нуля абсолютную величину переменной х. К его удивлению М уверенно отвечает нет. N спрашивает, почему. К его еще большему изумлению, М отвечает:

— Эта функция не имеет производной в нуле.

— Здесь бы мне остановиться, — сетовал потом N, — а я возьми, да спроси, почему нет производной.

— Смотрите сами: для положительных x: производная равна 1. Чтобы найти производную в нуле, надо подставить в нее 0. А куда подставить-то? Ведь х уже нет.

(Прислал проф. Б. Кушнер, г. Питтсбург, США)

Глава 2. Математики 48

* * *

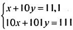
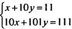
Округление — дело тонкое! Вот один поразительный пример. «Рассмотрим две системы линейных уравнений:

(a)

Иллюстрация к книге — Педагоги шутят тоже... Только строже [img8E99.jpg]
(b)
Иллюстрация к книге — Педагоги шутят тоже... Только строже [img541B.jpg]


Вторые уравнения в обеих системах совпадают, а первые — чрезвычайно близкие: свободный член отличается меньше, чем на 1 %. Казалось бы, что и корни обеих систем почти совпадают. Однако ответы такие: (a){11,1; 0}; (Ь){1; 1}».

(Сообщил доцент МГУИЭ А. И. Зюльков)

* * *

Принцип Арнольда утверждает: если математическое утверждение носит чье-то имя, то этот человек — не автор данного утверждения. Вопрос: кто автор принципа Арнольда?

[Федин и др., 2010. С. 42]

* * *

Встречаются двое.

— Который час? — спрашивает один.

— Без пяти одиннадцать.

— Шесть, что ли?

[Там же]


Два бородатых анекдота от матстатистиков

(1) Больной спрашивает врача: — Доктор, я слышал, что при моей болезни умирают 99 человек из 100. Значит, у меня нет шансов?

— Ну, что Вы! Вам повезло. У нас вчера умер как раз 99-й такой больной.


(2) Инструктор по прыжкам с парашютом обращается к новобранцам, которым предстоит совершить свой первый прыжок.

— Главное, не бойтесь вы этой статистики. По статистике не раскрывается всего 1 парашют из тысячи. А вас здесь всего двести человек.

* * *

В двух словах

Математики считают, что тонкая шутка — есть пересечение двух плоских.

[Федин, 2010. 3 изд. С. 80]


На экзамене по геометрии профессор спрашивает студента:

— Вы можете дать определение точки?

Глава 2. Математики

— Конечно, — отвечает студент, — Точка — это прямая линия, если смотреть ей прямо в торец.

[Федин и др., 2010. С. 35]

* * *

Полярный медведь — это прямоугольный медведь после преобразования декартовых координат в полярные.

[Федин и др., 2010. С. 36]

* * *

Ключевой вопрос математики: не все ли равно?

[Там же]

Лучший момент в жизни математика — это когда он уже вывел доказательство, но еще не нашел ошибки в нем.

[Там же. С. 47]

* * *

Дважды два уже четыре. А будет еще лучше.

(Хенрик Ягодзиньский)

* * *

Плюс — это когда два минуса поперек горла друг другу.

* * *

Производная от пьянки — это пьянка на сданную посуду.

* * *

На втором курсе Университета понимаешь, что математика становится по-настоящему сложной, когда из нее пропадают цифры.

* * *

Из семейства теорем существования. Если существует некая глупость, не противоречащая законам физики, то обязательно найдется тот, кто се совершит.

* * *

Народный артист России, поэт Леонид Алексеевич Филатов (1946–2003) как-то заметил, что «миллион алых роз», которые художник дарит актрисе в известной песне — это четное число!


Из перлов преподавателей МФТИ [22]

Итак, прошу вас освободить кору головного мозга для следующей теоремы.

Сегодня предстоит интересная лекция… По крайней мере, для меня.

* * *

Задачи будут интересные. Одну из них сейчас решает вся кафедра. Если решит, мы ее включим в экзаменационную работу.

Сами разбирайтесь, верно или нет. Мое дело — написать.

* * *

Я рисовал так, чтобы было ясно, что разобрать здесь что-нибудь совершенно невозможно.

Сейчас я провозглашу торжественное определение.

* * *

Чтобы вывести эту формулу мне достаточно спинного мозга. Зачем мне думать о знаке? Я же не студент.

Уж и не знаю, как вы там привыкли рисовать (n — 1) — мерную гиперплоскость.

Вот ось. Назовем ее ξ (кси) для простоты.

* * *

Что больше, дельта большое Δ или дельта маленькое δ?

* * *

Сейчас вылезут «пипополамы» <имеются в виду π/2. — Б. Г.>.

* * *

Эти вычисления я проведу в уме, так что вам несложно будет их проверить.

Вход
Поиск по сайту
Ищем:
Календарь