Книга Повести и рассказы для взрослых детей, страница 32 – Эдуард Успенский

Авторы: А Б В Г Д Е Ж З И Й К Л М Н О П Р С Т У Ф Х Ч Ш Ы Э Ю Я
Книги: А Б В Г Д Е Ж З И Й К Л М Н О П Р С Т У Ф Х Ц Ч Ш Щ Ы Э Ю Я
Бесплатная онлайн библиотека LoveRead.in

Онлайн книга «Повести и рассказы для взрослых детей»

📃 Cтраница 32

В зале все молчат. Какие уж тут возражения. Все изложено, как в учебнике.

– А теперь я вам скажу, чем наш завод лучше других. Ну, во-первых, мы – опытный завод, и платят у нас больше. Во-вторых, мы территориально недалеко от вас. В-третьих, производство у нас чистое, высокой квалификации. Даже токари работают в белом. Любой наш сборщик или механик для другого завода – ценность. Сертификатная. И последнее. Я знаю, что многие из вас мечтают быть физиками, инженерами, учеными. Так вот, у нас для этого полное раздолье. Есть вечерний техникум при заводе, и открывается филиал приборного института. Через пять лет ты и сборщик высшей квалификации, и инженер, диплом у тебя в кармане. А таким специалистам в наше время цены нет. У кого есть возражения?

В зале все молчат. Какие уж тут возражения. Все изложено, как в учебнике.

Тут меня черт дернул встрять:

– Виктор Павлович, можно вопросик?

– Давай.

– Вы насчет инженеров сказали. Вот я сейчас сборщиком работаю. Правильно?

– Правильно.

– Оклад у меня двести. Верно?

– Верно.

– За освоение новой техники десять процентов приплачивают. Так?

– Так.

– И сверхурочные бывают до пятидесяти процентов. В общем, иногда до трехсот рублей набегает.

– Понятно, – говорит Дмитриев. – Вот откуда у нас перерасход заработной платы.

– А теперь я закончу институт, и куда вы меня направите?

– В лабораторию старшим инженером или в цех технологом.

– И какой оклад?

– Сто двадцать. И квартальная премия тридцать процентов.

– Спасибо, Виктор Павлович. Дмитриев, как всегда, не растерялся:

– Видите, ребята. У нас даже простой сборщик больше инженера зарабатывает.


После этого выступал Матвей Розов. Его выступление всегда страничку «Знаете ли вы» напоминало.

– Знаете ли вы, что впервые сдвоенный резец применил Петр Первый?

– Знаете ли вы, что английский премьер-министр Черчилль любил в свободное время поработать на токарном станке?

– Знаете ли вы, что есть оборудование, позволяющее работать под микроскопом?

– Что вода на висячие сады Семирамиды поднималась при помощи винта Архимеда? И если бы не было этого винта, воду надо было бы поднимать с помощью ста пятидесяти верблюдов. Сейчас винт Архимеда используется в каждой мясорубке.

И так далее, и тому подобное. Все жутко интересно, а вспомнить потом, что он говорил, практически невозможно.

Потом Дмитриев Бычкова представил. Вернее, просто показал:

– Это наш ГЛАВНЫЙ РАБОЧИЙ МЕХАНИК. Рабочий шестого разряда. А с ним даже членкоры советуются. В теории он ничего не понимает и формул не знает. И не мудрено. Там каждая формула длиной с полкилометра будет. Но все он чувствует и на любой вопрос ответить может. Он единственный на заводе, кому НИИ, поставляющий расчеты, разрешает чертежи менять. Они ему больше, чем себе, доверяют. Одних рацпредложений он четыре в месяц подает. Одно хитрее другого. А наше опытное производство для умного человека просто Клондайк. Что хочешь придумывай и предлагай. Лишь бы это прибыль давало. И один Бычков дал нам больше прибыли, чем весь электроремонтный цех. Говорить он не любит и, кажется, вообще не умеет. Поэтому вы просто на него посмотрите. Ты, Бычков, иди и просто постой на трибуне.

Бычков постоял. Я захлопал, и все вокруг зааплодировали.


Потом Дмитриев меня представил. Рассказал историю про меня и про спальный матрас. И закончил ее своим удивлением по поводу того, что лучшим сборщиком я оказался, а не какой-нибудь другой серьезный и достойный человек. С хорошим обликом и биографией. Я говорю:

– Серьезность, ребята, это еще не достоинство. Индюк тоже серьезный. А особенно баран. Но только был у нас на заводе такой случай. В механическом цехе. Вбивали в бетонную стенку костыли. Специальным таким пистолетом-молотком. Вкладывается в ствол костыль и пороховой патрон. Подносят пистолет к стенке – бабах – половина костыля в стене, половина персонала в обмороке. Цех огромный. Эхо от взрыва полчаса перекатывается. Вот пару раз пистолетчик бабахнул и третий раз приготовился. А тут по цеху идет комиссия. Нарядные такие, важные, в белых рубашках. Представили себе?

– Представили.

– Видим ясно…

– И вдруг как трахнет! Мы-то люди тренированные, привычные. Уже два выстрела пережили, и то у нас инструменты из рук попадали. А им-то, новичкам, каково? И тут кто-то как крикнет: «Ложись!» Ну и рухнули они, как подкошенные, в ужасе! Лежат, в себя приходят, потери подсчитывают. Одного, самого молодого, под руки увели. Да еще один наш электрик в обморок шлепнулся. Он в это время рубильник включил для точила. Он включил, и как бабахнет! Ему в голову пришло, что он завод взорвал. А за это спасибо не скажут. Потом наше начальство несколько суток рабочих допрашивало: «Кто крикнул?! Признавайтесь, а то хуже будет. Признавайтесь, добром просим». Но кричальщик не признался и, по-моему, правильно сделал. Из-за него всем начальникам в цехе так шею намяли, что они волей-неволей беднягу бы слопали. Механически. Где бы премии не дали, где бы в квартире отказали, где бы в самый дождь на картошку отправили. К чему я это говорю? А к тому, что в тот день производительность труда в цехе была самая высокая. Рабочие хохотали, мастера посмеивались, а начальник цеха сквозь зубы, но все-таки улыбался. Это и сказалось на выработке.

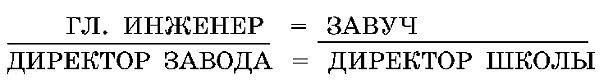
Или вот. Сейчас в сборочном цехе разрешили включать несерьезную музыку. И никто в приборах ничего не путает. И производительность у нас улучшается. Но самое главное вот что. Сколько бы вам про завод ни рассказывали, сколько бы экскурсий у вас ни было, ничего вы не узнаете про свою будущую работу. И выбрать место себе не сумеете. Я предлагаю организовать курсы для поступающих на наше предприятие. Или наоборот, для желающих бежать от него как можно дальше. И готов руководить этими курсами, потому что хорошо знаю завод. Объясняю я все очень толково. Вот пример. Что такое главный инженер? Каков его статус на заводе? Отвечаю формулой, пропорцией:

Иллюстрация к книге — Повести и рассказы для взрослых детей [i_003.jpg]

Отсюда:

Иллюстрация к книге — Повести и рассказы для взрослых детей [i_004.jpg]

На этом все кончилось. На обратном пути Дмитриев у меня спросил:

– Это кто же у нас комиссию на пол положил? Почему я ничего не знаю?

– Потому что до вашего сведения, Виктор Павлович, не все доводят. Уж больно вы человек крутой. Неожиданный и суровый. Неизвестно, чем этот доклад кончится. Это раз. А во-вторых, это я уложил. Так что учтите, Виктор Павлович. И когда вас в главк переведут, о чем слухи упорные ходят, делегаций по цехам не водите.

Вход
Поиск по сайту
Ищем:
Календарь