Книга Семейный круг, страница 14 – Андре Моруа

Авторы: А Б В Г Д Е Ж З И Й К Л М Н О П Р С Т У Ф Х Ч Ш Ы Э Ю Я
Книги: А Б В Г Д Е Ж З И Й К Л М Н О П Р С Т У Ф Х Ц Ч Ш Щ Ы Э Ю Я
Бесплатная онлайн библиотека LoveRead.in

Онлайн книга «Семейный круг»

📃 Cтраница 14

Встретив во дворе директрису, мадемуазель Обер спросила:

— Вы знаете, сударыня, мою ученицу Денизу Эрпен?.. Разве она лишилась матери?

— Почему? — удивилась директриса. — Откуда вы это взяли? Да нет. Я отлично знаю… Семья ее живет в Пон-де-Лэре. Мать сама привезла ее к нам, и девочка удивительно на нее похожа.

— Странно, — заметила мадемуазель Обер.

XIV

Хотя теперь Дениза и жила у бабушки, она была от нее очень далека. Она относилась к ней как к автомату, все реакции которого можно заранее предвидеть, и поэтому ей никогда и в голову не приходило поговорить со старушкой откровенно. Она знала, что от бабушки можно ожидать три рассказа — о том, как она выходила замуж: «Мой дорогой Адеом был нормандец, я происходила из Берри, и мы так никогда и не узнали бы друг о друге, если бы не монсеньор де Кабриер…», затем рассказ о том, как дорогой Адеом в 1871 году воевал с пруссаками, и, наконец, о том, как был продан замок Тюисиньоль — колыбель рода д’Оккенвилей. Дениза знала также, что если кто-нибудь из старинных подруг бабушки приедет, чтобы провести с нею вечер, она непременно вызовет внучку и скажет: «Теперь сыграй нам свою Прелюдию». Дениза несколько раз пробовала угодить бабушке, сыграв какую-нибудь другую пьесу, но вскоре поняла, что всякая перемена огорчает и волнует старушку.

Отношения между Денизой и бабушкой установились сердечные, но поверхностные; зато Дениза испытала на себе за время пребывания в Руане два сильных, хоть и совершенно различных влияния. Во-первых, влияние мадемуазель Обер, которая научила ее писать совсем просто и переносить личные огорчения в план философских раздумий. Но Кристиана Обер, будучи верующей и, несомненно, янсенисткой, принимала как неизбежное разлад между устремлениями человека и его ничтожностью; Дениза же Эрпен была бунтовщицей; считая мир жестоким и мелочным, она хотела либо бежать из него, либо его изменить. Очень быстро она заняла в лицее господствующее положение, стала первой ученицей в классе и кумиром преподавателей.

Другое влияние, оказанное на Денизу, исходило от трех юношей, которые вместе с нею тем же поездом выезжали из Руана по субботам вечером и возвращались в понедельник утром. Из этих трех юношей один, Бертран Шмит, отправлялся в Эльбёф, двое других — Бернар Кенэ и Жак Пельто — в Пон-де-Лэр. Жак Пельто был сыном нотариуса, а сестра его Берта училась вместе с Денизой в монастыре. В 1912 году Жаку было пятнадцать лет, двум другим по семнадцати. Все трое были очень развиты и начитанны, они ввели Денизу в совершенно новый для нее мир.

Самым выдающимся в этом кружке считался Бертран Шмит, но Денизу более привлекал Жак Пельто. Ей нравилось его немного хрупкое сложение, тонкое лицо и прекрасный лоб, на который спадала широкая прядь каштановых волос. А быть может, и какая-то глухая, неосознанная обида на госпожу Пельто, которая была настроена к ней враждебно, внушала Денизе желание понравиться, больше чем кому-либо, именно ее сыну?

Бертран Шмит весь год руководил чтением Денизы. Он познакомил ее с Барресом, Жидом, затем с Лафоргом, Рембо. Потом под влиянием Руайе, своего «проффила» (профессора философии), рьяного стендалиста, он дал ей прочесть «Красное и черное». Чудесная книга для молоденькой строптивой девушки! Бертран не собирался принять после отца управление их заводом в Эльбёфе; ему хотелось продолжать ученье в Париже, потом писать.

— Но что именно писать, Бертран?

— Не знаю еще. Может быть, романы… Когда я читаю Диккенса или Толстого, мне всегда хочется включить людей, окружающих меня, — вас, Мориса, Бернара, родителей, — в книгу, которую я читаю… Впрочем, я так говорю, а сам думаю, что, начни я писать, — получится нечто отвратительно-пошлое.

Бертран был мечтатель и изъяснялся несколько косноязычно. Жак, более яркий, более целеустремленный, критиковал янсенизм мадемуазель Обер. Однажды он очень порадовал Денизу, сказав:

— Вчера я встретил вашего отца и говорил с ним о вас… Он умный.

— Встретились с папой? — удивилась Дениза. — Что же он вам сказал?

— Да уж не помню… Впрочем, вот: мы говорили о Тэне, Ренане… Он очень начитан.

На другой год Бертран Шмит уехал в Париж, чтобы готовиться к сдаче лиценциатского экзамена в Сорбонне. Бернар Кенэ сдал второй экзамен на бакалавра и поступил в батальон пеших егерей. По субботам, в вечернем поезде, Дениза теперь бывала одна с Жаком Пельто. Они очень сблизились. Жак изо дня в день помогал ей в занятиях. Он был хорошим математиком, и то, что ей казалось в классе непонятным, после его объяснений становилось ясным.

Дорога эта стала для них столь привычной, что они уже не любовались ни прекрасной долиной Сены, ни трубами Эльбёфа, которые высились вокруг двух мостов, перекинутых через изгиб реки, ни лесом возле Лувье, обнаженные ветви которого покрылись снежной бахромой. Они уже не прислушивались к названиям остановок, к свистку начальников станций и рожку кондуктора. Сидя в купе, обитом потертым бежевым сукном, при мутном красноватом свете масляного фонаря, они занимались математикой.

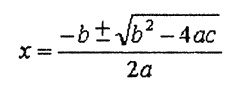
— Послушайте, Дениза, я просто не понимаю, что вам тут не понятно… Что вы должны сделать? Решить квадратное уравнение? А что вы умеете делать? Решать уравнения первой степени? Значит…

— Не знаю, Жак… Как только начинается математика, я становлюсь тупицей.

— Нет, вы подумайте… Надо преобразовать неизвестное вам в то, что вам известно… Ведь если бы этот трехчлен был сам по себе правильным квадратом, тогда вы могли бы разложить это уравнение второй степени на множители. Не так ли?

— Да… Но ах2 + bx + с — неправильный квадрат.

— Конечно, но разве в нем нельзя отыскать элементы правильного квадрата?

Рядом с ними двое мужчин, севшие в поезд в Кевийи, обсуждали президентские выборы.

— Что ни говори, — кричал один из них, — а республиканская дисциплина требует, чтобы Пуанкаре снял свою кандидатуру, раз другой получил больше голосов, чем он.

— Когда речь идет о двух республиканцах, никакой республиканской дисциплины нет, — возразил его спутник, чихая.

— Итак, — заключал Жак:

Иллюстрация к книге — Семейный круг [i_001.jpg]

Правильно? Поняли?

— Теперь поняла, Жак. Спасибо. Вы изумительны.

— Я не изумителен, но я обожаю вам объяснять. Я хотел бы вам объяснять всю жизнь.

— То есть как это, Жак?

— Простите, я сказал глупость, но вы отлично понимаете.

В минувшие каникулы, которые все они проводили на море, молодые люди стали относиться к ней как к взрослой. Она похудела, и черты лица ее заметно утончились. В Пон-де-Лэре на улице люди останавливались, разглядывая ее, и с удивлением спрашивали: «Это ваша дочь, мадам Эрпен? Ни за что бы не узнала! Какая прелесть… Теперь она — вылитый ваш портрет». Эти восторги радовали ее. Она решила не выходить замуж. Она слишком хорошо знала, что представляет собою брак. Ее детские горести развили в ней стремление к целомудрию. Однажды Жак, оказавшись с Денизой наедине в купе в то время, как поезд проходил туннель перед Пон-де-Лэром, склонился к ней, чтобы ее поцеловать. Она отстранила его так решительно, что он уже больше никогда не осмеливался на это. Теперь, едва только поезд входил в туннель, он начинал шумно складывать книги, чтобы побороть в себе искушение.

Вход
Поиск по сайту
Ищем:
Календарь