Книга Бот, страница 133 – Максим Кидрук

Авторы: А Б В Г Д Е Ж З И Й К Л М Н О П Р С Т У Ф Х Ч Ш Ы Э Ю Я
Книги: А Б В Г Д Е Ж З И Й К Л М Н О П Р С Т У Ф Х Ц Ч Ш Щ Ы Э Ю Я
Бесплатная онлайн библиотека LoveRead.in

Онлайн книга «Бот»

📃 Cтраница 133

Невзирая на все вышесказанное, все герои и ключевые события романа вымышленные.

И еще… В конце лета 2011 года, написав бо́льшую часть романа, я потерял перспективу. Продолжал писать скорее по инерции, чем осмысленно. Я больше не мог объективно оценивать текст. Такое часто случается, когда пишешь большой текст. Потеря чувства новизны рано или поздно приводит к утрате веры в саму идею. Просто наступает момент, когда тебе больше неинтересно рассказывать самому себе эту историю. Это очень неприятная вещь.

Но тут я совершенно случайно наткнулся на песню «Undead» молодой rap-core-команды «Hollywood Undead». Это было настоящее землетрясение! Долбаный Везувий шарахнул огнем у меня перед мордой! Ничего подобного я не чувствовал с 1998 года, когда впервые услышал шведских рокеров «In Flames». Насыщенная импульсивная мелодия рвала меня на куски, сжигала мои внутренности. Я словно летал над землей. Этот прилив энергии надо было на что-то потратить. И я с новыми силами засел за рукопись. На рассвете каждого дня сбрасывал в плеер три песни «Hollywood Undead» — «Undead», «California» и «City» — включал звук на полную и писал, писал, писал… Никому не известные молодые рокеры стали электрошоком, который прожег мою башку, вернув в нее привычных чертиков. 6 — 7 часов / 2000 слов / 13 000 знаков каждый день — и я увидел, как отдельные оборванные куски срастаются в прочное цветное полотно, формируя целостное повествование.

Поэтому в заключение я благодарю «Hollywood Undead» за песню, которая перетряхнула стружку в моей голове и помогла закончить «Бот». Эта композиция позволит лучше понять, в каком полубезумно-эйфорическом настроении писались последние главы. Надеюсь, она пригодится и вам. Ее легко найти в Интернете. Пусть ураганные аккорды «Undead» вдохновят вас, замкнут нужные нейроны в мозгу и помогут завершить какой-нибудь проект на таком высоком уровне, на который вы только способны.

Хотя вдруг я ошибаюсь и песня не заденет ни одного из ваших жизненно важных органов?.. Ну что ж, тогда вы просто позлите ревом динамиков своих соседей. :)


М. К.


14 января 2012 года

Хостел «Cardboard Box Backpackers»

Виндхук, Намибия


P. S. Эпизод, в котором Хедхантер расстреливает ботов в самый интимный момент их короткой и такой нелегкой жизни, посвящается Квентину Тарантино и Чаку Паланику.

Приложение А
Множество Мандельброта

Перед тем как перейти к рассмотрению множества (фрактала) Мандельброта, вспомним, что такое обычное квадратное уравнение (мы все изучали их в начальных классах школы), а также то, как они решаются. Именно через такие уравнения легче всего усвоить понятие комплексных чисел и комплексной площади.

Квадратным уравнением называется алгебраическое уравнение вида:

ax2 + bx + c = 0,

де a, b и c — коэффициенты, x — переменная.

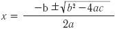
Это уравнение имеет два решения (корня), определямые из выражения:

Иллюстрация к книге — Бот [_30.jpg]

Вообще выражение b2 – 4ac, из которого добывается корень квадратный в числителе, может быть любым — как положительным, так и отрицательным. В случае b2 – 4ac ≥ 0 проблем не возникает — уравнение решается и имеет два корня. Что же получается, когда b2 – 4ac < 0, и под корнем квадратным оказывается отрицательное число? До пятого или шестого класса нас учили, что такое уравнение не решается. Корней просто не существует. Это утверждение основывалось на невозможности извлечения корня квадратного из отрицательного числа. На самом деле все совсем не так просто.

В математике немало задач, во время решения которых приходится извлекать корень из отрицательного числа. Чтобы справиться с этой проблемой, математики придумали интересную штуку, так называемую мнимую единицу. И обозначили как i = √–1. Это число, которое, умноженное само на себя, дает минус один. То есть i2 = –1. Таким образом, решить квадратное уравнение можно даже при b2 –4ac < 0. Корни в таком случае будут выглядеть так:

Иллюстрация к книге — Бот [_31.jpg]

где i — мнимая единица.

А теперь забудьте о квадратных уравнениях и сконцентрируйтесь на идее мнимой единицы. Введение понятия числа i привело к появлению комплексных чисел.

В целом комплексные числа — это расширение действительных чисел, которыми мы обычно пользуемся при счете.

Любое комплексное число z записывается в виде:

z = x + iy,

где x и y — обычные (действительные) числа, i — мнимая единица.

Длительное время комплексные числа воспринимались только как абстракция, выдуманная математиками для решения своих головоломок. Однако потом оказалось, что с их помощью удается в сжатом и удобном для последующих вычислений виде записывать многие математические формулы. Поэтому комплексные числа нашли применение в электротехнике, гидродинамике, квантовой механике, теории колебаний… Собственно, если бы не комплексные числа, ученые до сих пор не имели бы представления о фрактальной геометрии, а также о сверхсложном устройстве природы.

Комплексные числа можно представить геометрически (визуально). Возьмем площадь с прямоугольной (декартовой) системой координат. На оси абсцисс будем откладывать значения x, на оси ординат — y (см. рис. ниже). А любое комплексное число (z0 = x0 + iy0 или z1 = x1 + iy1) можно изобразить как точку на этой плоскости (соответственно с координатами {x0, y0} и {x1, y1}). Эта плоскость получила название комплексной.

N. B. Обратите внимание: действительные числа (те, которыми мы пользуемся в быту) на комплексной площади соответствуют исключительно оси абсцисс. Для них y = 0. Введение понятия комплексных чисел невероятно расширило границы математических вычислений. Это как будто другая реальность, новое измерение. На комплексной площади эти числа — все, что лежит выше и ниже оси абсцисс. Другими словами, с точки зрения математики действительные (обычные) числа — это скорее исключение. Преимущественное большинство значений выражается именно комплексными, а не действительными числами.

Иллюстрация к книге — Бот [_32.jpg]

Геометрическое представление комплексных чисел на комплексной площади


Вот теперь мы наконец подошли вплотную к множеству Мандельброта.

Математик Бенуа Мандельброт исследовал так называемые рекурсивные последовательности: каждое следующее значение z такой последовательности получалось из предыдущего по формуле: zi+1 = zi2 + c, где с — произвольное комплексное число.

Вход
Поиск по сайту
Ищем:
Календарь