Книга Мотивированный мозг. Высшая нервная деятельность и естественно-научные основы общей психологии, страница 19 – Павел Симонов

Авторы: А Б В Г Д Е Ж З И Й К Л М Н О П Р С Т У Ф Х Ч Ш Ы Э Ю Я
Книги: А Б В Г Д Е Ж З И Й К Л М Н О П Р С Т У Ф Х Ц Ч Ш Щ Ы Э Ю Я
Бесплатная онлайн библиотека LoveRead.in

Онлайн книга «Мотивированный мозг. Высшая нервная деятельность и естественно-научные основы общей психологии»

📃 Cтраница 19

Установлено, что частота пульса у банковских служащих зависит от степени ответственности (счет банкнотов различного достоинства) и количества информации, содержащейся в одной операции. К. Перкис (Perkis, 1984) изменял в процессе опыта размер денежного штрафа за допущенные ошибки и их вероятность, не зависящую от усилий субъекта. Рост частоты сердцебиений закономерно коррелировал с изменением обоих факторов и был сильнее выражен у субъектов типа А.

Иллюстрация к книге — Мотивированный мозг. Высшая нервная деятельность и естественно-научные основы общей психологии [i_001.jpg]

Рис. 1. Динамика сердечного компонента условного рефлекса у собаки при постоянном подкреплении малой (1) и большой (2) порцией пищи и при случайном подкреплении с вероятностью 50: 50 (3)

А – при обычном пищевом режиме; Б – после пищевой депривации (по А. Я. Мехедовой)


Имеются сведения и о том, что две составляющие эмоционального напряжения по-разному сказываются на величине различных вегетативных сдвигов. В опытах с участием человека величина побуждения (размер платы за правильное решение) преимущественно влияла на частоту пульса, дыхания и уровень электрического сопротивления кожи, а трудность задачи (количество выборов) – на объемный пульс и кожно-гальванический рефлекс. Преимущественная связь кожно-гальванического рефлекса с информационным фактором обнаружена и в опытах, где кожно-гальванический рефлекс был слабее при ожидании болевого раздражения током с высокой вероятностью, чем при более редких, но труднопрогнозируемых ударах. Регистрация кожно-гальванической реакции и вызванных потенциалов в ответ на ориентировочный стимул показала, что мотивационные компоненты ориентировочного рефлекса в большей мере детерминированы генотипом исследуемого лица, чем информационные компоненты (Кочубей, 1985).

Впрочем, значение вероятности (возможности) удовлетворения актуальной потребности принимается во внимание далеко не всеми исследователями эмоций. «С точки зрения физиологической, – писал П. К. Анохин, – перед нами стоит задача раскрыть механизм тех конкретных процессов, которые в конечном итоге приводят к возникновению и отрицательного (потребность) и положительного (удовлетворение) эмоционального состояния» (Анохин, 1964, с. 355). Рассматривая генез эмоций, П. К. Анохин учитывал прогнозирование только содержания, семантики цели, предполагая, что в данный момент цель может быть одна, т. е. человек намеревается взять или стакан, или вилку, или тарелку (мы используем пример, который обычно приводил сам П. К. Анохин). П. К. Анохин отрицал прогнозирование вероятности достижения цели, хотя без такого прогноза трудно понять факт возникновения эмоций до начала каких-либо действий. Он писал: «…выражение “вероятностное (?) прогнозирование” просто не соответствует физиологическому смыслу событий и неправильно ориентирует читателей, интересующихся нашими работами. Вероятность прогноза, т. е. параметров акцептора действия, всегда максимальная и равна единице, поскольку она отражает потребность организма на данный момент. Наоборот, результат всегда менее вероятен по отношению к акцептору действия, и, следовательно, выражение “вероятностное прогнозирование” едва ли оказывается полезным при изучении живых систем» (Анохин, 1978, с. 272). Чтобы не возвращаться к «биологической теории эмоций» П. К. Анохина, подчеркнем наше согласие с автором теории в том, что касается прогнозирования содержания цели, связи эмоций с потребностями и генеза некоторых отрицательных эмоций. Вместе с тем мы считаем совершенно необходимым введение в модель возникновения эмоций механизма, прогнозирующего вероятность достижения цели, существенно расходимся с П. К. Анохиным в объяснении механизма положительных эмоций и, разумеется, не можем ограничиться применением модели только к биологическим потребностям, о чем свидетельствует само название теории П. К. Анохина.

Каким образом человек прогнозирует вероятность достижения цели (удовлетворения потребности)? Эксперимент и теоретический анализ показывают, что эта оценка осуществляется путем сопоставления информации о средствах, способах, времени и т. д., прогностически необходимых и реально имеющихся у субъекта. Вероятность удовлетворения оказывается интегральным показателем, результатом подобного сопоставления. Скажем, при встрече с тремя разъяренными хищниками вероятность благополучного исхода будет существенно различной в зависимости от того, имеет ли охотник автоматическую винтовку с полной обоймой или один-единственный патрон. Во многих экспериментах разницу между необходимым и имеющимся можно эмпирически измерять по суммарной величине допускаемых субъектом ошибок, что свидетельствует о степени его «информированности», куда входят не только теоретические знания того, что, как и когда надо делать, но и степень совершенства соответствующих практических навыков.

Соотношение необходимого и имеющегося можно рассматривать и в статике, как «мгновенный срез» степени информированности, и в динамике. В первом случае результат сравнения обернется дефицитом или избытком информации, во втором – возрастанием или падением вероятности достижения цели.

Универсальность механизма сравнения такова, что обнаруживается даже в генезе тех элементарных эмоций, которые принято именовать эмоциональным тоном ощущений. Так, эмоциональная окраска ощущений от пищи, находящейся во рту (вкусно, безразлично, неприятно), формируется только после того, как голодовое возбуждение (потребность) оказывается сопоставлено с афферентацией (информацией), идущей из полости рта и свидетельствующей о возрастании вероятности удовлетворения потребности в пище.

Вероятность удовлетворения может быть и субъективной и объективной. Разумеется, в формировании эмоций участвует только субъективная оценка вероятности достижения цели. Животное и человек могут существовать лишь потому, что субъективные оценки вероятности, как правило, адекватно отражают объективную вероятность тех или иных событий. В отдельных случаях субъективный прогноз оказывается ложным, и тогда эмоциональная оценка событий не соответствует их реальному значению («пьяному море по колено», «пуганая ворона и куста боится» и т. п.).

Неопределенность не может сочетаться с высокой вероятностью достижения цели, хотя максимальная неопределенность предстоящих событий (50 %) оставляет больше надежды на благополучный финал, чем заведомо низкая вероятность, равная 20 или 10 %.

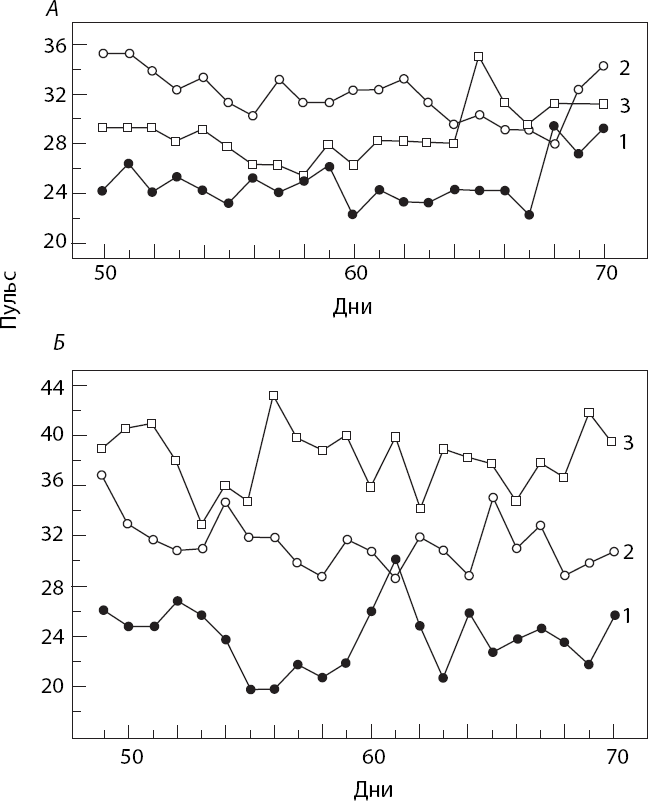
Применительно к эмоциям мы встречаемся здесь с дополнительным фактором, который не представлен в формуле, подобно тому как в формуле не представлена динамика развертывания эмоциональных реакций во времени и многое другое. Речь идет об индивидуальных (типологических, характерологических) особенностях эмоциональности данного субъекта. Эксперименты нашей сотрудницы Л. А. Преображенской показали, что эмоциональное напряжение, о котором судили по частоте сердцебиений, у одних собак достигает наивысших значений при максимальной неопределенности подкрепления (рис. 2, А), а у других – при низкой его вероятности (рис. 2, Б). Встречаются и «вероятностно-безразличные» собаки (рис. 2, В). Сходные наблюдения мы нашли в исследованиях В. М. Русалова (1979), который обнаружил среди своих испытуемых три группы лиц, по-разному реагировавших на вероятностно организованную среду.

Вход
Поиск по сайту
Ищем:
Календарь