Книга Весь невидимый нам свет, страница 31 – Энтони Дорр

Авторы: А Б В Г Д Е Ж З И Й К Л М Н О П Р С Т У Ф Х Ч Ш Ы Э Ю Я
Книги: А Б В Г Д Е Ж З И Й К Л М Н О П Р С Т У Ф Х Ц Ч Ш Щ Ы Э Ю Я
Бесплатная онлайн библиотека LoveRead.in

Онлайн книга «Весь невидимый нам свет»

📃 Cтраница 31

Этьен отвечает с британским акцентом:

– Добрый вечер, мадемуазель, почему бы вам не отправиться со мной в джунгли и не угоститься бабочками? Они размером с тарелку и, возможно, даже не все ядовиты.

– Я охотно съела бы бабочку, мсье Дарвин, но прежде я съем вот это печенье.

Иногда по вечерам они играют в «Летающий диван»: усаживаются рядышком на кушетку, и Этьен спрашивает:

– Куда сегодня, мадемуазель?

– В джунгли! – Или: – На Таити! – Или: – В Мозамбик!

– О, на сей раз нам предстоит долгое путешествие, – говорит Этьен совсем другим голосом, вкрадчивым, бархатистым, медленным, как у проводника в поезде. – Сейчас под нами Атлантический океан, он мерцает в свете луны. Чувствуешь его запах? Чувствуешь, как тут холодно? Как ветер треплет волосы?

– Где мы сейчас, дядя?

– Мы над Борнео, разве ты еще не поняла? Скользим над верхушками деревьев, под нами поблескивают огромные листья, а вот кофейные деревья – чувствуешь запах?

Мари-Лора и впрямь чувствует. Ей не хочется решать: то ли Этьен провел у нее под носом чашкой с остатками кофейной гущи, то ли они и впрямь летят над Борнео.

Они посещают Шотландию, Нью-Йорк, Сантьяго. Несколько раз надевают зимние пальто и отправляются на Луну.

– Чувствуешь, Мари, какие мы легкие? Чуть толкнешься – и взмоешь на огромную высоту.

Он усаживает ее в кресло на колесиках и, пыхтя, возит кругами, пока у нее от хохота не начинает болеть под ложечкой.

– Вот, попробуй кусочек свежей Луны. – И Этьен вкладывает ей в рот что-то очень похожее по вкусу на сыр.

Заканчиваются все путешествия одинаково: они сидят рядышком на кушетке, молотят по подушкам, а комната мало-помалу материализуется вокруг них.

– Ах, – говорит Этьен уже почти обычным голосом, в котором свозит чуть заметная нотка страха, – вот мы и на месте. Дома.

Сумма углов

Вернера вызывают в кабинет преподавателя технических наук. Он входит. У его ног вьются три длинноногие гончие. Комнату освещают две настольные лампы под зелеными стеклянными абажурами. В темноте по стенам – шкафы с энциклопедиями, моделями ветряных мельниц, подзорными трубами, призмами. Доктор Гауптман, в кителе с медными пуговицами, стоит за большим письменным столом, как будто тоже только вошел. Бледный лоб обрамляют тугие светлые кудри; доктор медленно стягивает кожаные перчатки, каждый палец по отдельности.

– Подбросьте, пожалуйста, дров в камин.

Вернер проходит через комнату, ворошит угли и только тут замечает, что в комнате есть третий: здоровущий верзила прикорнул в кресле, рассчитанном на куда более щуплого человека. Это Франк Фолькхаймер, старшеклассник, семнадцатилетний исполин из какой-то северной деревушки. Младшие кадеты рассказывают о нем легенды: Фолькхаймерде перенес через реку трех первогодков, держа их над головой. Приподнял комендантский автомобиль, так что под заднюю ось смогли вставить домкрат. Еще говорят, будто он голыми руками задушил коммуниста. Выколол глаза бродячему псу, чтобы приучить себя к зрелищу чужих страданий. У него прозвище Великан. Даже в мерцающем свете камина видно, как вены синей виноградной лозой вьются по его рукам.

– Еще ни один учащийся не сумел построить мотор, – говорит Гауптман, не глядя на Фолькхаймера. – По крайней мере, без подсказки.

Вернер не знает, что ответить, поэтому молчит и снова тычет кочергой в камин. Искры летят в трубу.

– Вы знаете тригонометрию, кадет?

– Только то, что выучил сам.

Гауптман достает из ящика лист бумаги, что-то пишет:

– Вы знаете, что это?

Вернер щурится.

Иллюстрация к книге — Весь невидимый нам свет [i_001.jpg]

– Формула, герр доктор.

– Вы знаете, для чего она нужна?

– Чтобы по двум известным точкам найти третью, неизвестную.

Голубые глаза учителя блестят, словно он внезапно заметил под ногами нечто чрезвычайно ценное.

– Если я дам вам две известные точки и расстояние между ними, вы сможете решить задачу, кадет? Построить треугольник?

– Думаю, да.

– Садитесь за мой стол, Пфенниг. Сюда, на мой стул. Вот карандаш.

Вернер садится. Ноги у него не достают до пола. От камина в комнате жарко. Забыть про Фолькхаймера с его колоссальными ботинками и квадратной челюстью. Забыть про маленького лощеного учителя, который расхаживает перед камином, про поздний час, про собак, про шкафы, заставленные интереснейшими предметами. Есть только это:

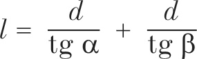
tg α = sin α / cos α

и sin(α+β) = sin α cos β + cos α sin β

Теперь d можно перенести в левую часть уравнения:

Иллюстрация к книге — Весь невидимый нам свет [i_002.jpg]

Вернер подставляет числа, которые дал Гауптман. Воображает, как два наблюдателя измеряют шагами расстояние между своими позициями, затем берут азимуты на далекий ориентир: корабль или фабричную трубу. Когда он просит логарифмическую линейку, учитель сразу кладет ее на стол, словно только и ждал этой просьбы. Вернер берет ее, не глядя, и начинает вычислять синусы.

Фолькхаймер наблюдает. Маленький учитель ходит из угла в угол, сцепив руки за спиной. Огонь в камине потрескивает. Слышно лишь дыхание собак да щелканье бегунка на логарифмической линейке.

Наконец Вернер говорит:

– Шестнадцать запятая сорок три, герр доктор.

Он чертит треугольник, подписывает расстояния и отдает листок учителю. Тот что-то смотрит в кожаной записной книжке. Фолькхаймер шевелится в кресле; его глаза поблескивают ленивым любопытством. Гауптман, упершись ладонью в стол, глядит в записную книжку, словно додумывая какую-то мысль. На Вернера накатывает безотчетное дурное предчувствие, но тут учитель вновь смотрит на него, и страх проходит.

– При поступлении вы написали, что после школы хотите изучать электротехнику в Берлине. И что вы сирота. Это так?

Вернер косится на Фолькхаймера, кивает:

– Моя сестра…

– Работу ученого, кадет, определяют два фактора. Его интересы и требования времени. Вам понятно?

– Да.

– Мы живем в исключительное время, кадет.

Волнение распирает грудь. Озаренный пламенем кабинет с книжными шкафами – в таких местах и вершатся великие дела.

– После обеда вы будете работать в лаборатории. Каждый вечер. Включая воскресенье.

– Да, герр доктор.

Вход
Поиск по сайту
Ищем:
Календарь