Книга Тайны Калинова моста, страница 91 – Валентина Елисеева

Авторы: А Б В Г Д Е Ж З И Й К Л М Н О П Р С Т У Ф Х Ч Ш Ы Э Ю Я
Книги: А Б В Г Д Е Ж З И Й К Л М Н О П Р С Т У Ф Х Ц Ч Ш Щ Ы Э Ю Я
Бесплатная онлайн библиотека LoveRead.in

Онлайн книга «Тайны Калинова моста»

📃 Cтраница 91

– Заглядывайте, Василиса Алексеевна, заглядывайте, я сам хотел словечком с вами перемолвиться, – дружелюбно забасил Твердолобов, услышавший её через приоткрытую дверь.

Бочком протиснувшись в кабинет, Василиса выложила на стол конфеты с невнятным бормотанием слов благодарности. И убедилась, что совет Игнат, как всегда, дал толковый: начальство расплылось в улыбке, коробку прибрало в ящик стола и широким жестом предложило присесть и рассказать об успехах. Что именно считать успехом не уточнялось, и Василиса сообщила самую последнюю новость:

– В областном конкурсе коротких литературно-математических рассказов участвовала: мои ребята забавную сказку сочинили.

– Видел-видел в школьном отчёте. Только зачем же сказку? – сморщился Твердолобов. – Надо было что-то патриотическое на математическую тему сочинить! Или про космос там, про IT-технологии, чтобы в струю свежих веяний в образовании попасть. Новинками надо детей заинтересовывать, показывать, что наша российская школа шагает в ногу с прогрессом и последними достижениями человечества, а вы – сказку. Казалось бы, молодой специалист должен лучше меня разбираться в трендах, а вы отправили на областной конкурс сказку! Устаревший это формат в эпоху искусственного интеллекта, Василиса Алексеевна. Чем ещё порадуете?

– Как бы... той же сказкой. Она второе место на конкурсе заняла, её в журнале «Современная школа» напечатали, мне один экземпляр прислали, вот. И грамоту тоже.

– Да что вы! – изумился Твердолобов, открывая журнал на отмеченной закладкой странице. – Молодец, Василиса Алексеевна! Я так сразу и сказал себе: «Что за прелесть эта сказка! В самый раз на конкурс». Дайте-ка я её прочитаю...

В журнале было написано:

***

Сказка о дробях

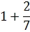
В одной математической стране жили самые обыкновенные дроби. Высокие дроби, двухэтажные, а порой – и трёхэтажные. Даже простые числа были тут высокие – двойного размера, чтобы сравниться со своими соседями дробями. Иногда целые числа дружили с дробными и частенько прогуливались парами, вот так:

Иллюстрация к книге — Тайны Калинова моста [book-illustration-2.webp]

Такая пара именовалась смешанным числом и настолько гордилась своей тесной дружбой, что требовала записывать себя без знака, вот так:

Иллюстрация к книге — Тайны Калинова моста [book-illustration-3.webp]

Мирно жили дроби, между собой не ссорились, и вдруг к ним нагрянула заграничная гостья: десятичная дробь. Десятичная дробь была маленькой и длинной, вот такой:

3,50784

– Какая она странная! Как червячок, – зашептались стройные простые дроби. – Неужели она взаправду наш сородич? Быть такого не может, не верим!

– И тем не менее, я – ваша более молодая родственница. Впервые я родилась в Китае, в третьем веке, а нынешнюю гармоничную форму обрела уже в Европе, в конце 16 века, – горделиво вытягиваясь в струнку, ответила десятичная дробь.

– А что с тобой можно делать? – недоуменно спросили простые дроби.

– Всё! – самоуверенно ответила гостья. – Складывать и вычитать, умножать и делить – так же, как и вас. Причём со мной все эти действия произвести намного проще.

Простые дроби возбуждённо зашептались: неужели вправду проще? Неужели люди скоро откажутся от них, обычных дробей, и будут пользоваться только такими длинными червячками?! Кошмар! Катастрофа!

– И как же тебя можно складывать и вычитать? – уточнили расстроенные простые дроби.

– Как целые числа – в столбик, – хвастливо ответила заграничная гостья. – Не нужно мучиться с общим знаменателем, переводами в неправильную дробь и прочими глупостями.

Вход
Поиск по сайту
Ищем:
Календарь