Книга Радуга тяготения, страница 83 – Томас Пинчон

Авторы: А Б В Г Д Е Ж З И Й К Л М Н О П Р С Т У Ф Х Ч Ш Ы Э Ю Я
Книги: А Б В Г Д Е Ж З И Й К Л М Н О П Р С Т У Ф Х Ц Ч Ш Щ Ы Э Ю Я
Бесплатная онлайн библиотека LoveRead.in

Онлайн книга «Радуга тяготения»

📃 Cтраница 83

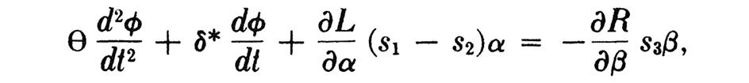
Так и свели, буквально, кошмарный пролет Ракеты к буржуазным понятиям, к понятиям такого уравнения, как вот эта элегантная помесь философии и железяк, абстрактной перемены и шарнирных петель реального металла, что описывает движение со стороны управления по рысканию:

Иллюстрация к книге — Радуга тяготения [i_002.jpg]


сохраняя, владея, руля меж Сциллой и Харибдой аж до самого Бренншлусса. Если какие-нибудь молодые офицеры замечали соответствие между глубоким консерватизмом Обратной Связи и той жизнью, которую им предстояло вести в самом процессе ее приятия, оно терялось или маскировалось — никто этого соответствия не прослеживал, по крайней мере — при жизни: чтобы оно явилось Роланду Фельдштропу, потребовалась смерть — смерть с ее весьма немалыми шансами Опоздать — и когорта прочих душ, ощущающих себя — даже теперь — Ракетоподобными, правящими к меднокупоросным огням Вакуума под Хозяйским Контролем, каковой определить они способны не вполне… освещение тут удивительно мягко, мягко, аки одежды небесные, тут ощущение совокупности поголовья и незримой силы, обрывки «голосов», мельком — другой порядок бытия…

Впоследствии у Ленитропа остается не столько ясный символ его или схема, сколько некое щелочное послевкусие стенанья, несократимая странность, самодостаточность, в которую не проникнуть ничему…

Да, немецки отчасти эти эпизоды. Ну, Ленитроп нынче и сны видит на этом языке. Его тут учат диалектам, Plattdeutsch [125] для той зоны, что планируют оккупировать британцы, тюрингский на случай, если русские вдруг не дойдут до Нордхаузена, где ведутся основные ракетные работы. Вместе с преподавателями языка его навещают специалисты по артиллерийско-техническому снабжению, электронике и аэродинамике, а также парняга из международной нефтяной компании «Шелл» по имени Хилэри Отскок, который будет учить Ленитропа тяге.

Похоже, в начале 1941 года британское Министерство снабжения выделило «Шеллу» исследовательский контракт на 10 ООО фунтов стерлингов — хотели, чтобы «Шелл» создал ракетный двигатель, работающий не на кордите, а на чем-нибудь другом, поскольку в те времена кордитом взрывали различных людей, и уходил он со скоростью просто уймища тонн в час, на раке ты его тратить не полагалось. Команда под управлением некоего Айзека Лаббока устроила полигон для статических испытаний в Лэнгхёрсте возле Хоршема, принялась экспериментировать с жидким кислородом и авиационным бензином, и первые успешные испытания прошли в августе 42-го. Инженер Лаббок был дважды отличником в Кембридже, а также Отцом Британских Исследований Жидкого Кислорода, а чего он не знал про всякие штуки кислого рода, того и знать не стоило. Главным ассистентом его нынче — мистер Джеффри Голлин, и вот ему-то Хилэри Отскок и подчиняется.

— Ну, сам я предпочитаю «Эссо», — Ленитропу кажется, об этом стоит упомянуть. — Моя старая тачка лопала будь здоров, но была гурман. Как ни залью «Шелл», так целую бутыль «Бромо» в бак плескать приходилось, чтоб только у этой бедной ебучки «терраплейна» желудок не расстраивался.

— Вообще-то, — брови капитана Отскока, преданного компании на 110 %, рьяно ходят вверх-вниз, помогая ему выпутаться, — мы тогда занимались только перевозками и хранением. В те дни, до япошек и фашистов, понимаете, производством и очисткой занимались голландцы, контора в Гааге.

Ленитроп, бедный ботан, вспоминает Катье, утраченную Катье, как она произносит имя своего города, шепчет голландские слова любви, а тем временем они вдвоем минуют морские утра — другая эпоха, другой божий промысел… Секундочку.

— Это же «Bataafsche Petroleum Maatschappij, N.V.»?

— Точно.

А кроме того — негатив снимка авиафоторазведки: город, темно-бурый, весь в гирляндах водяных пятен, вечно не хватает времени толком просушить…

— Вы, остолопы, вообще осознаёте, — его также пытаются научить английскому английскому, бог знает зачем а выходит, как у Кэри Гранта, — что Фриц — ну, старина Фриц, понимаете, — как раз в этой Гааге и был, палил своими проклятыми ракетами по Лондону, и вдоба-авок использовал при этом… здание штаб-квартиры «Ройял Датч Шелл», на Иосефа Исраэлплейна, если не ошибаюсь, там передатчик радио наведения стоял? Что это за причудливая срань, старик?

Отскок пялится на него, побрякивая своими брюшными брюликами, в точности не постигая, как относиться к этому Ленитропу.

— Я в смысле, — Ленитроп уже распаляет себя до суеты: его лишь задевает несколько, смутно, тут ссориться-то не из-за чего, или как? — не поражает ли вас некоторой странностью: вы, шелловцы, сращиваете свой двигатель на жидком топливе по свою сторону Канала, если угодно, а их парни палят в вас своей чертовней с вашей же собственной… проклятущей… «шелловской» передающей вышки, изволите ли видеть.

— Нет, я не понимаю, как это… к чему вы клоните? Они же наверняка просто выбрали самое высокое здание в городе, и чтоб располагалось на прямой от их стартовых площадок до Лондона.

— Да, и к тому же — на нужном расстоянии, не забывайте — ровно в двенадцати километрах от огневой позиции. Эй? Вот именно к этому я и клоню. — Погоди, о погоди-ка. Вот к этому он клонит?

— Ну, я в таком разрезе об этом никогда не думал.

Я тоже, Джексон. Ох, и я не кумекал, народ…

Хилэри Отскок и его Озадаченная Улыбка. Еще один невинный простак, эдакий неброский энтузиаст, как и сэр Стивен Додсон-Груз. Но:

Паремии для Параноиков, 2: Невинность тварей обратно пропорциональна безнравственности Хозяина.

— Надеюсь, ничего лишнего я не ляпнул.

— Эт как?

— Вы, кажется… — Отскок выдыхает то, что пытается выдать за дружественный хмычок, — переполошились.

Нормально так переполошился. Клянусь челюстями и клыками некоей Твари, некоего Присутствия, столь огромного, что его никто не видит, — вот! вот чудовище, я же говорил. — Да это не чудовище, дурашка, это облака! — Нет, как же ты не видишь? Это его ноги… — Ну, а Ленитроп чует зверя в небесах: его зримые когти и чешую остальные принимают за облака и прочие благовидности… либо же все условились звать их другими именами, когда Ленитропу слышно…

— Это просто «нелепое совпадение», Ленитроп.

Он научится слышать кавычки в чужой речи. Книжный такой рефлекс, может, он генетически предрасположен — все эти прежние Ленитропы таскали по синим холмам Библии, такие же хозяйственные принадлежности, как и прочее, зубрили по главам и стихам конструкции Ковчегов, Храмов, Провидческих Престолов — все материалы и размеры. Коих данные всегда, ближе или дальше, были непостижимой несомненностью Господа.

Ну а есть ли у Энии более приличествующий способ одним холодным утром Сообразить, нежели вот такой:

Вход
Поиск по сайту
Ищем:
Календарь