Онлайн книга «Мотивированный мозг. Высшая нервная деятельность и естественно-научные основы общей психологии»
|
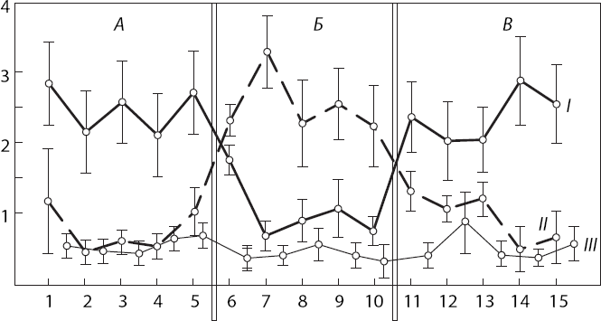
Были приняты следующие критерии. Крыса считалась чувствительной к крику боли, если она находилась на педали менее 1 мин. Экстраверсия диагностировалась в случае, когда время пребывания на педали при действии света и звука не менее чем на 1 мин превосходило время при болевом раздражении другой крысы. Противоположные отношения расценивались как интроверсия. Остальные крысы считались амбивертами. Мы определяли крысу как эмоционально стабильную (низконевроидную), если общее среднее время пребывания на педали при действии аверсивных стимулов превышало 1 мин 30 с. Примеры крыс с перечисленными выше характеристиками приводятся в табл. 1. Ясно, что такое деление является весьма условным: индивидуальные особенности поведения данной крысы характеризуют абсолютные величины избранных нами показателей, а не условные границы между экстравертами, интровертами и амбивертами. Эти границы нужны только для статистических выкладок, характеризующих популяцию или сравнительную устойчивость к невротизирующим воздействиям, о чем речь пойдет ниже. Соотношение различных типов поведения в популяции из 40 обследованных крыс представлено в табл. 2. ![]() Таблица 1. Типичные примеры индивидуальных особенностей поведения крыс Таблица 2. Соотношение различных типов поведения в популяции из 40 взрослых крыс-самцов ![]() Трудно сказать, в какой мере эти индивидуальные особенности поведения зависят от генетических или средовых факторов, хотя имеются сведения о том, что частота нажатий на рычаг, подкрепляемых включением света и ослаблением шума, на 71 % детерминирована у лабораторных крыс генетически (Oakeshott, Glow, 1980). В исследовании, проведенном совместно с М. Л. Пигаревой, В. Н. Мац и Т. И. Михеевой (Simonov, 1981), мы обнаружили зависимость перечисленных выше параметров от сохранности или повреждения ряда лимбических структур. На рис. 22 график I показывает среднее время пребывания на педали семи интактных крыс, для которых сигналы оборонительного возбуждения партнера (крик, движения, выделение специфических пахучих веществ) были более эффективным стимулом, чем усиление освещенности и звучание тона. После двусторонней коагуляции фронтальных отделов новой коры и гиппокампа (рис. 23) у этих крыс наблюдались прямо противоположные отношения: время пребывания на педали при действии звука и света уменьшилось, а при крике «жертвы» – возросло (см. график II на рис. 22). Пять крыс с двусторонним повреждением фронтальной коры, латерального и вентромедиального гипоталамуса (рис. 24) оказались в равной мере чувствительными и к комбинации звука с усилением освещенности, и к сигналам оборонительного возбуждения партнера (см. график III на рис. 22). Эти животные отличались пугливостью, повышенной агрессивностью, бурными реакциями на прикосновение наряду с признаками ослабления аверсивности открытого пространства. Крысы медленно и редко заходили в «домик», а при включении света и звука или при крике партнера выходили из «домика» спустя 10–20 с. Если что-либо отвлекало крысу (например, она начинала чистку шерсти), свет, звук и крик «жертвы» теряли свою эффективность. Таким образом, одновременное повреждение структур «информационной» системы (фронтальный неокортекс и гиппокамп) делает крыс высокочувствительными к ранее малоэффективным искусственным стимулам (свет и звук) и в то же время снижает их реактивность по отношению к зоосоциальным сигналам о состоянии другой особи того же вида. Что касается повреждения фронтальной коры, латерального и вентромедиального гипоталамуса, то усиленная «невротическая» реакция на любой внешний стимул сочетается у этих животных с неспособностью избирательно реагировать на сигналы различного биологического значения. ![]() Рис. 22. Среднее время пребывания на педали при действии света и звука (А, В) или крика партнера (В) у интактных крыс (I) после повреждения фронтальной коры и гиппокампа (II), после повреждения фронтальной коры и гипоталамуса (III) Абсцисса – дни опытов, ордината – время в минутах ![]() Рис. 23. Реконструктивная схема повреждения передних отделов новой коры и гиппокампа у крыс. Обозначения те же, что на рис. 19 (по М. Л. Пигаревой и В. Н. Мац) ![]() Рис. 24. Реконструктивная схема повреждения передних отделов новой коры, ![]() Рис. 25. Гипотетическая схема зависимости параметров экстра-интроверсии и эмоциональной стабильности (невротицизма) от индивидуальных особенностей взаимодействия мозговых структур Оценивая всю совокупность имеющихся в настоящее время фактов, мы склонны высказать предположение о том, что индивидуальные особенности соотношения «информационной» системы (фронтальная кора и гиппокамп) с «мотивационной» системой (миндалина и гипоталамус) лежат в основе параметра экстра-интроверсии (рис. 25). Соотношение систем фронтальная кора – гипоталамус и миндалина – гиппокамп определяет другой параметр индивидуальных особенностей поведения, близкий по своим характеристикам параметру невротицизма – эмоциональной стабильности. С этой точки зрения павловская шкала силы или слабости нервной системы больше соответствует шкале невротицизма, а не экстра-интроверсии, как полагает Айзенк (Eysenck, Levey, 1972). В настоящее время мы не располагаем данными о том, в какой мере все исследованные нами параметры коррелируют с устойчивостью крыс к невротизирующим воздействиям. В лаборатории М. Г. Айрапетянца был использован только один из них: чувствительность к крику боли другой особи того же вида (Хоничева, Вильяр, 1981). На рис. 26 представлены три группы крыс, различающихся по этому признаку. Стрессирующее воздействие заключалось в выработке оборонительного условного рефлекса с низкой вероятностью избегания болевых раздражений. Это воздействие оказало существенно различное влияние на инструментальные пищевые условные рефлексы, по тяжести нарушения которых судили о степени невротизации. Наиболее стрессоустойчивыми оказались крысы с высокой чувствительностью к крику боли партнера и низким уровнем тревожности (малое число перебежек из одного отсека камеры в другой). Наименее устойчивы крысы, у которых средняя чувствительность к зоосоциальным сигналам сочеталась с высокой тревожностью, с неспособностью к выделению доминирующей мотивации, будь то аверсивность открытого пространства или мотивация, побуждающая избегать болевое раздражение другой особи. |
![Иллюстрация к книге — Мотивированный мозг. Высшая нервная деятельность и естественно-научные основы общей психологии [i_022.jpg] Иллюстрация к книге — Мотивированный мозг. Высшая нервная деятельность и естественно-научные основы общей психологии [i_022.jpg]](img/book_covers/108/108995/i_022.jpg)
![Иллюстрация к книге — Мотивированный мозг. Высшая нервная деятельность и естественно-научные основы общей психологии [i_023.jpg] Иллюстрация к книге — Мотивированный мозг. Высшая нервная деятельность и естественно-научные основы общей психологии [i_023.jpg]](img/book_covers/108/108995/i_023.jpg)
![Иллюстрация к книге — Мотивированный мозг. Высшая нервная деятельность и естественно-научные основы общей психологии [i_024.jpg] Иллюстрация к книге — Мотивированный мозг. Высшая нервная деятельность и естественно-научные основы общей психологии [i_024.jpg]](img/book_covers/108/108995/i_024.jpg)
![Иллюстрация к книге — Мотивированный мозг. Высшая нервная деятельность и естественно-научные основы общей психологии [i_025.jpg] Иллюстрация к книге — Мотивированный мозг. Высшая нервная деятельность и естественно-научные основы общей психологии [i_025.jpg]](img/book_covers/108/108995/i_025.jpg)
![Иллюстрация к книге — Мотивированный мозг. Высшая нервная деятельность и естественно-научные основы общей психологии [i_026.jpg] Иллюстрация к книге — Мотивированный мозг. Высшая нервная деятельность и естественно-научные основы общей психологии [i_026.jpg]](img/book_covers/108/108995/i_026.jpg)
![Иллюстрация к книге — Мотивированный мозг. Высшая нервная деятельность и естественно-научные основы общей психологии [i_027.jpg] Иллюстрация к книге — Мотивированный мозг. Высшая нервная деятельность и естественно-научные основы общей психологии [i_027.jpg]](img/book_covers/108/108995/i_027.jpg)